Скачать РД 45.223-2001 Система сигнализацииДата актуализации: 01.01.2021
|
| Обозначение: | РД 45.223-2001 |
| Обозначение англ: | RD 45.223-2001 |
| Статус: | действует |
| Название рус.: | Система сигнализации |
| Дата добавления в базу: | 01.09.2013 |
| Дата актуализации: | 01.01.2021 |
| Дата введения: | 20.11.2001 |
| Область применения: | Настоящий РД является дополнением, а также уточнением и дальнейшим развитием раздела сигнализации "Руководящего документа по общегосударственной системе автоматизированной телефонной связи (ОГСТФС)". Предназначен для использования научными, проектными, конструкторскими и эксплуатационными организациями и управлениями Минсвязи России при разработке оборудования, проектировании и развитии телефонной сети, а также операторами связи и ведомствами для обеспечения взаимосвязи различных сетей с телефонной сетью общего пользования. |
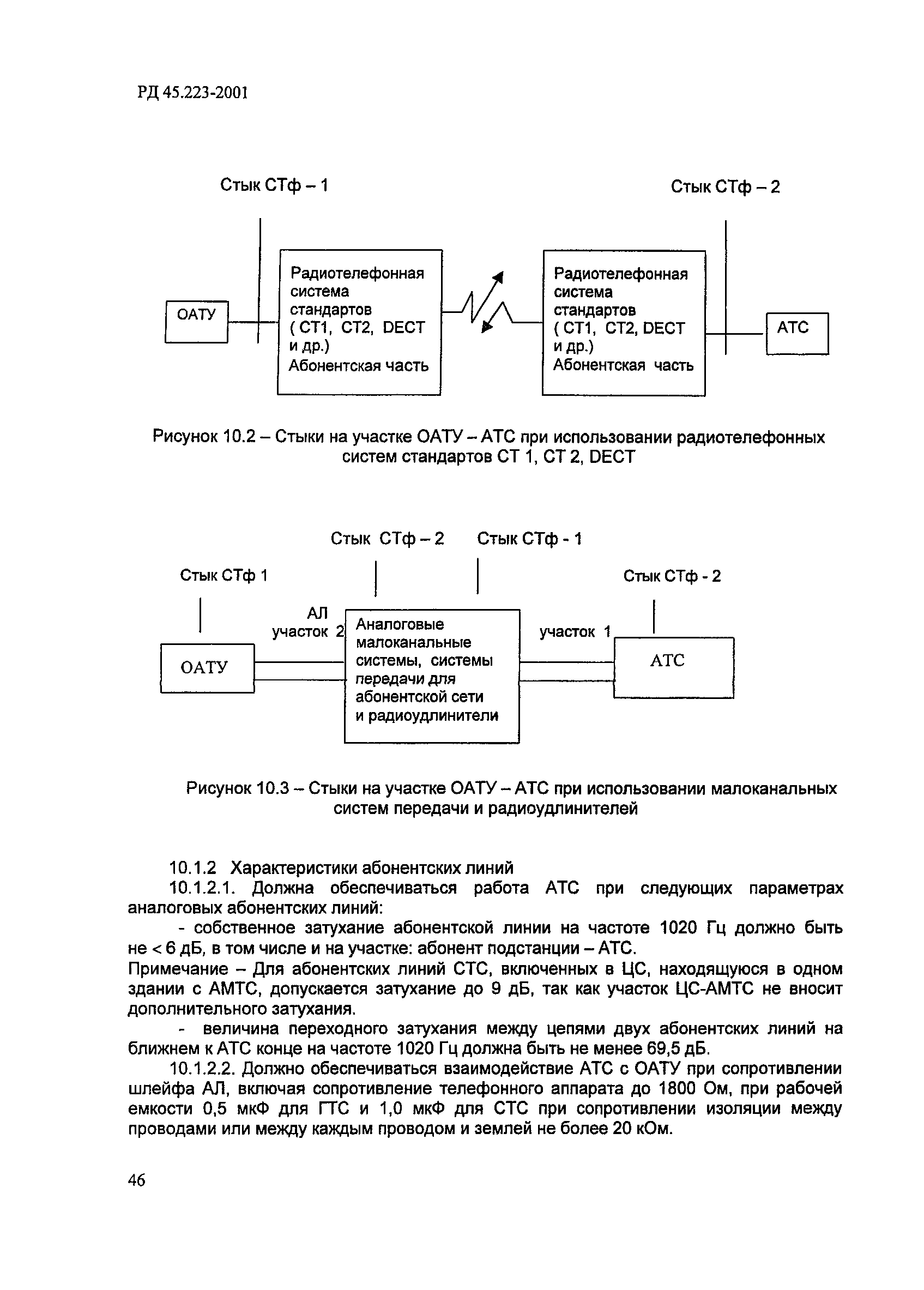
