Скачать РБ 046-08 Мониторинг метеорологических и аэрологических условий в районах размещения объектов использования атомной энергии

Дата актуализации: 01.01.2021

РБ 046-08

Мониторинг метеорологических и аэрологических условий в районах размещения объектов использования атомной энергии

Обозначение: РБ 046-08
Обозначение англ: RB 046-08
Статус:введен впервые
Название рус.:Мониторинг метеорологических и аэрологических условий в районах размещения объектов использования атомной энергии
Дата добавления в базу:01.09.2013
Дата актуализации:01.01.2021
Дата введения:01.01.2009
Область применения:Руководство по безопасности содержит общие рекомендации по организации и проведению мониторинга метеорологических и аэрологических условий в районах размещения объектов использования атомной энергии (ОИАЭ), выбору методов, приборов и оборудования, используемых при выполнении мониторинга и не является нормативным правовым актом.
Оглавление:Список сокращений
Основные термины и определения
1. Назначение и область применения
2. Цели и задачи мониторинга
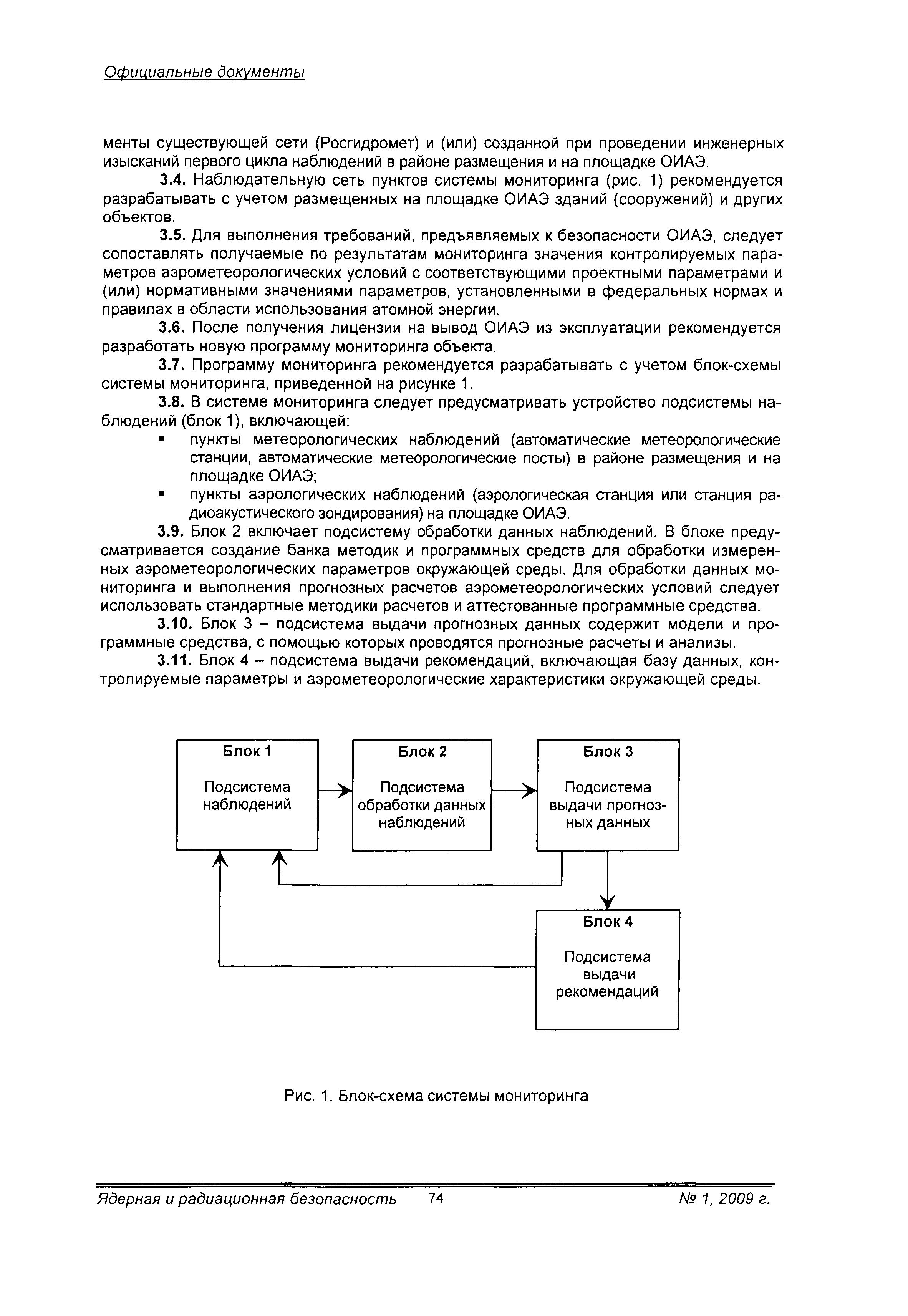
3. Этапы проведения, структура, организация и состав работ мониторинга
4. Технические средства мониторинга
5. Контроль стабильности расчетных аэрометеорологических параметров по данным мониторинга
6. Отчетная документация
Приложение 1. Макет программы мониторинга
Приложение 2. Контролируемые аэродинамические параметры
Приложение 3. Характеристики средств измерения и оборудования для проведения мониторинга
Приложение 4. Источники информации
Утверждён:29.12.2008 Федеральная служба по экологическому, технологическому и атомному надзору (1038)
Нормативные ссылки:
РБ 046-08РБ 046-08РБ 046-08РБ 046-08РБ 046-08РБ 046-08РБ 046-08РБ 046-08РБ 046-08РБ 046-08РБ 046-08РБ 046-08РБ 046-08РБ 046-08РБ 046-08РБ 046-08РБ 046-08РБ 046-08РБ 046-08