Скачать ГОСТ Р 52759-2007 Машины для внесения твердых органических удобрений. Методы испытаний

Дата актуализации: 01.01.2021

ГОСТ Р 52759-2007

Машины для внесения твердых органических удобрений. Методы испытаний

Обозначение: ГОСТ Р 52759-2007
Обозначение англ: GOST R 52759-2007
Статус:отменен
Название рус.:Машины для внесения твердых органических удобрений. Методы испытаний
Название англ.:Dry fertilizer-spreading machinery. Test methods
Дата добавления в базу:01.09.2013
Дата актуализации:01.01.2021
Дата введения:01.01.2009
Дата окончания срока действия:01.01.2018
Область применения:Стандарт распространяется на машины для сплошного поверхностного внесения удобрений, внесения удобрений в междурядья, для локального внесения удобрений в гряды, валкователи-разбрасыватели удобрений из куч и устанавливает методы их испытаний.
Оглавление:1 Область применения
2 Нормативные ссылки
3 Термины и определения
4 Подготовка к испытаниям
5 Оценка технических параметров
6 Агротехническая оценка
7 Энергетическая оценка
8 Оценка безопасности и эргономичности конструкции
9 Оценка надежности
10 Эксплуатационно-технологическая оценка
11 Экономическая оценка
Приложение А Оформление результатов испытаний
