Скачать РД 50-411-83 Методические указания. Расход жидкостей и газов. Методика выполнения измерений с помощью специальных сужающих устройствДата актуализации: 01.01.2021
|
| Обозначение: | РД 50-411-83 |
| Обозначение англ: | RD 50-411-83 |
| Статус: | действует |
| Название рус.: | Методические указания. Расход жидкостей и газов. Методика выполнения измерений с помощью специальных сужающих устройств |
| Дата добавления в базу: | 01.09.2013 |
| Дата актуализации: | 01.01.2021 |
| Дата введения: | 01.07.1984 |
| Область применения: | Методические указания устанавливают основы измерения расхода жидкостей и газов методом переменного перепада давления, создаваемого специальными сужающими устройствами, и регламентируют требования к расходомерным устройствам при их разработке, проектировании, монтаже, эксплуатации и поверке. |
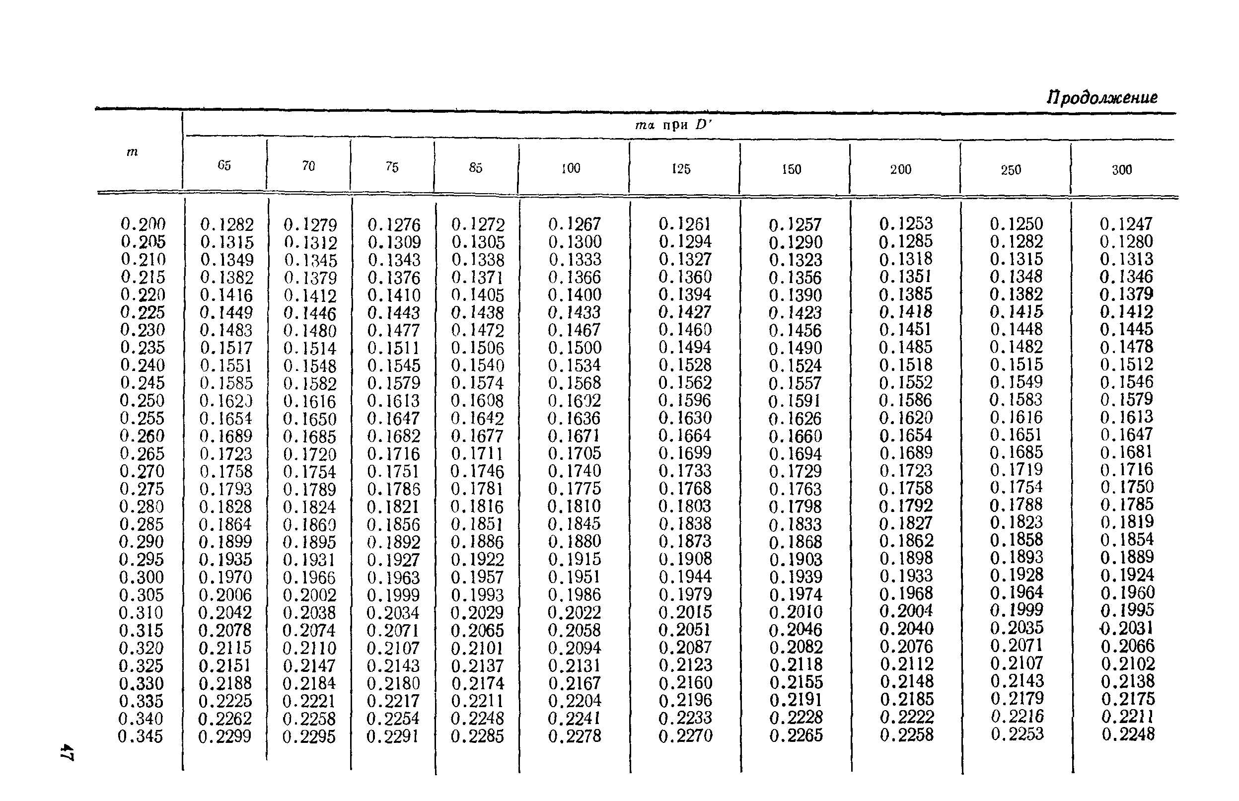
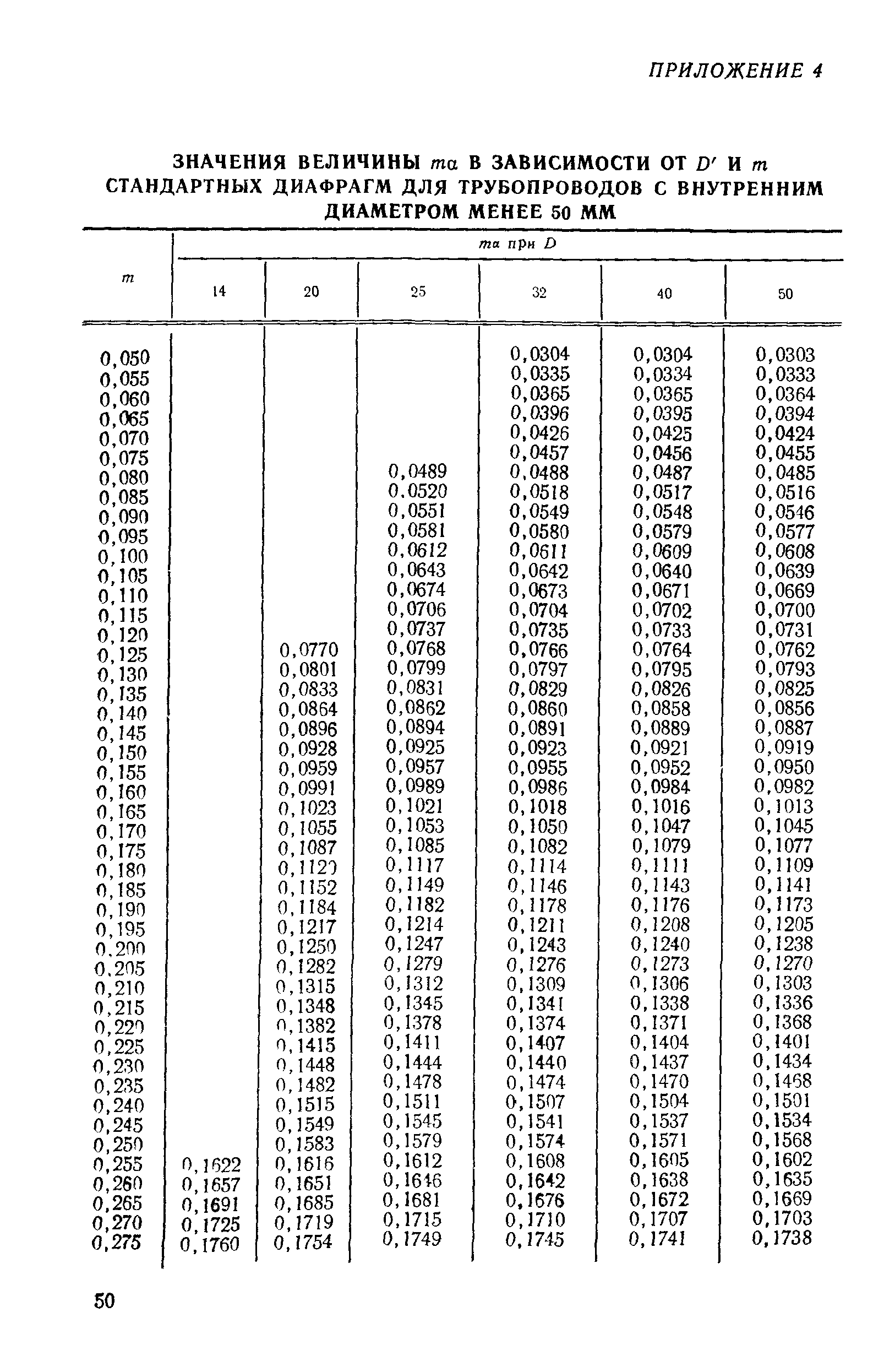
| Оглавление: | Условные обозначения 1. Основные положения 2. Основные уравнения расхода 3. Коэффициент расхода 4. Определение основных параметров потоков измеряемой среды 5. Погрешности измерения расхода 6. Требования к специальным сужающим устройствам 7. Потеря давления 8. Установка специальных сужающих устройств 9. Расчет специального сужающего устройства 10. Поверка расходомера Приложение 1 Первые производные функции Приложение 2 Зависимость для специальных сужающих устройств Приложение 3 Значения величины для износоустойчивых диафрагм Приложение 4 Значения величины стандартных диафрагм для трубопроводов с внутренним диаметром менее 50 мм |
| Разработан: | Госстандарт СССР |
| Утверждён: | 17.06.1983 Госстандарт СССР (USSR Gosstandart 2586) |
| Издан: | Издательство стандартов (1984 г. ) |
| Нормативные ссылки: |
|




















































