Скачать Руководство по проектированию и монтажу трубопроводных системДата актуализации: 01.01.2021 |
| Статус: | действует |
| Название рус.: | Руководство по проектированию и монтажу трубопроводных систем |
| Дата добавления в базу: | 01.09.2013 |
| Дата актуализации: | 01.01.2021 |
| Область применения: | Металлопластиковые трубы Compipe применяются в системах холодного и горячего водоснабжения в жилых, административных и промышленных зданиях, в системах радиаторного и напольного отопления, в технических трубопроводах для транспортировки жидких и газообразных сред, в системах водоподготовки, для отопления открытых площадок и лестничных сходов, стадионов, бассейнов, а также для систем подогрева грунта в теплицах и оранжереях. |
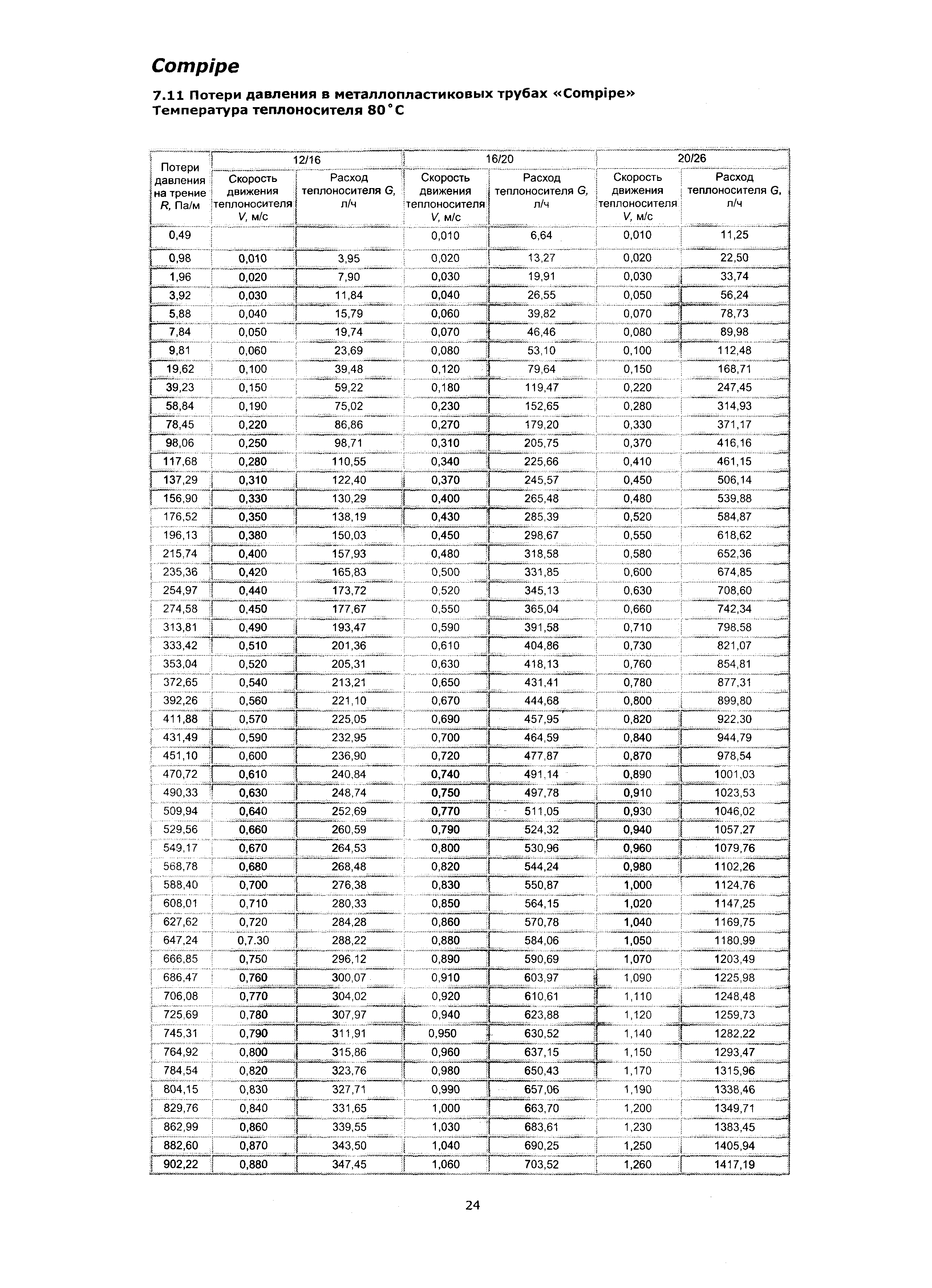
| Оглавление: | 1. Введение 2. Область применения труб 3. Трубы 4. Фитинги 5. Монтаж металлопластиковых труб 6. Информация для проектирования 7. Гидравлические характеристики 8. Тепловые характеристики 9. Система "Теплый пол" (напольное отопление) Приложение 1. Химическая стойкость (таблица) |
| Разработан: | Группа компаний КОМТЕХ |
| Утверждён: | Группа компаний КОМТЕХ |
| Нормативные ссылки: |
|










































