Скачать Правила приемки в эксплуатацию законченных строительством автомобильных дорогДата актуализации: 01.01.2021 |
| Статус: | заменен |
| Название рус.: | Правила приемки в эксплуатацию законченных строительством автомобильных дорог |
| Дата добавления в базу: | 01.09.2013 |
| Дата актуализации: | 01.01.2021 |
| Дата введения: | 01.01.1982 |
| Дата окончания срока действия: | 25.07.1994 |
| Область применения: | Устанавливают порядок приемки в эксплуатацию законченных строительством (реконструкцией) в соответствии с утвержденным проектом (рабочим проектом) автомоибльных дорог общего пользования, ведомственных автомобильных дорог, их очередей и пусковых комплексов. |
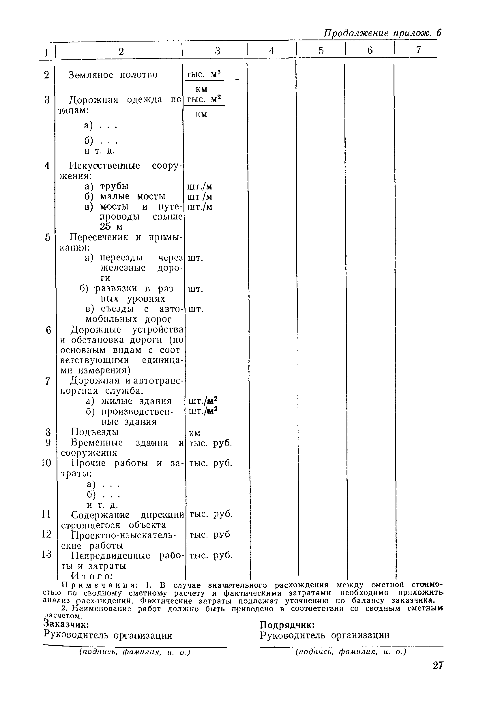
| Оглавление: | 1 Общие положения 2 Рабочие комиссии и порядок их работы 3 Государственные приемочные комиссии и порядок их работы Приложение 1 Акт о приемке в эксплуатацию рабочей комиссией законченного строительством отдельно стоящего здания, сооружения, входящего в состав автомобильной дороги (очереди, пускового комплекса) Приложение 2 Акт рабочей комиссии о готовности законченного строительством здания, сооружения для предъявления государственной приемочной комиссии Приложение 3 Сводный акт государственной приемочной комиссии о приемке законченной стриотельством (реконструкцией) автомобильной дороги (очереди) в эксплуатацию Приложение 4 Акт о приемке в эксплуатацию рабочей комиссией законченной строительством ведомственной дороги, входящей в состав строящегося объекта Приложение 5 Акт рабочей комиссии о готовности законченной строительством (реконструкцией) автомобильной дороги (очереди, пускового комплекса) для предъявления государственной приемочной комиссии Приложение 6 Ведомость выполненных работ по строительству Приложение 7 Ведомость недоделок, подлежащих устранению по указанию рабочей комиссии Приложение 8 Ведомость дефектов, подлежащих исправлению и выявленных рабочей комиссией при проверке готовности к приемке Приложение 9 Ведомость контрольных измерений и испытаний, произведенных при осмотре готовности к приемке Приложение 10 Ситуационная схема объекта и фотодокументы Приложение 11 Опись документов, принятых на хранение Приложение 12 Акт государственной приемочной комиссии о приемке законченной строительством (реконструкцией) автомобильной дороги (очереди, пускового комплекса) в эксплуатацию Приложение 13 Ведомость выполненных работ по строительству |
| Разработан: | Минтрансстрой |
| Утверждён: | 31.12.1981 Минтрансстрой (Mintransstroy 356) |
| Принят: | 16.12.1981 Госстрой СССР (Государственный комитет Совета Министров СССР по делам строительства) (USSR Gosstroy ДП-6438-1) 24.12.1981 ВЦСПС (VTsSPS 12-21362) 14.12.1981 Министерство внутренних дел СССР (USSR Ministry of Internal Affairs 1/6996) |
| Издан: | Минтрансстрой СССР (1983 г. ) |
| Нормативные ссылки: |
|








