Приложение Б Формы рабочих ведомостей результатов испытаний
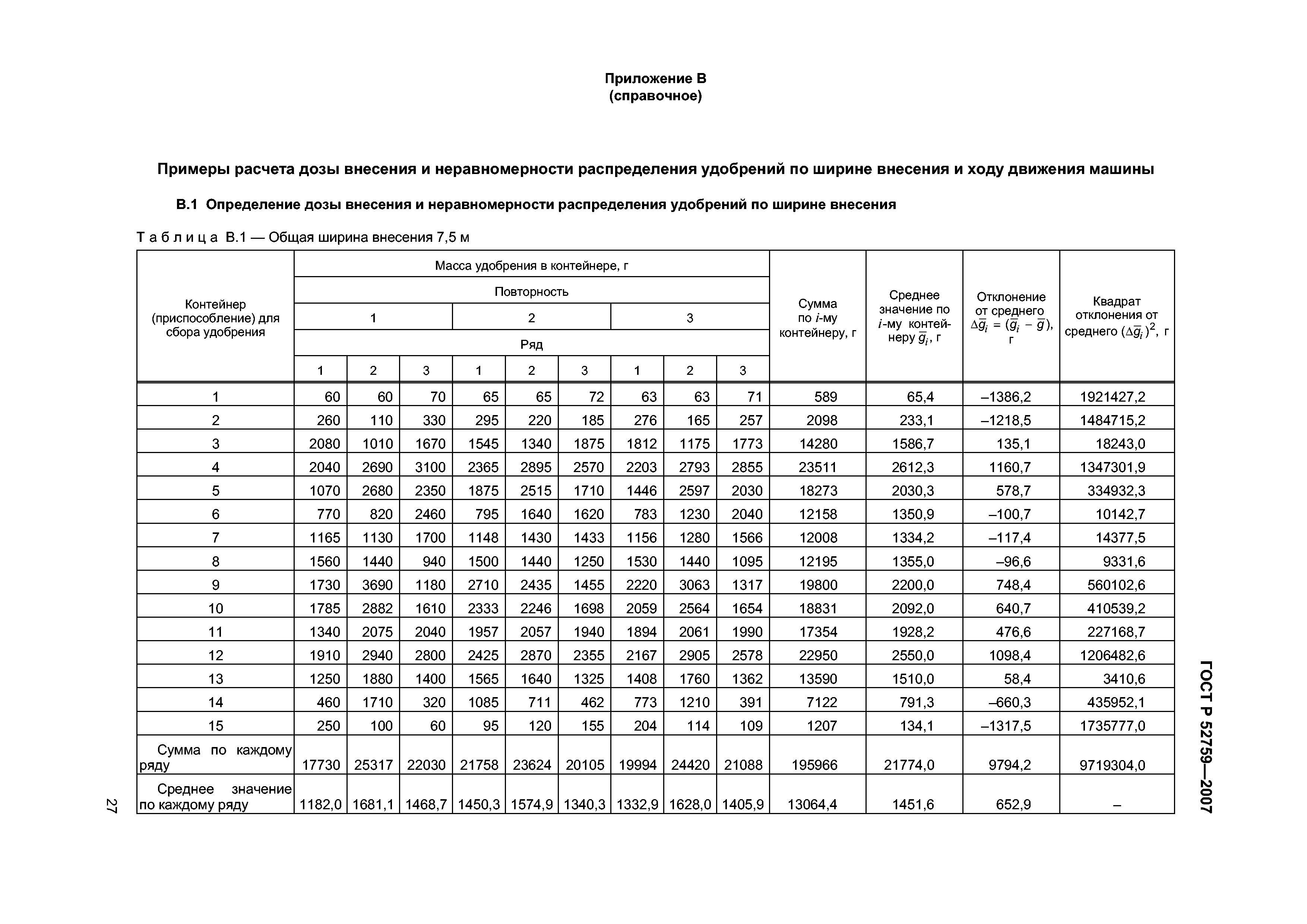
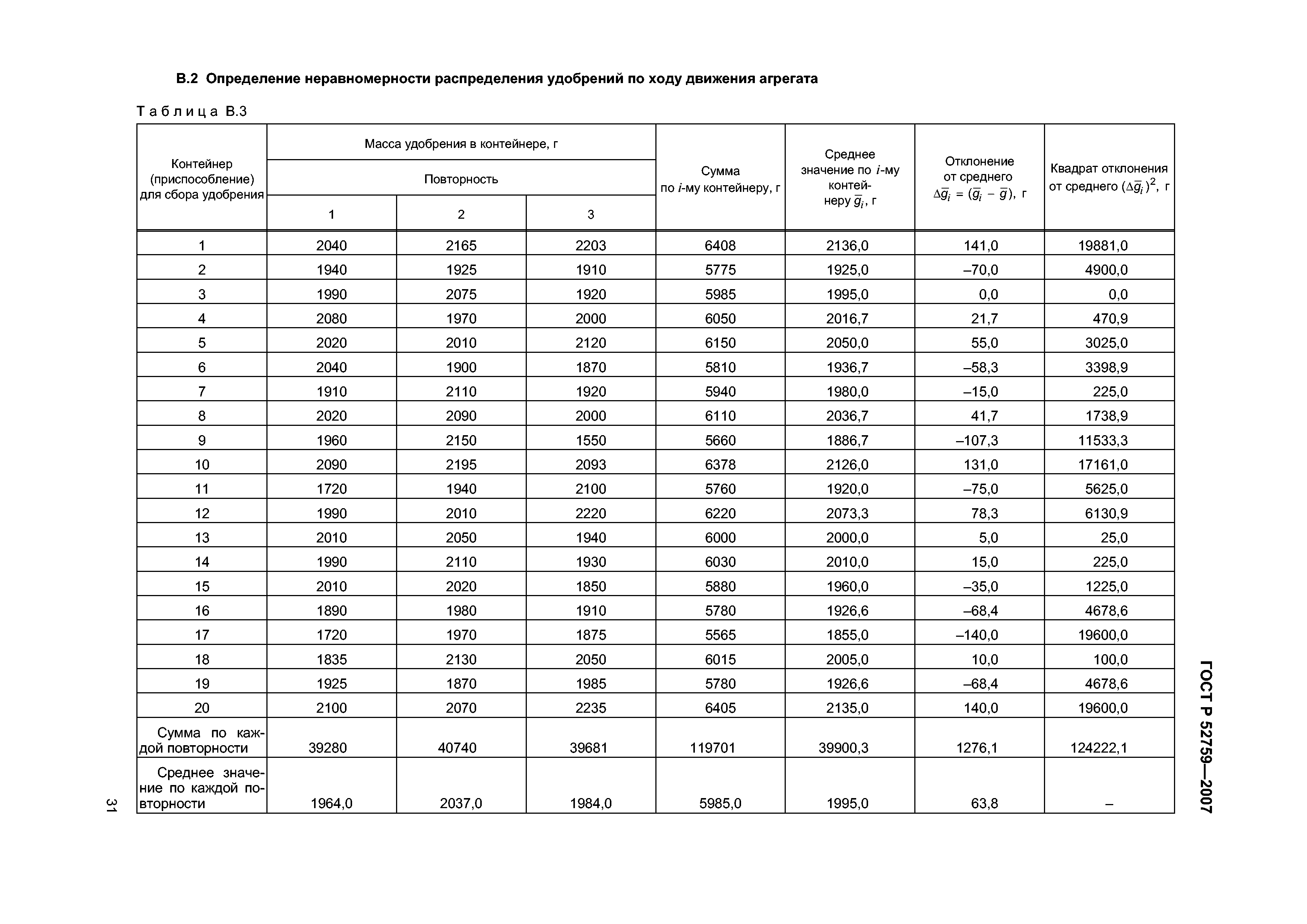
Приложение В Примеры расчета дозы внесения и неравномерности распределения удобрений по ширине внесения и ходу движения машины
Приложение Г Перечнь средств измерений и оборудования для определения функциональных показателей
Библиография
Разработан: ФГНУ РосНИИТиМ
Утверждён:17.10.2007 Федеральное агентство по техническому регулированию и метрологии (263-ст)
Издан: Стандартинформ (2007 г. )
Нормативные ссылки:
ГОСТ Р 52759-2007ГОСТ Р 52759-2007ГОСТ Р 52759-2007ГОСТ Р 52759-2007ГОСТ Р 52759-2007ГОСТ Р 52759-2007ГОСТ Р 52759-2007ГОСТ Р 52759-2007ГОСТ Р 52759-2007ГОСТ Р 52759-2007ГОСТ Р 52759-2007ГОСТ Р 52759-2007ГОСТ Р 52759-2007ГОСТ Р 52759-2007ГОСТ Р 52759-2007ГОСТ Р 52759-2007ГОСТ Р 52759-2007ГОСТ Р 52759-2007ГОСТ Р 52759-2007ГОСТ Р 52759-2007ГОСТ Р 52759-2007ГОСТ Р 52759-2007ГОСТ Р 52759-2007ГОСТ Р 52759-2007ГОСТ Р 52759-2007ГОСТ Р 52759-2007ГОСТ Р 52759-2007ГОСТ Р 52759-2007ГОСТ Р 52759-2007ГОСТ Р 52759-2007ГОСТ Р 52759-2007ГОСТ Р 52759-2007ГОСТ Р 52759-2007ГОСТ Р 52759-2007ГОСТ Р 52759-2007ГОСТ Р 52759-2007ГОСТ Р 52759-2007ГОСТ Р 52759-2007ГОСТ Р 52759-2007