Скачать ГОСТ Р 50793-95 Болты с шестигранной головкой с резьбой до головки классов точности А и В. Технические условияДата актуализации: 01.01.2021
|
| Обозначение: | ГОСТ Р 50793-95 |
| Обозначение англ: | GOST R 50793-95 |
| Статус: | заменен |
| Название рус.: | Болты с шестигранной головкой с резьбой до головки классов точности А и В. Технические условия |
| Название англ.: | Hexagon head bolts with thread to head product grades A and B. Specifications |
| Дата добавления в базу: | 01.09.2013 |
| Дата актуализации: | 01.01.2021 |
| Дата введения: | 01.07.1996 |
| Дата окончания срока действия: | 01.07.2014 |
| Область применения: | Стандарт распространяется на болты с шестигранной головкой с резьбой до головки с диаметрами резьбы от М1,6 до М64 с крупным шагом резьбы класса точности А (для резьбы до М24 и номинальных длин до 10 d, но не более 150 мм) и класса точности В (для резьбы более М24 или для номинальных длин более 10 d или более 150 мм). Стандарт соотвествует ИСО 4017 в части болтов из углеродистых сталей. |
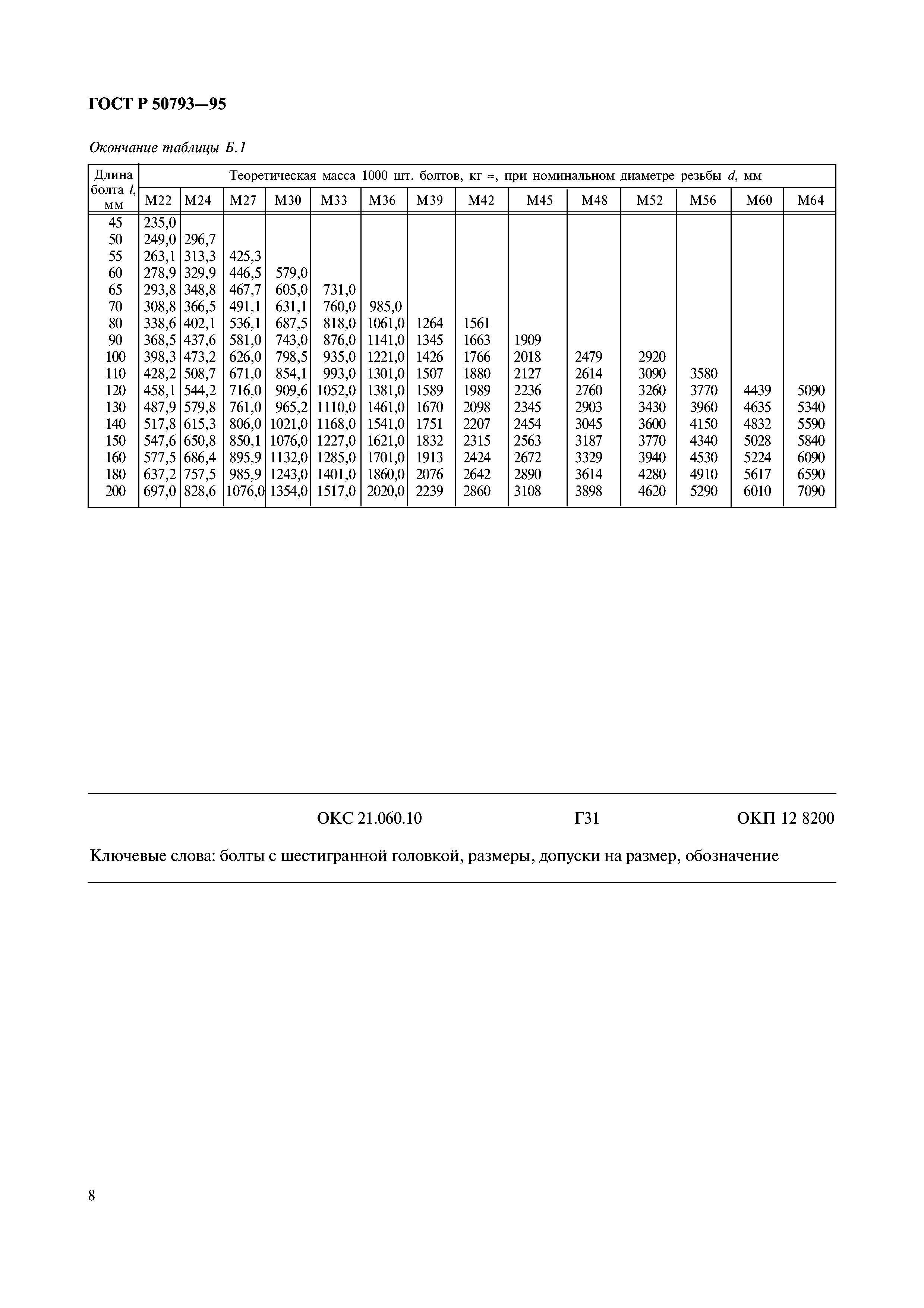
| Оглавление: | 1 Область применения 2 Нормативные ссылки 3 Размеры 4 Технические требования 5 Обозначение Приложение А (рекомендуемое) Дополнительные требования, отражающие потребности народного хозяйства Приложение Б (справочное) |
| Разработан: | ТК 229 Крепежные изделия |
| Утверждён: | 29.06.1995 Госстандарт России (Russian Federation Gosstandart 333) |
| Издан: | ИПК Издательство стандартов (1995 г. ) Стандартинформ (2006 г. ) |
| Нормативные ссылки: |
|









