Скачать ГОСТ Р 50036-92 Протяжки с навертным хвостовиком для шлицевых отверстий с эвольвентным профилем диаметром от 90 до 120 мм, модулем 2,5 мм с центрированием по наружному диаметру комбинированные двухпроходные. КонструкцияДата актуализации: 01.01.2021 ГОСТ Р 50036-92
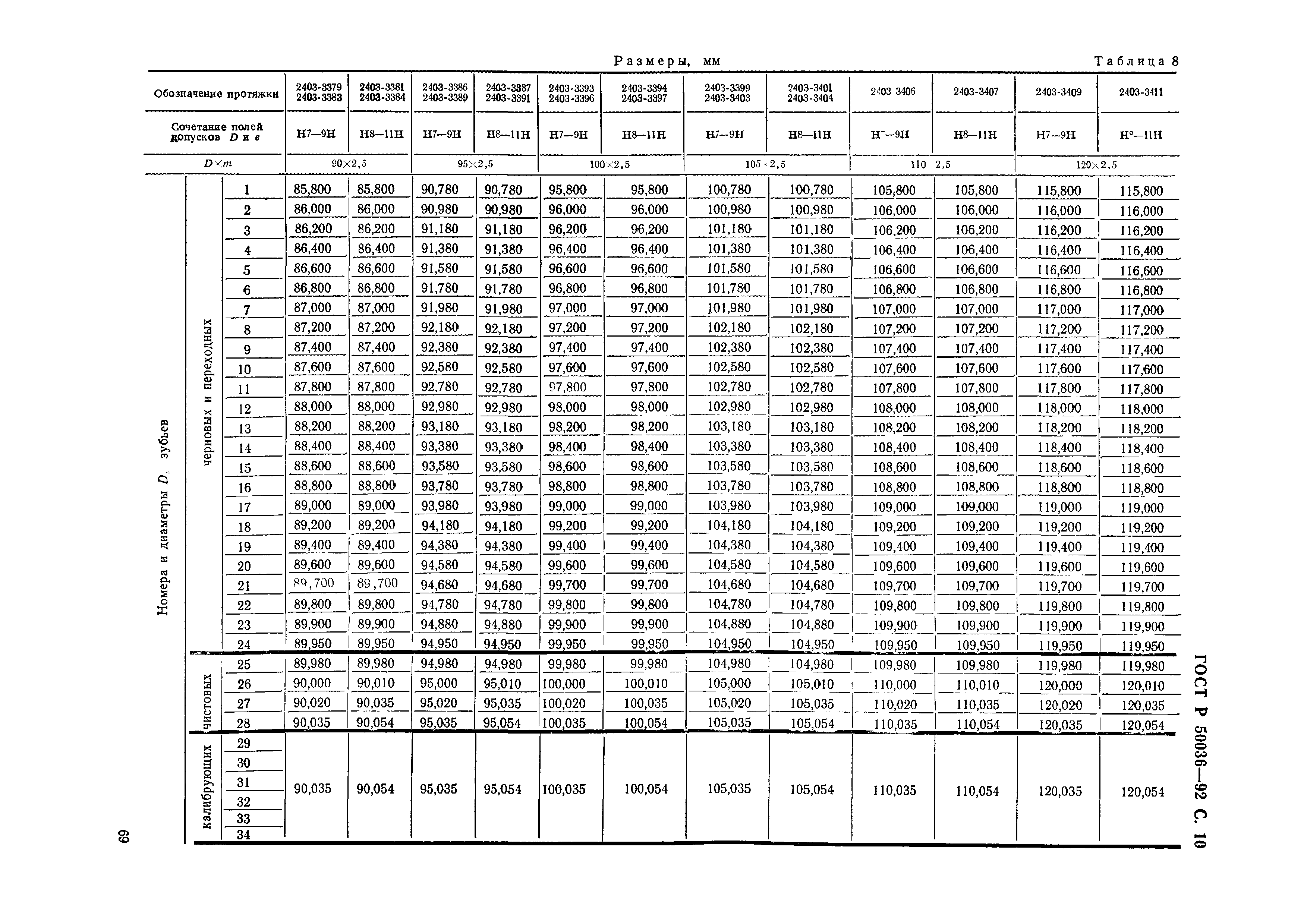
Протяжки с навертным хвостовиком для шлицевых отверстий с эвольвентным профилем диаметром от 90 до 120 мм, модулем 2,5 мм с центрированием по наружному диаметру комбинированные двухпроходные. Конструкция| Обозначение: | ГОСТ Р 50036-92 | | Обозначение англ: | GOST R 50036-92 | | Статус: | введен впервые | | Название рус.: | Протяжки с навертным хвостовиком для шлицевых отверстий с эвольвентным профилем диаметром от 90 до 120 мм, модулем 2,5 мм с центрированием по наружному диаметру комбинированные двухпроходные. Конструкция | | Название англ.: | Combined broaches with diameter from 90 to 120 mm for slitting holes with involute profile with wind round tail and centring at outside diameter with module from 2,5 mm. Construction | | Дата добавления в базу: | 01.09.2013 | | Дата актуализации: | 01.01.2021 | | Дата введения: | 01.01.1993 | | Область применения: | Стандарт распространяется на комбинированные двухпроходные протяжки универсального назначения с навертным хвостовиком диаметром D от 90 до 120 мм, модулем m 2,5 мм, предназначенные для обработки шлицевых втулок с эвольвентным профилем по ГОСТ 6033 с центрированием по наружному диаметру. | | Разработан: | ТК 95 Инструмент
| | Утверждён: | 22.07.1992 Госстандарт России (Russian Federation Gosstandart 749)
| | Издан: | Издательство стандартов (1992 г. )
| | Нормативные ссылки: | |
          
|