Скачать ГОСТ Р 52363-2005 Спиртосодержащие отходы спиртового и ликероводочного производства. Газохроматографический метод определения содержания летучих органических примесей

Дата актуализации: 01.01.2021

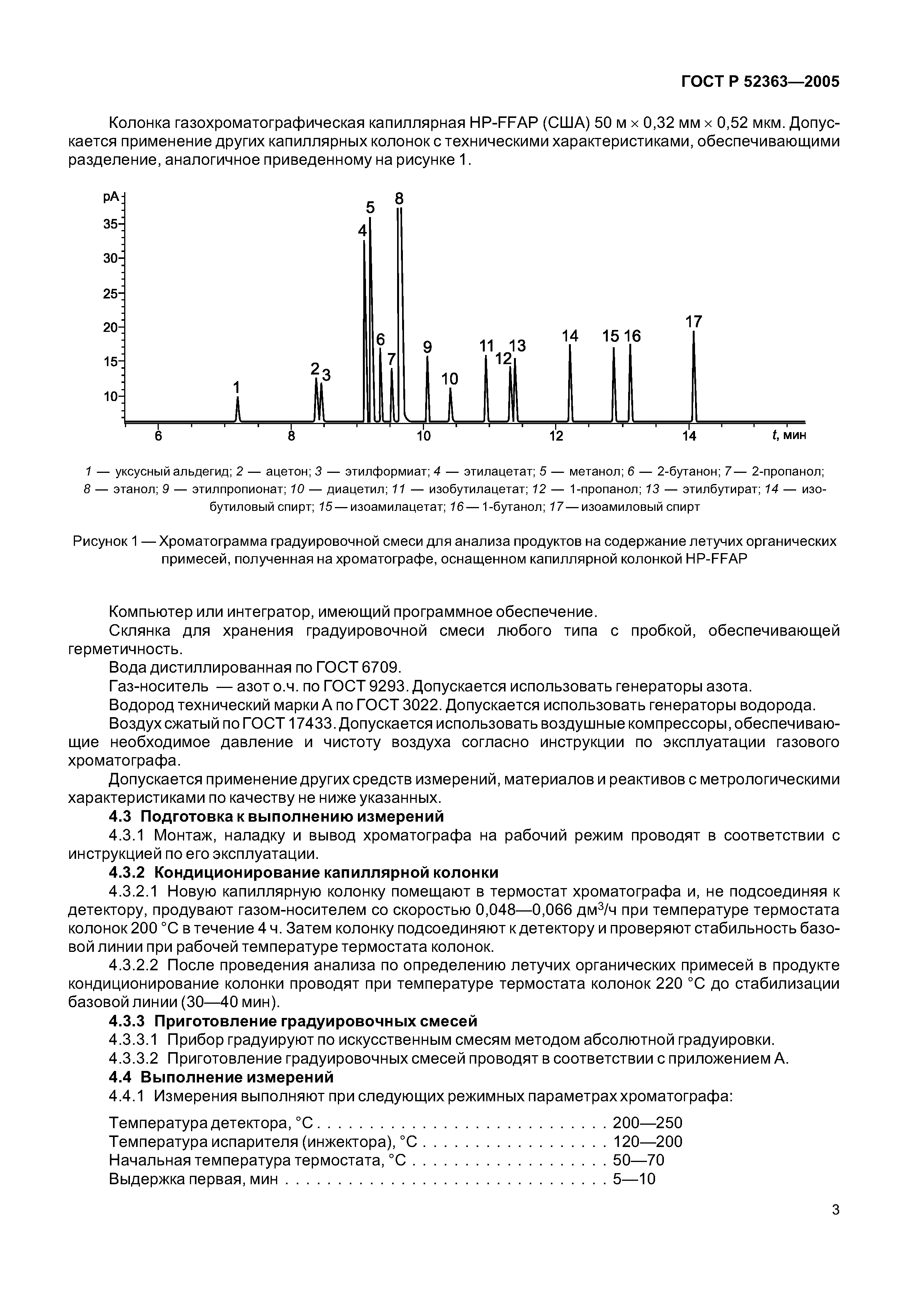
ГОСТ Р 52363-2005

Спиртосодержащие отходы спиртового и ликероводочного производства. Газохроматографический метод определения содержания летучих органических примесей

Обозначение: ГОСТ Р 52363-2005
Обозначение англ: GOST R 52363-2005
Статус:введен впервые
Название рус.:Спиртосодержащие отходы спиртового и ликероводочного производства. Газохроматографический метод определения содержания летучих органических примесей
Название англ.:Ethanol-containing waste of food alcohol and liqueur-vodka production. Gas-chromatographic method for determination of volatile organic admixtures content
Дата добавления в базу:01.09.2013
Дата актуализации:01.01.2021
Дата введения:01.07.2006
Область применения:Стандарт распространяется на головную фракцию, концентрат головных примесей, промежуточную фракцию этилового спирта из пищевого сырья, которые являются отходами спиртового производства, образующимися при выработке спирта этилового ректификованного из пищевого сырья, и спиртосодержащие отходы ликероводочного производства, и устанавливает газохроматографический метод определения содержания летучих органических примесей [уксусного альдегида, сложных эфиров (этилформиата, этилацетата, этилпропионата, изобутилацетат, этилбутирата, изоамилацетата), сивушного масла (2-пропанола, 1-пропанола, изобутилового спирта, 1-бутанола, изоамилового спирта), метилового спирта, кетонов (ацетона, 2-бутанона и диацетила] с использованием капиллярных колонок.
Оглавление:1 Область применения
2 Нормативные ссылки
3 Отбор и подготовка образцов
4 Метод измерений
5 Требования безопасности
6 Требования к условиям измерений
Приложение А Методика приготовления градуировочных смесей
Библиография
Разработан: ТК 176 Спиртовая, дрожжевая и ликероводочная продукция
ГНУ ВНИИПБТ РАСХН
Утверждён:19.07.2005 Федеральное агентство по техническому регулированию и метрологии (194-ст)
Издан: Стандартинформ (2005 г. )
Стандартинформ (2006 г. )
Стандартинформ (2009 г. )
Список изменений:
Нормативные ссылки:
ГОСТ Р 52363-2005ГОСТ Р 52363-2005ГОСТ Р 52363-2005ГОСТ Р 52363-2005ГОСТ Р 52363-2005ГОСТ Р 52363-2005ГОСТ Р 52363-2005ГОСТ Р 52363-2005ГОСТ Р 52363-2005ГОСТ Р 52363-2005ГОСТ Р 52363-2005ГОСТ Р 52363-2005ГОСТ Р 52363-2005ГОСТ Р 52363-2005

Текстовое изменение № 1 от 01.07.2013

№ 1№ 1№ 1№ 1№ 1№ 1№ 1№ 1№ 1№ 1