Скачать ГОСТ Р 50038-92 Протяжки с навертным хвостовиком для шлицевых отверстий с эвольвентным профилем диаметром от 55 до 130 мм, модулем от 3 до 5 мм с центрированием по наружному диаметру комбинированные двухпроходные. КонструкцияДата актуализации: 01.01.2021 ГОСТ Р 50038-92
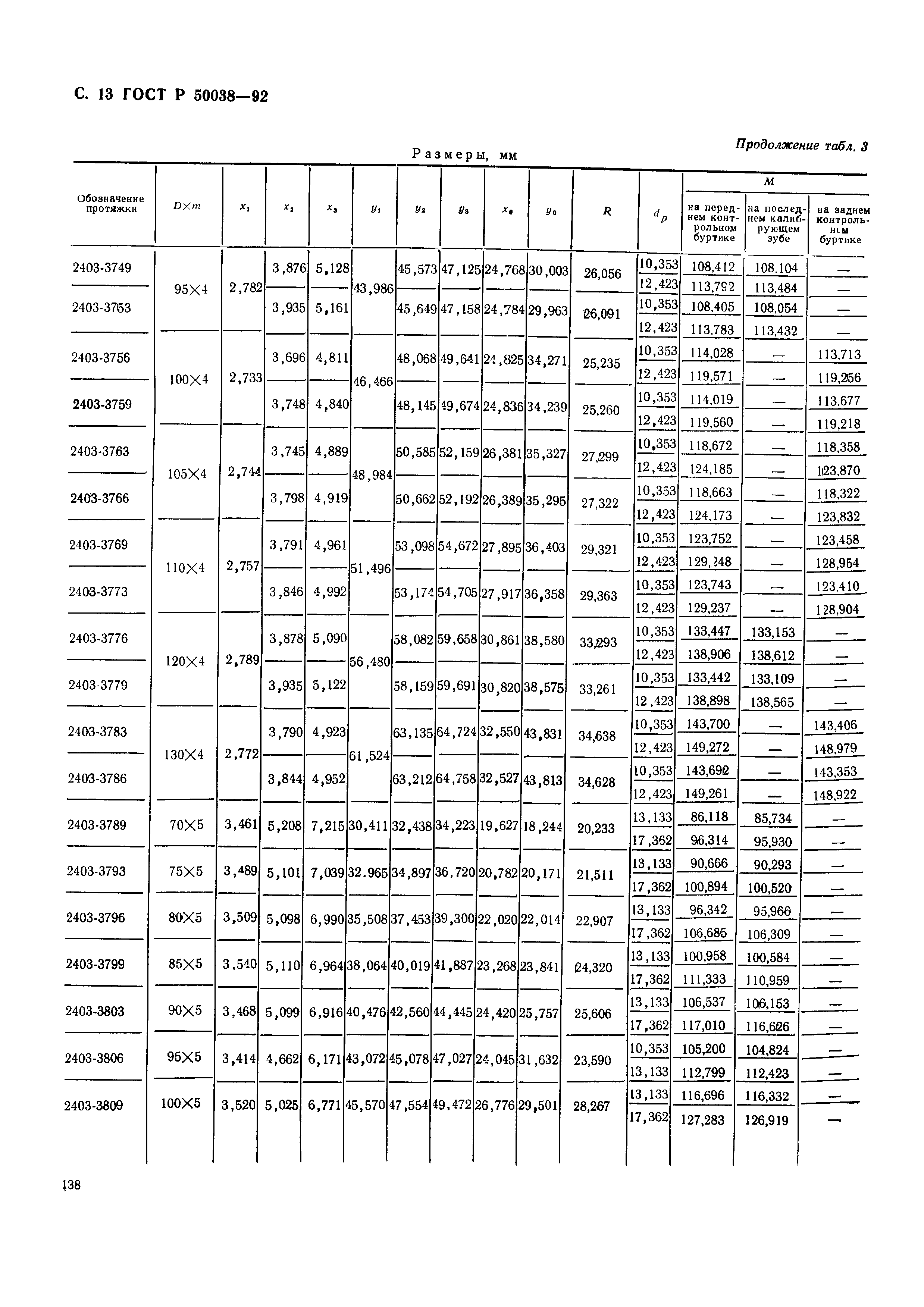
Протяжки с навертным хвостовиком для шлицевых отверстий с эвольвентным профилем диаметром от 55 до 130 мм, модулем от 3 до 5 мм с центрированием по наружному диаметру комбинированные двухпроходные. Конструкция| Обозначение: | ГОСТ Р 50038-92 | | Обозначение англ: | GOST R 50038-92 | | Статус: | введен впервые | | Название рус.: | Протяжки с навертным хвостовиком для шлицевых отверстий с эвольвентным профилем диаметром от 55 до 130 мм, модулем от 3 до 5 мм с центрированием по наружному диаметру комбинированные двухпроходные. Конструкция | | Название англ.: | Combined broaches with diameter from 55 to 130 mm for slitting holes with involute profile with wind round tail and centring at outside dimeter with modul from 3 to 5. Construction | | Дата добавления в базу: | 01.09.2013 | | Дата актуализации: | 01.01.2021 | | Дата введения: | 01.01.1993 | | Область применения: | Стандарт распространяется на комбинированные двухпроходные протяжки универсального назначения с навертным хвостовиком диаметром D от 55 до 130 мм, модулем m от 3 до 5 мм, предназначенные для обработки шлицевых втулок с эвольвентным профилем по ГОСТ 6033 с центрированием по наружному диаметру. | | Разработан: | ТК 95 Инструмент
| | Утверждён: | 22.07.1992 Госстандарт России (Russian Federation Gosstandart 750)
| | Нормативные ссылки: | |
                                                                                 
|