| Обозначение: | ГОСТ 28281-89 |
| Обозначение англ: | GOST 28281-89 |
| Статус: | введен впервые |
| Название рус.: | Фрезы дисковые для нарезания зубьев звездочек к приводным роликовым и втулочным цепям. Технические условия |
| Название англ.: | Disk cutter for sprockets of transmission roller and bush chains. Specifications |
| Дата добавления в базу: | 01.09.2013 |
| Дата актуализации: | 01.01.2021 |
| Дата введения: | 01.07.1990 |
| Область применения: | Стандарт распространяется на дисковые фрезы для нарезания зубьев звездочек по ГОСТ 591 к однорядным и многорядным приводным роликовым и втулочным цепям по ГОСТ 13568 и ГОСТ 21834.. |
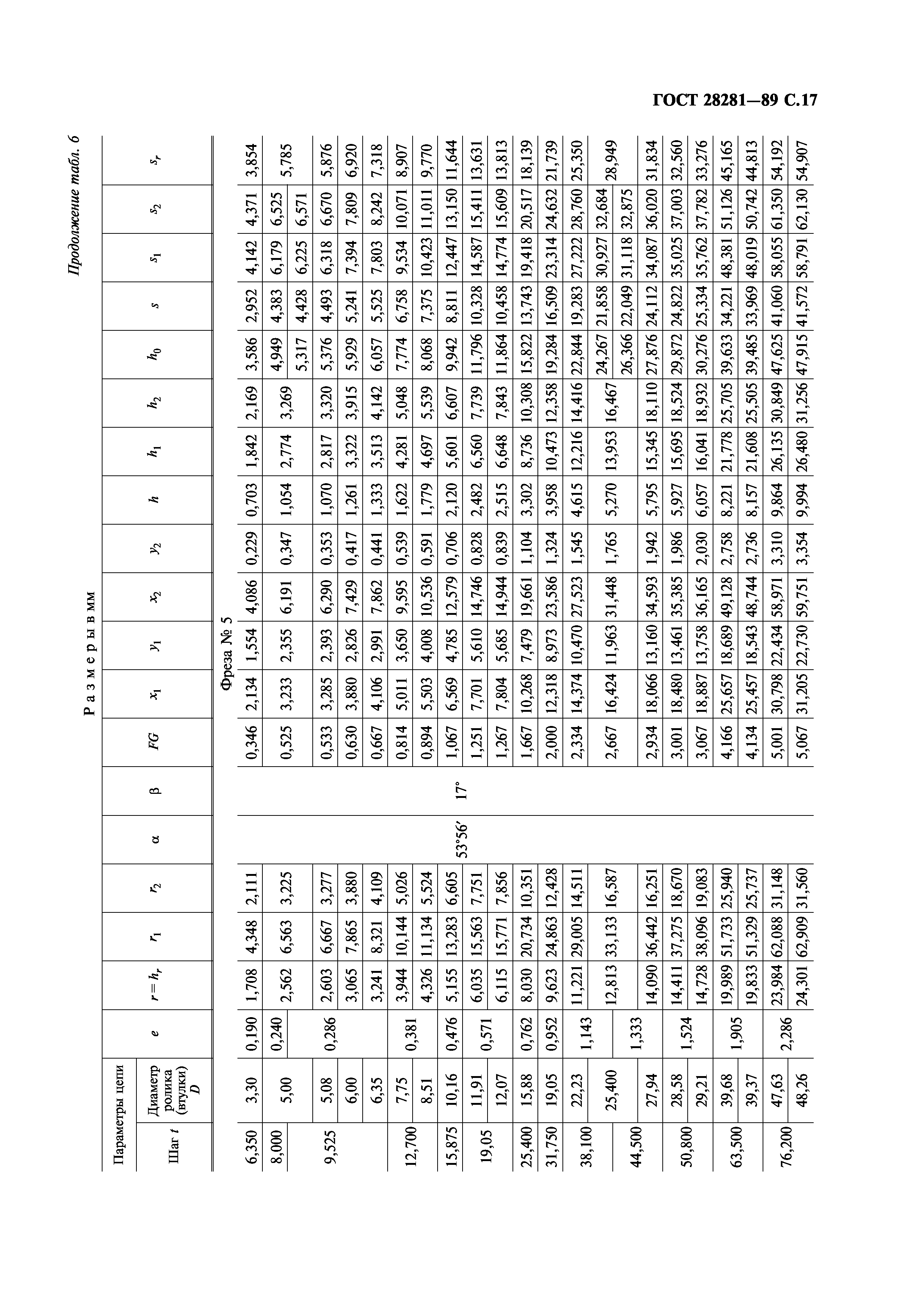
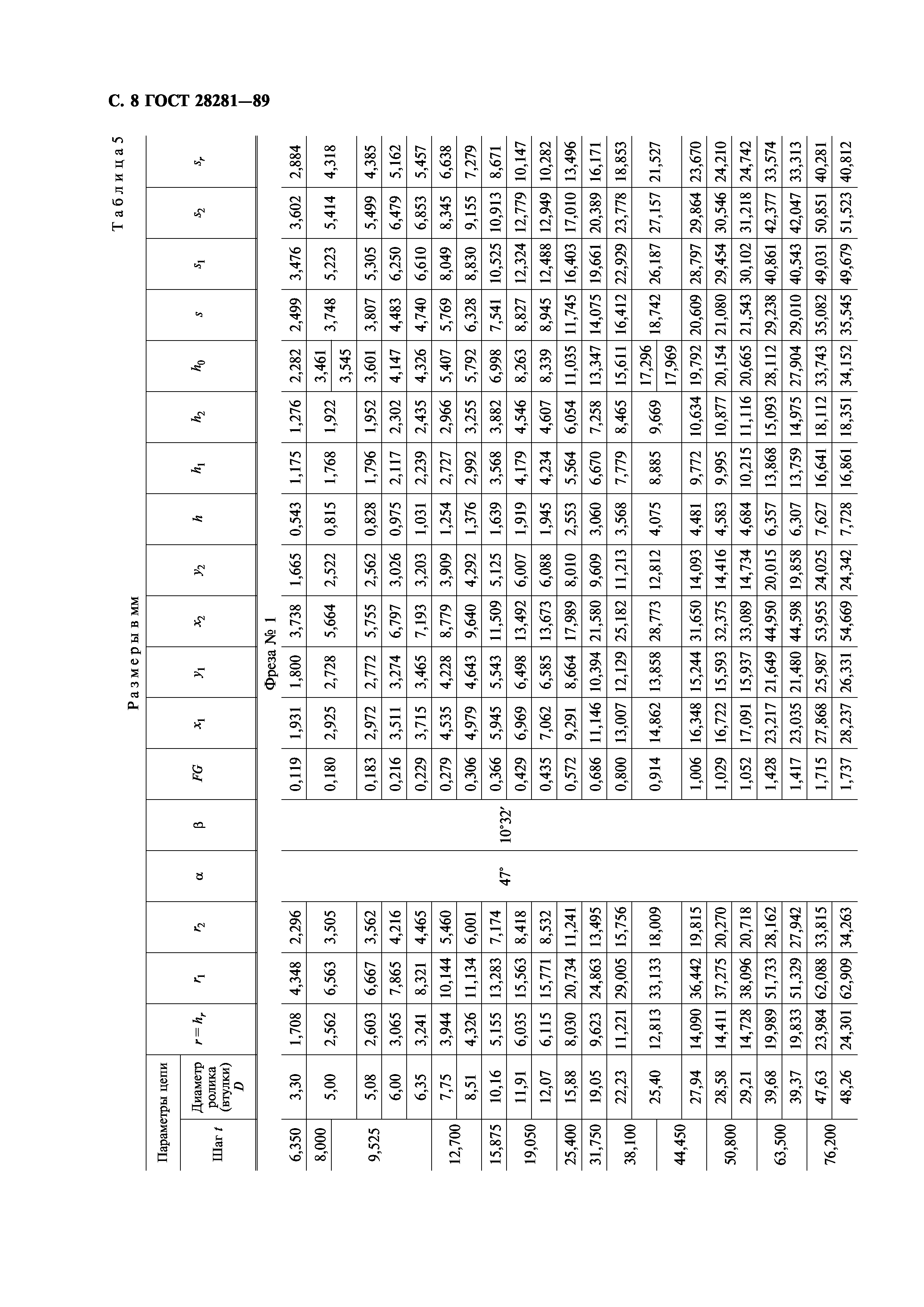
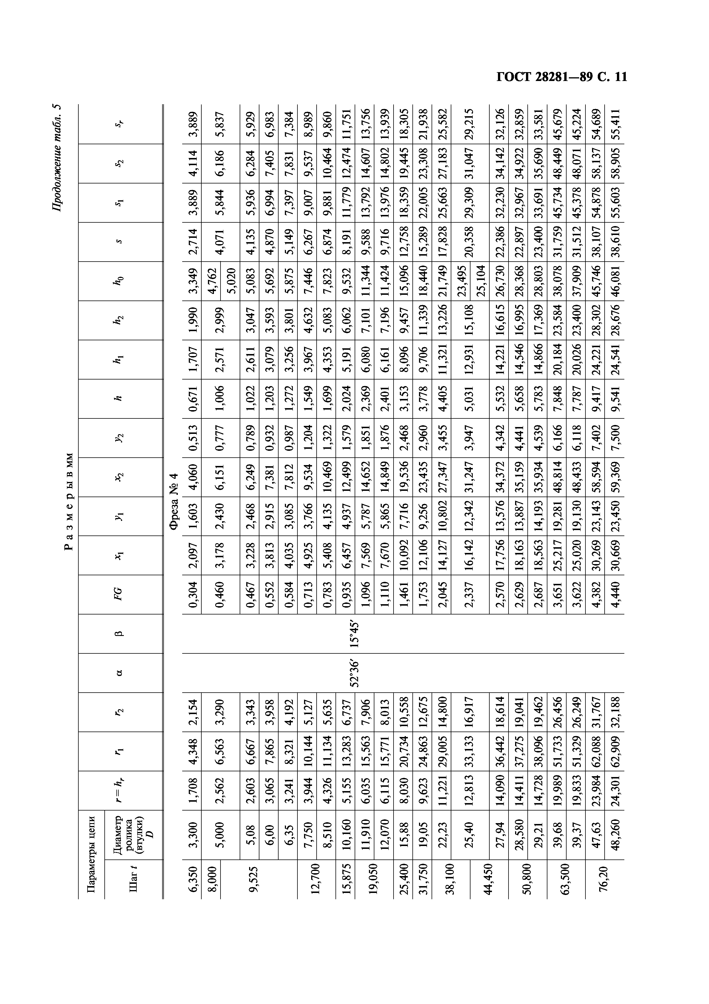
| Оглавление: | 1 Основные размеры 2 Технические требования 3 Приемка 4 Методы контроля и испытаний 5 Транспортирование и хранение Приложение Размеры профиля зуба и рекомендуемое назначение фрез |
| Разработан: | Министерство станкостроительной и инструментальной промышленности