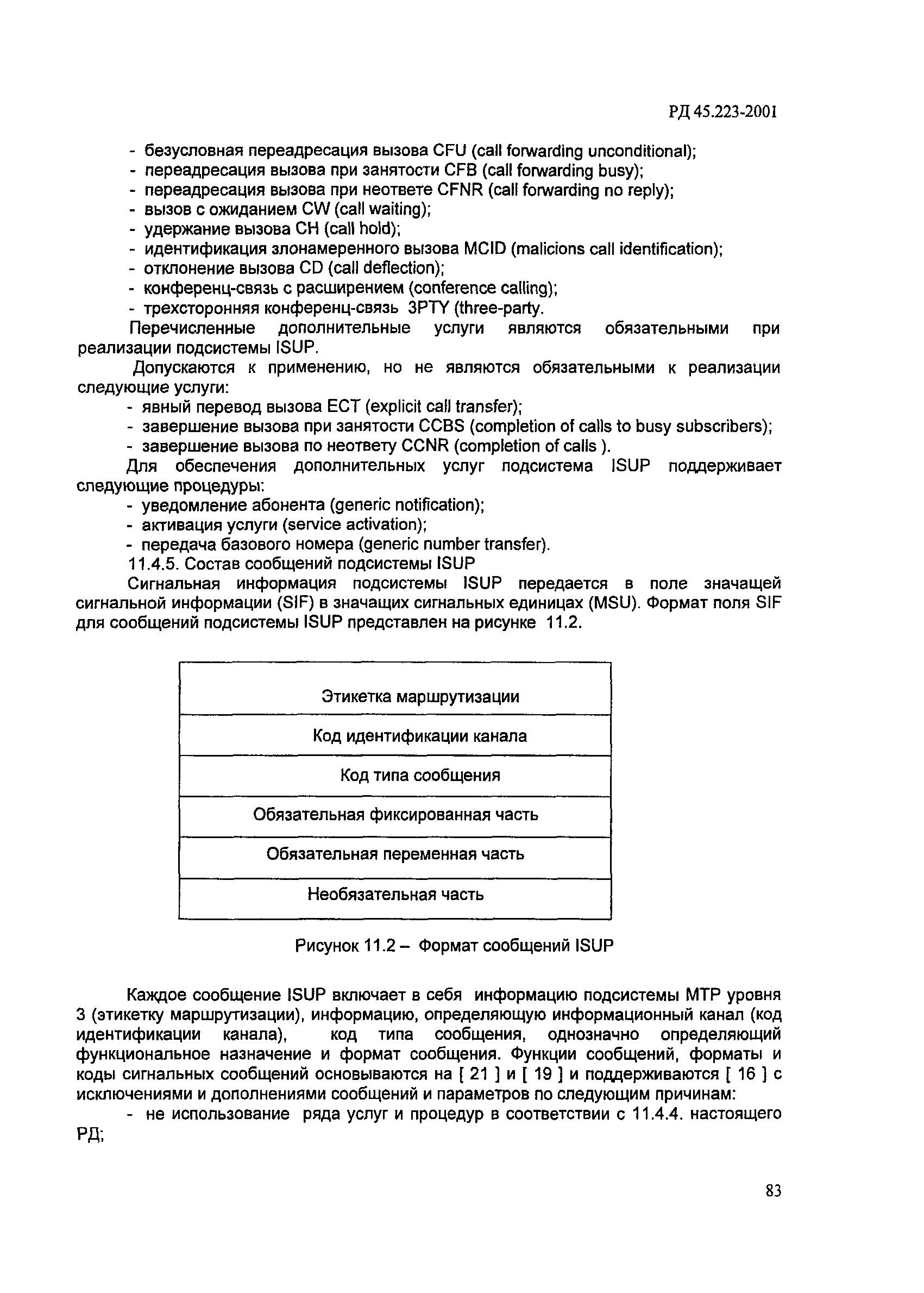
| Оглавление: | 1 Область применения 2 Нормативные ссылки 3 Обозначения и сокращения 4 Общие положения 5 Линейные сигналы 6 Сигналы управления 7 Информационные сигналы 8 Проключение и разделение разговорного тракта передачи и приема при передаче линейных сигналов в разговорном тракте 9 Контрольные выдержки времени при работе по каналам и соединительным линиям 10 Сигнализация на абонентских линиях 11 Система сигнализации по общему каналу сигнализации (ОКС7) 12 Система отбоя 13 Особенности установления соединений по СЛМ Приложение А Библиография |
| Разработан: | ЛОНИИС ГП ЦНИИС |
| Утверждён: | 20.11.2001 Минсвязи России (Russian Federation Minsvyazi 8251) |
| Издан: | Минсвязи России (2001 г. ) |
| Заменяет собой: |
|
| Нормативные ссылки: |
|



































































































