Скачать ГОСТ 28143-89 Винилискожа-НТ обувная. Общие технические условия

Дата актуализации: 01.01.2021

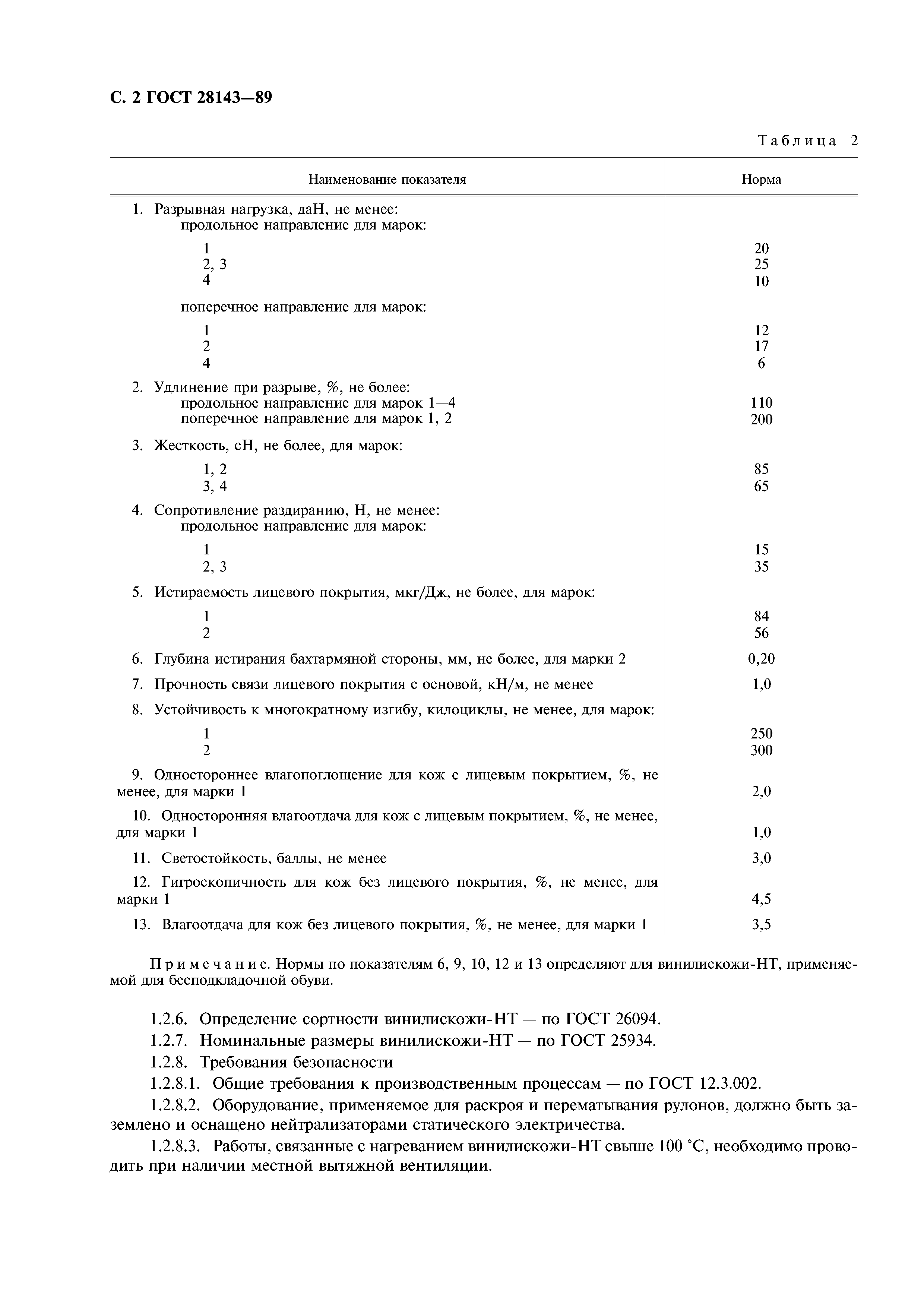
ГОСТ 28143-89

Винилискожа-НТ обувная. Общие технические условия

Обозначение: ГОСТ 28143-89
Обозначение англ: GOST 28143-89
Статус:взамен
Название рус.:Винилискожа-НТ обувная. Общие технические условия
Название англ.:Vinyl artificial leather for footwear. Type NT. General specifications
Дата добавления в базу:01.09.2013
Дата актуализации:01.01.2021
Дата введения:01.07.1990
Область применения:Стандарт распространяется на обувную винилискожу-НТ, предназначенную для наружных деталей верха летней обуви с подкладкой или без нее. Стандарт не распространяется на вилинискожу-НТ для дошкольной, гусариковой и бесподкладочной школьной обуви.
Оглавление:1 Технические требования
2 Приемка
3 Методы контроля
4 Транспортирование и хранение
5 Гарантии изготовителя
Разработан: Министерство легкой промышленности СССР
Утверждён:29.05.1989 Государственный комитет СССР по стандартам (USSR National Committee on Standards 1348)
Издан: Издательство стандартов (1989 г. )
Стандартинформ (2007 г. )
Заменяет собой:
  • ОСТ 17-27-88 (ИУС 8-89)
Нормативные ссылки:
ГОСТ 28143-89ГОСТ 28143-89ГОСТ 28143-89ГОСТ 28143-89ГОСТ 28143-89ГОСТ 28143-89ГОСТ 28143-89