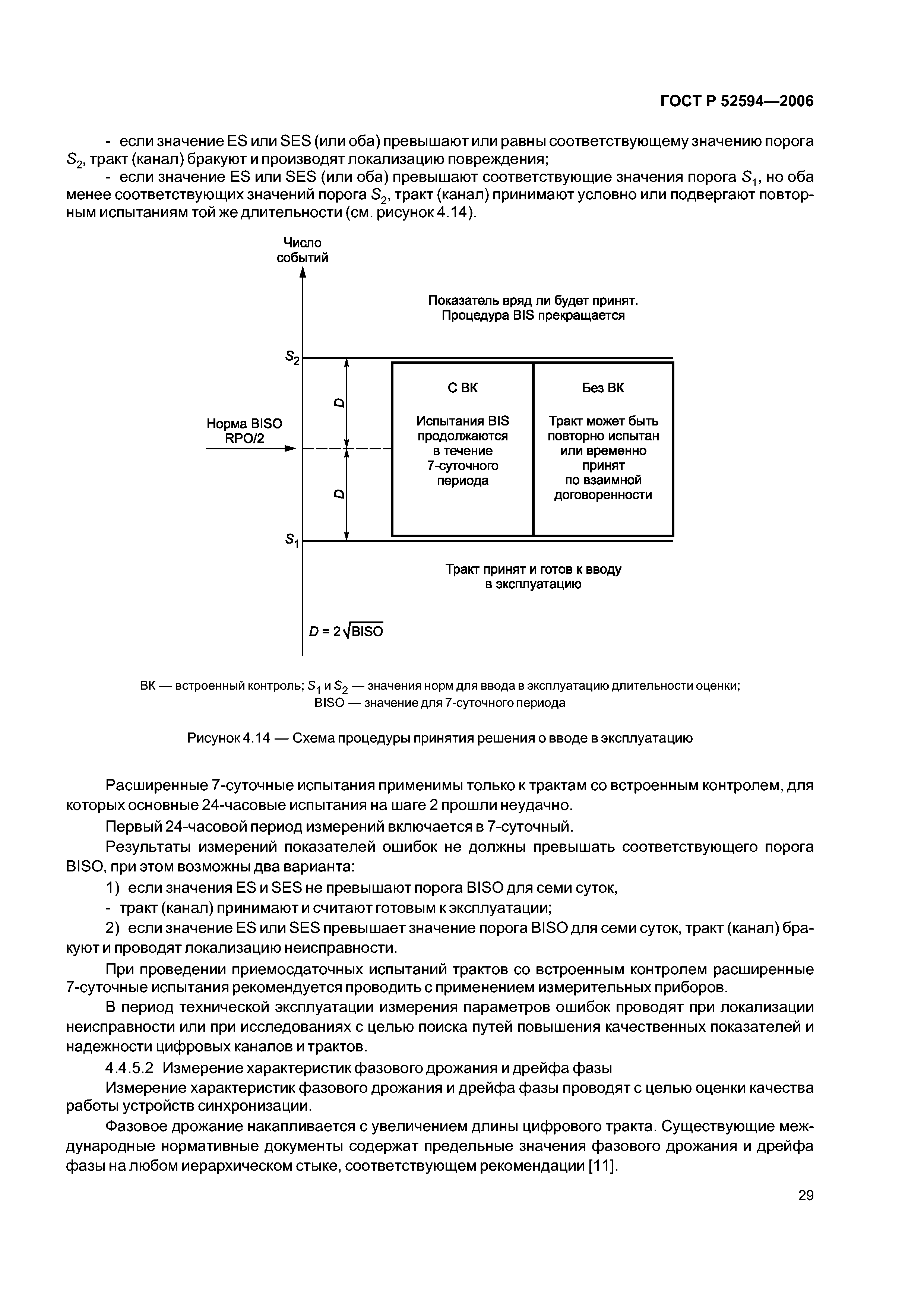
Скачать ГОСТ Р 52594-2006 Магистральные каналы волоконно-оптических, радиорелейных и спутниковых систем передачи цифровых телевизионных сигналов. Основные параметры и методы измеренийДата актуализации: 01.01.2021
|
| Обозначение: | ГОСТ Р 52594-2006 |
| Обозначение англ: | GOST R 52594-2006 |
| Статус: | введен впервые |
| Название рус.: | Магистральные каналы волоконно-оптических, радиорелейных и спутниковых систем передачи цифровых телевизионных сигналов. Основные параметры и методы измерений |
| Название англ.: | Fibre-optic, radio-relay and satellite main channels of digital TV signals transmission systems. Basic parameters and methods of measuring |
