Скачать СП 40-103-98 Проектирование и монтаж трубопроводов систем холодного и горячего внутреннего водоснабжения с использованием металлополимерных трубДата актуализации: 01.01.2021
|
| Обозначение: | СП 40-103-98 |
| Обозначение англ: | SP 40-103-98 |
| Статус: | действует |
| Название рус.: | Проектирование и монтаж трубопроводов систем холодного и горячего внутреннего водоснабжения с использованием металлополимерных труб |
| Название англ.: | Design and installation of pipelines for internal gold and hot water suppli systems using metalpolimeric pipes |
| Дата добавления в базу: | 01.09.2013 |
| Дата актуализации: | 01.01.2021 |
| Область применения: | Свод правил распространяется на проектирование, монтаж и ремонт строящихся и реконструируемых систем внутреннего холодного и горячего водоснабжения из металлополимерных труб. |
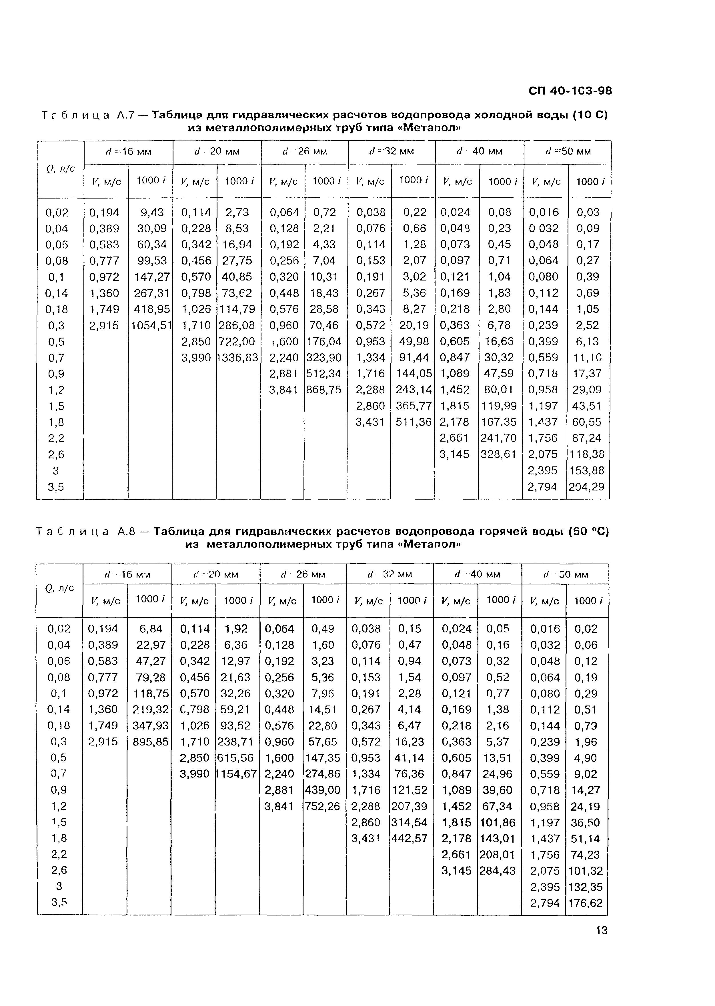
| Оглавление: | Введение 1 Область применения 2 Проектирование внутреннего водопровода зданий из металлополимерных труб 3 Монтаж внутреннего водопровода зданий из металлополимерных труб 4 Испытания трубопроводов из металлополимерных труб 5 Эксплуатация 6 Транспортирование и храпение металлополимерных труб 7 Требования техники безопасности Приложение А Технические характеристики металлополимерных труб Приложение Б Сортамент соединительных деталей и фитингов |
| Разработан: | ГПКНИИ Сантехниипроект МНИИТЭП НИИсантехники НИИМосстрой Мосстройкомитета ТОО НПП ВладВЭД ЗАО Гента НИКИМТ |
| Утверждён: | 20.05.1998 МНТКС (MNTKS ) 26.06.1998 Госстрой России (Russian Federation Gosstroy 13-362) |
| Издан: | ГУП ЦПП (CPP GUP 1998 г. ) |
| Нормативные ссылки: |





























