Скачать ГОСТ Р ИСО 14644-3-2007 Чистые помещения и связанные с ними контролируемые среды. Часть 3. Методы испытанийДата актуализации: 01.01.2021
|
| Обозначение: | ГОСТ Р ИСО 14644-3-2007 |
| Обозначение англ: | GOST R ISO 14644-3-2007 |
| Статус: | введен впервые |
| Название рус.: | Чистые помещения и связанные с ними контролируемые среды. Часть 3. Методы испытаний |
| Название англ.: | Cleanrooms and associated controlled environments. Part 3. Test methods |
| Дата добавления в базу: | 01.09.2013 |
| Дата актуализации: | 01.01.2021 |
| Дата введения: | 01.10.2008 |
| Область применения: | Стандарт устанавливает метрологические характеристики и методы испытаний чистых помещений и чистых зон для определения класса чистоты. В стандарте приведены методы испытаний для двух типов чистых помещений и чистых зон (с однонаправленным и неоднонаправленным потоком воздуха) и для трех состояний чистого помещения (построенное, оснащенное, эксплуатируемое). |
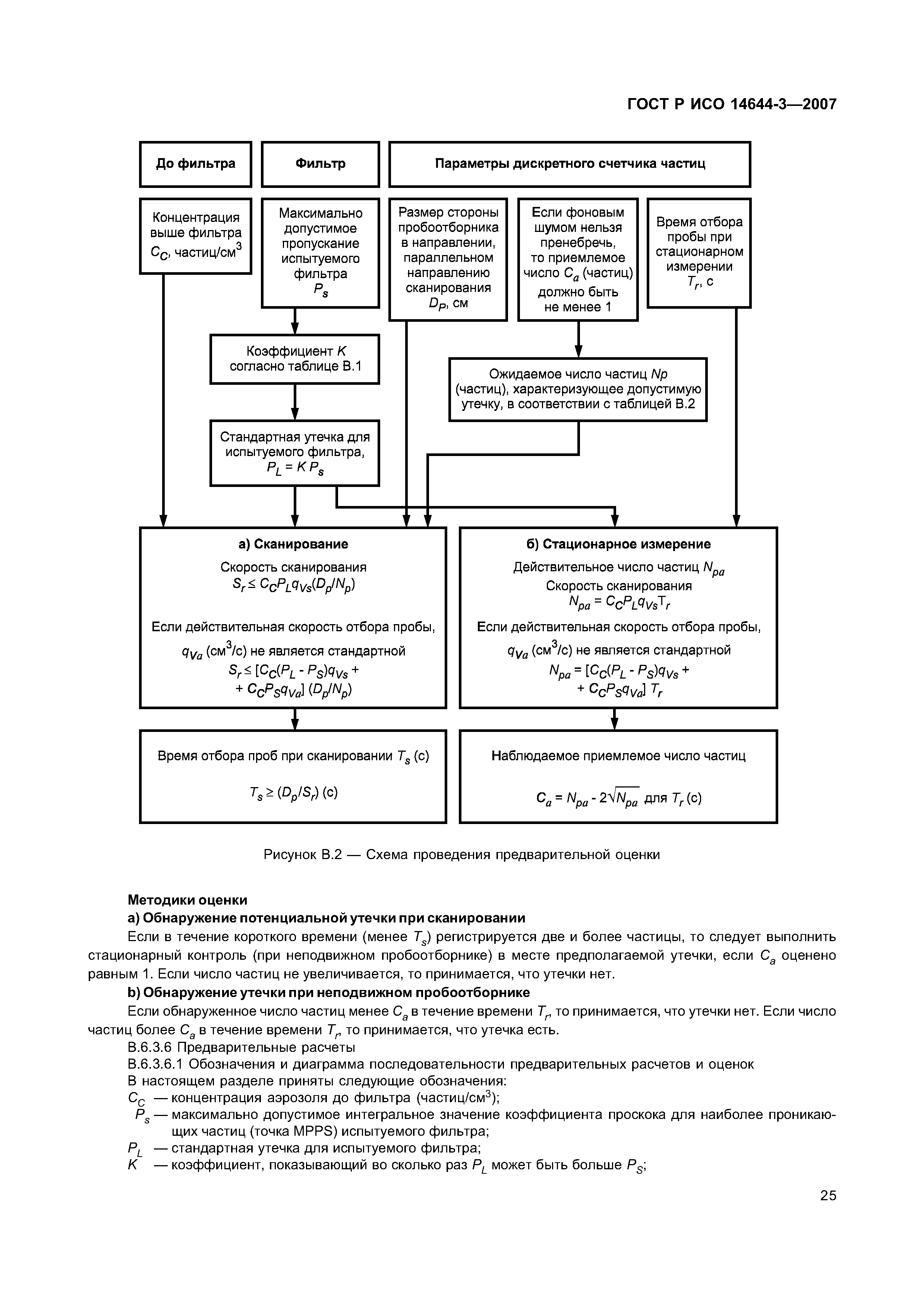
| Оглавление: | 1 Область применения 2 Нормативные ссылки 3 Термины и определения 4 Методы испытаний 4.1 Методы испытаний чистых помещений 4.1.1 Обязательные методы 4.1.2 Дополнительные методы 4.2 Характеристики методов испытаний 4.2.1 Определение концентрации аэрозольных частиц 4.2.2 Анализ воздушных потоков 4.2.3 Перепад давления 4.2.4 Целостность установленной системы фильтрации 4.2.5 Направление потока воздуха, визуализация потока 4.2.6 Однородность температуры и влажности 4.2.7 Статическое электричество и генерация ионов 4.2.8 Осаждение частиц 4.2.9 Временя восстановления 4.2.10 Герметичность ограждающих конструкций 5 Протокол испытаний Приложение А (справочное) Выбор методов испытаний чистых помещений и последовательность их проведения Приложение В (справочное) Методы испытаний Приложение С (справочное) Оборудование для проведения испытаний Приложение D (справочное) Сведения о соответствии национальных стандартов Российской Федерации ссылочным международным стандартам Библиография |
| Разработан: | ТК 184 Обеспечение промышленной чистоты АСИНКОМ |
| Утверждён: | 27.12.2007 Федеральное агентство по техническому регулированию и метрологии (616-СТ) |
| Издан: | Стандартинформ (2008 г. ) |
| Список изменений: |
|
| Нормативные ссылки: |
|























































Текстовое изменение Поправка от 28.11.2014