| Дата добавления в базу: | 01.09.2013 |
| Дата актуализации: | 01.01.2021 |
| Дата введения: | 01.01.2007 |
| Область применения: | Стандарт распространяется на магистральные каналы волоконно-оптических, радиорелейных и спутниковых систем передачи цифровых телевизионных сигналов и содержит нормы, позволяющие проводить расчеты при проектировании указанных каналов и методы измерения качественных показателей указанных каналов при приемосдаточных испытаниях и в ходе дальнейшей эксплуатации. |
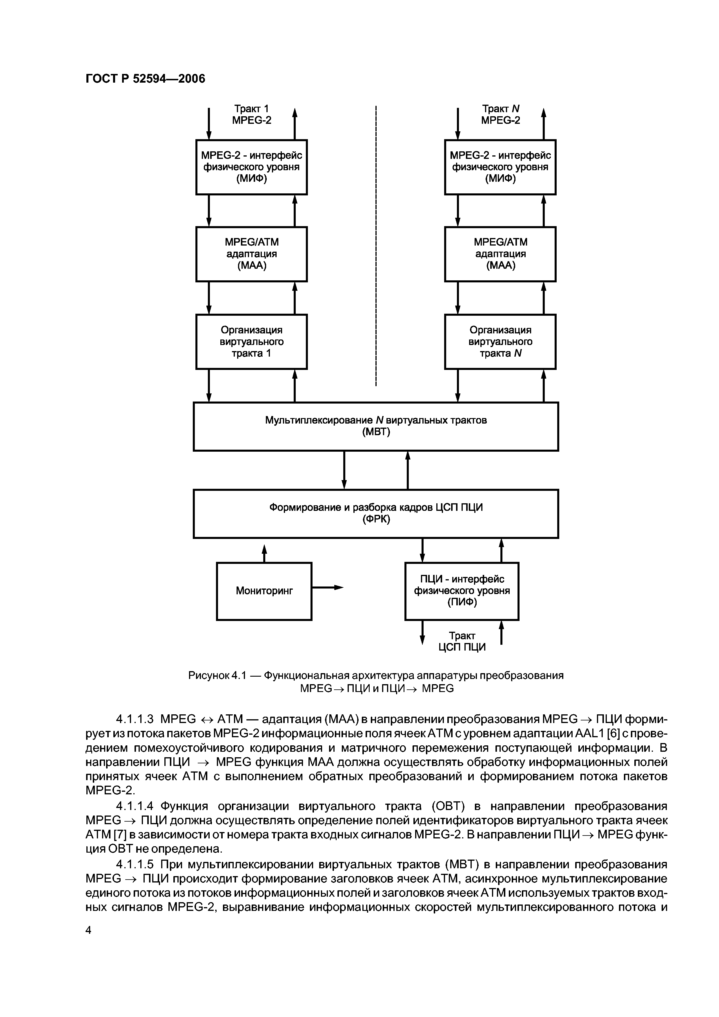
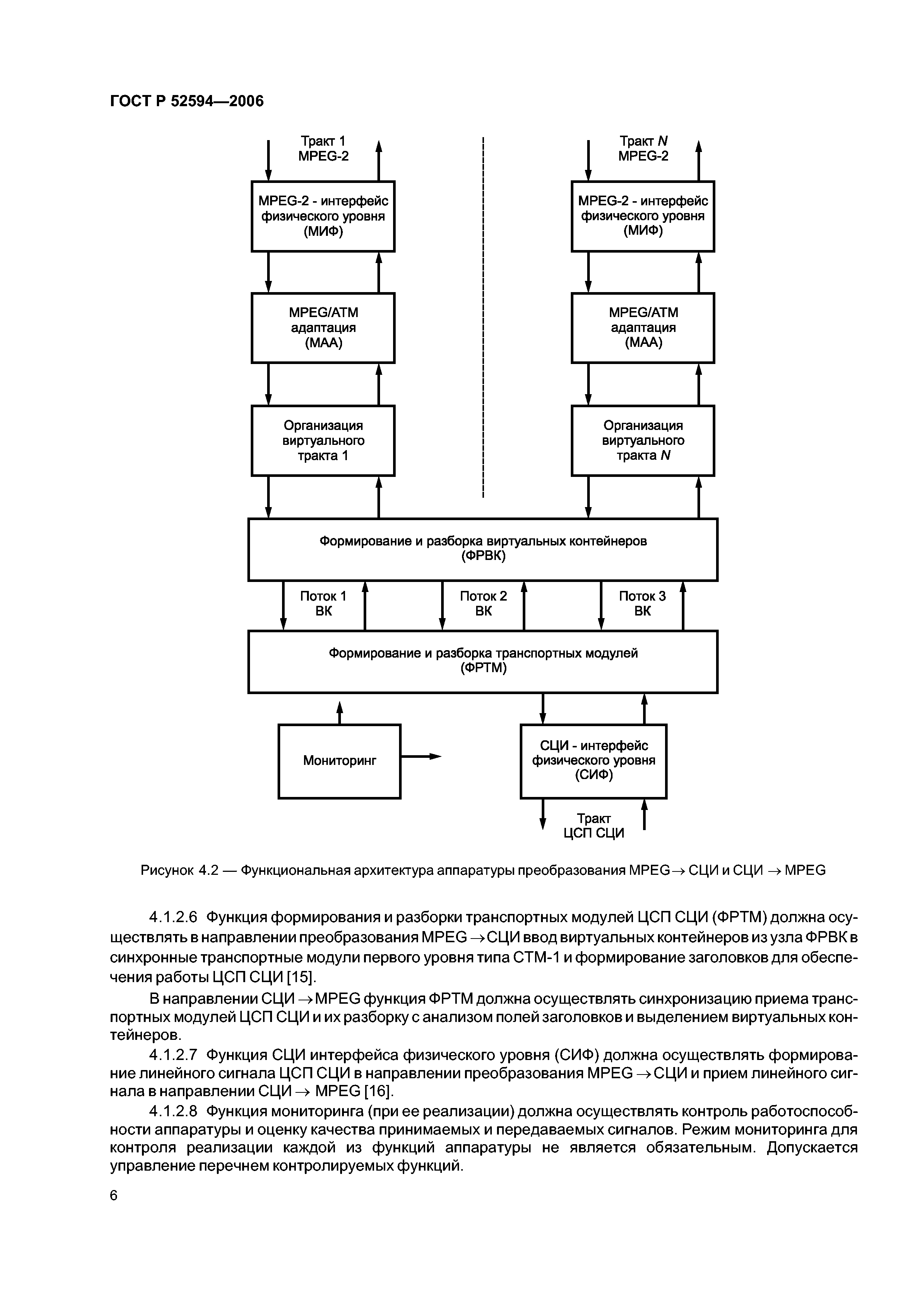