|
| Утверждён: | 09.10.1989 Государственный комитет СССР по управлению качеством продукции и стандартам (USSR National Committee on Standards and Product Quality Management 3036)
|
| Издан: | Издательство стандартов (1990 г. ) Стандартинформ (2006 г. )
|
| Нормативные ссылки: |   ГОСТ 1050-88 «Прокат сортовой, калиброванный, со специальной отделкой поверхности из углеродистой качественной конструкционной стали. Общие технические условия»  ГОСТ 9378-93 «Образцы шероховатости поверхности (сравнения). Общие технические условия»  ГОСТ 5950-2000 «Прутки, полосы и мотки из инструментальной легированной стали. Общие технические условия»  ГОСТ 19300-86 «Средства измерений шероховатости поверхности профильным методом. Профилографы-профилометры контактные. Типы и основные параметры» ГОСТ 13568-97 «Цепи приводные роликовые и втулочные. Общие технические условия» ГОСТ 17336-80 «Приборы для измерения червячных фрез. Типы и основные параметры. Общие технические требования» ГОСТ 18088-83 «Инструмент металлорежущий, алмазный, дереворежущий, слесарно-монтажный и вспомогательный. Упаковка, маркировка, транспортирование и хранение»  ГОСТ 19265-73 «Прутки и полосы из быстрорежущей стали. Технические условия»  ГОСТ 20799-88 «Масла индустриальные. Технические условия» ГОСТ 21834-87 «Цепи приводные роликовые повышенной прочности и точности. Технические условия»  ГОСТ 23677-79 «Твердомеры для металлов. Общие технические требования» ГОСТ 23726-79 «Инструмент металлорежущий и дереворежущий. Приемка» ГОСТ 25706-83 «Лупы. Типы, основные параметры. Общие технические требования»  ГОСТ 591-69 «Звездочки к приводным роликовым и втулочным цепям. Методы расчета и построения профиля зуба и инструмента. Допуски»  ГОСТ 8.051-81 «Государственная система обеспечения единства измерений. Погрешности, допускаемые при измерении линейных размеров до 500 мм»  ГОСТ 9013-59 «Металлы. Метод измерения твердости по Роквеллу» ГОСТ 9472-90 «Крепление инструментов на оправках. Типы и размеры» ГОСТ 9847-79 «Приборы оптические для измерения параметров шероховатости поверхности. Типы и основные параметры»
|