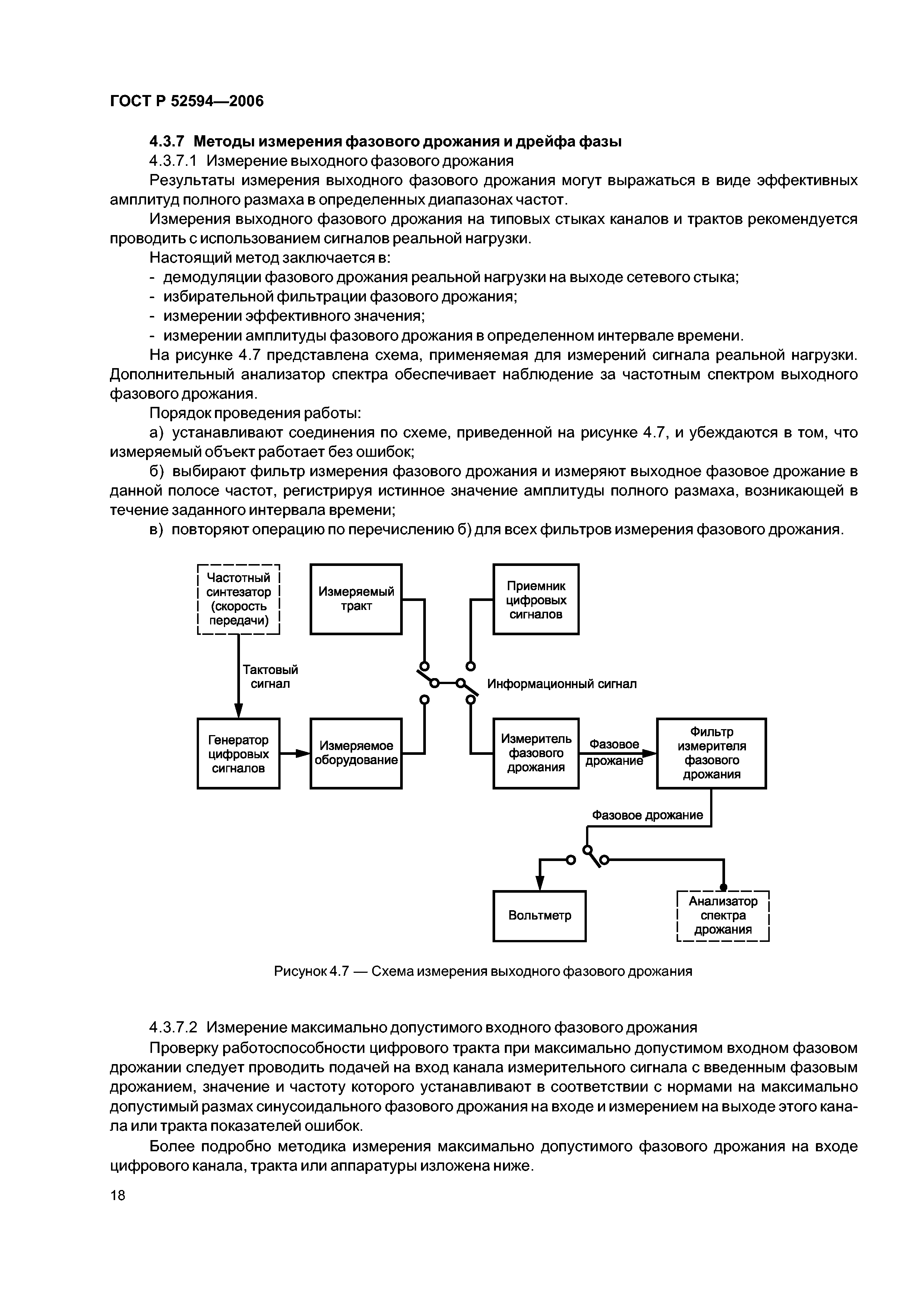
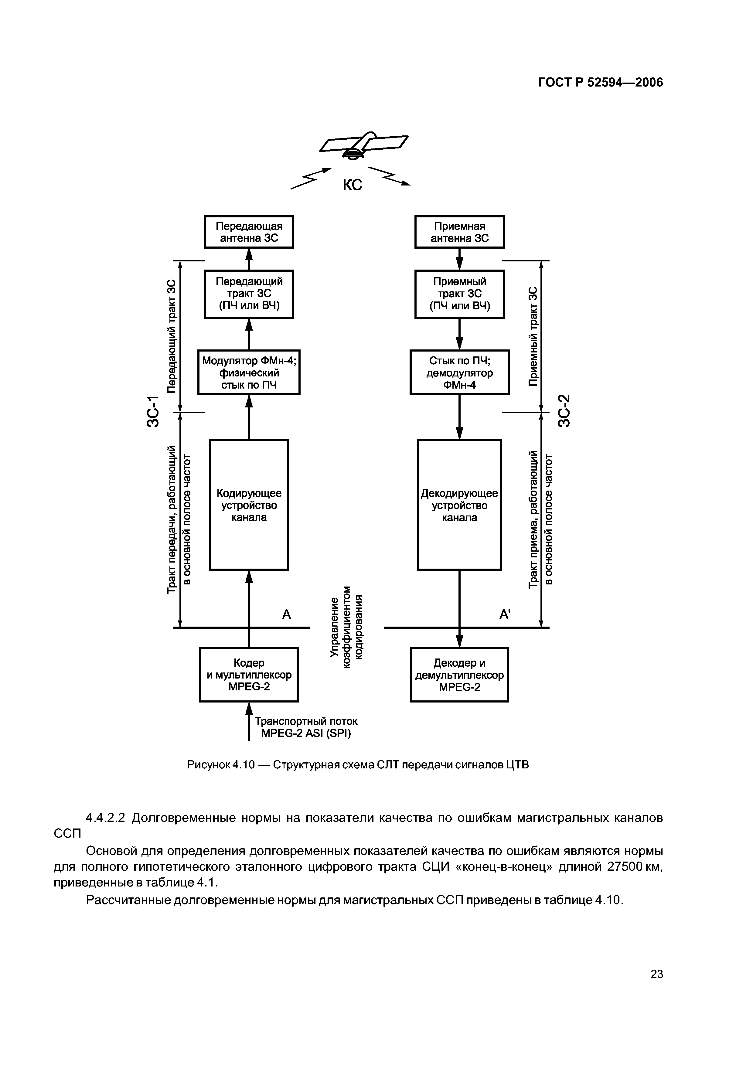
| Оглавление: | 1 Область применения 2 Нормативные ссылки 3 Обозначения и сокращения 4 Параметры магистральных цифровых каналов передачи телевизионных сигналов и методы их измерений 4.1 Наземные магистральные каналы передачи телевизионных сигналов 4.2 Виды нормируемых показателей 4.3 Наземные магистральные каналы передачи телевизионных сигналов (ВОЛС и ЦРРЛ) 4.4 Спутниковые магистральные каналы передачи телевизионных сигналов 5 Анализ структуры цифрового транспортного потока, передаваемого по магистральным каналам систем передачи цифровых телевизионных сигналов 6 Измерение качественных показателей аналогового ТВ сигнала 6.1 Общие положения 6.2 Нормы на качественные показатели телевизионных каналов, определяемые на основе приборных измерений 6.3 Требования к приборам, измеряющим качественные показатели ТВ сигнала 6.4 Показатели качества изображения на выхое ЦСП, определяемые на основе визуальных оценок Библиография |
| Разработан: | ФГУП НИИР |
| Утверждён: | 22.11.2006 Федеральное агентство по техническому регулированию и метрологии (264-ст) |
| Издан: | Стандартинформ (2007 г. ) |
| Нормативные ссылки: |
|












































