Скачать ГОСТ Р 53531-2009 Телевидение вещательное цифровое. Требования к защите информации от несанкционированного доступа в сетях кабельного и наземного телевизионного вещания. Основные параметры. Технические требованияДата актуализации: 01.01.2021
|
| Обозначение: | ГОСТ Р 53531-2009 |
| Обозначение англ: | GOST R 53531-2009 |
| Статус: | введен впервые |
| Название рус.: | Телевидение вещательное цифровое. Требования к защите информации от несанкционированного доступа в сетях кабельного и наземного телевизионного вещания. Основные параметры. Технические требования |
| Название англ.: | Digital Video Broadcasting (DVB). Specifications to information protection from non-authorized access in the cable and terrestrial television broadcast networks. Basic parameters. Technical requirements |
| Дата добавления в базу: | 01.09.2013 |
| Дата актуализации: | 01.01.2021 |
| Дата введения: | 01.12.2010 |
| Область применения: | Стандарт распространяется на оборудование систем защиты информации, передаваемой по сетям кабельного и наземного телевизионного вещания, от несанкционированного доступа. |
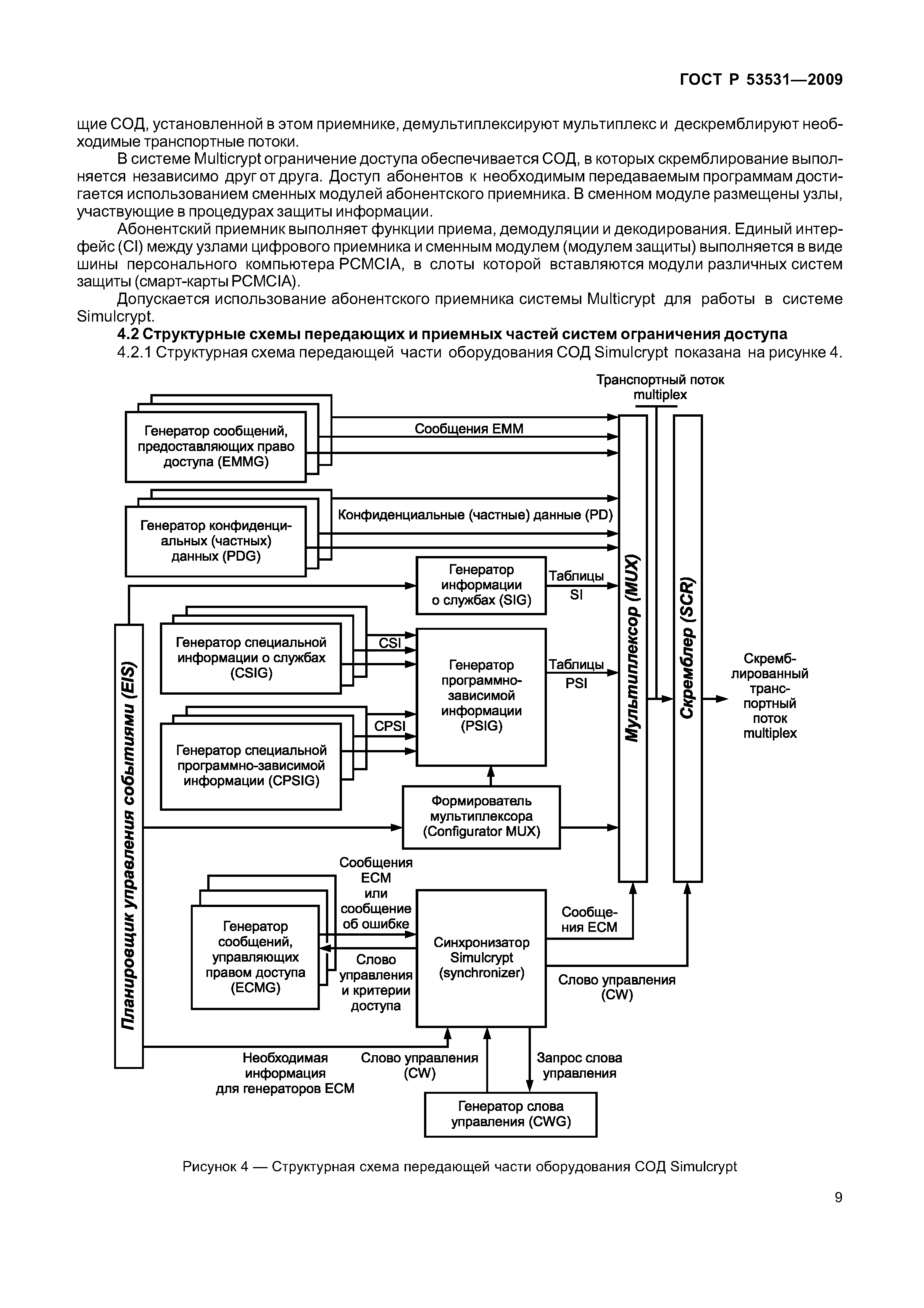
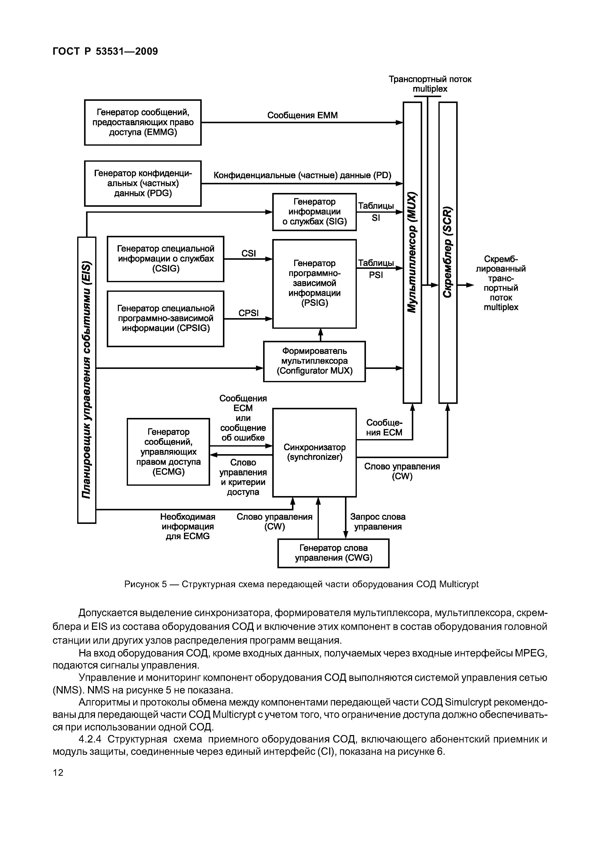
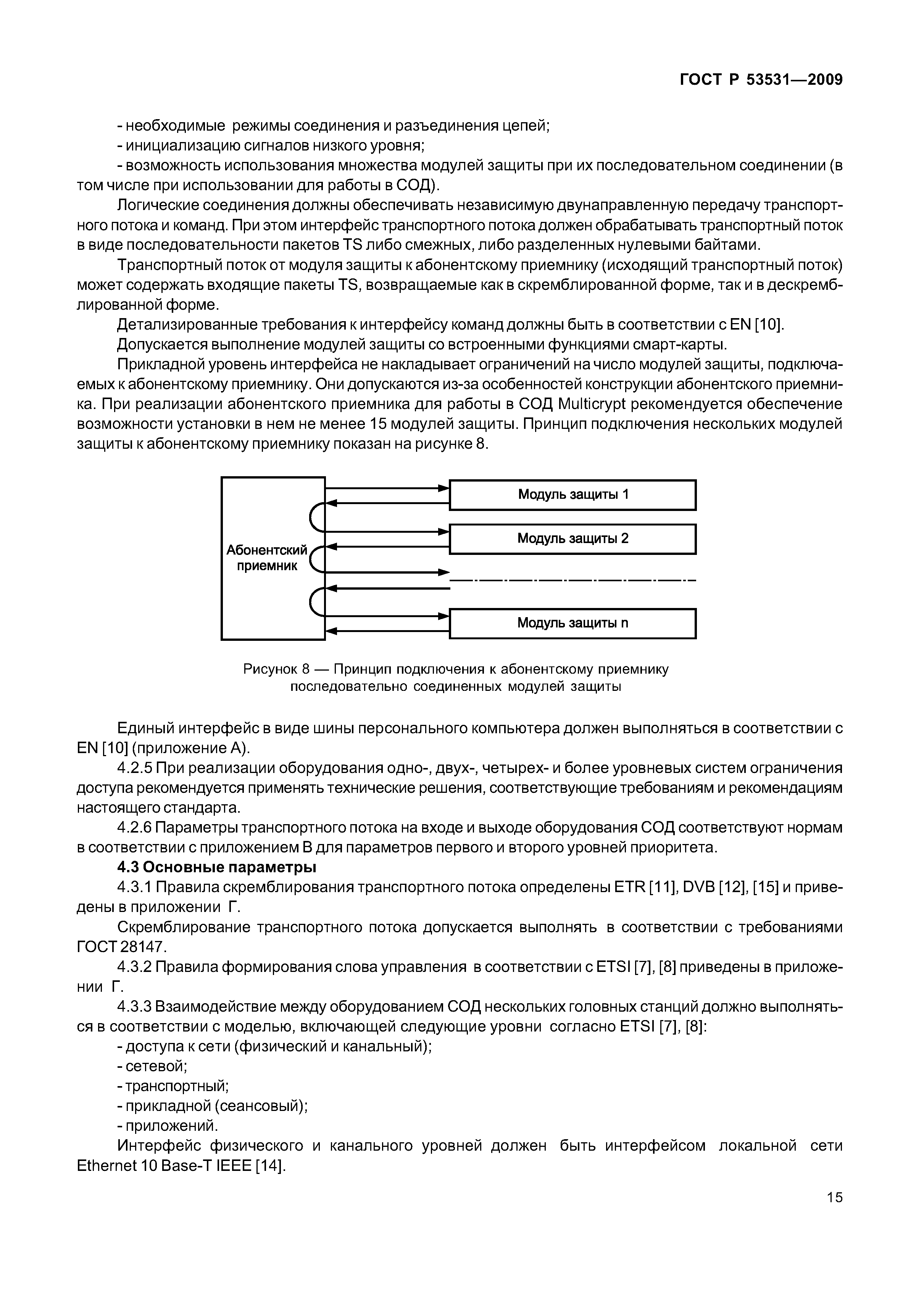
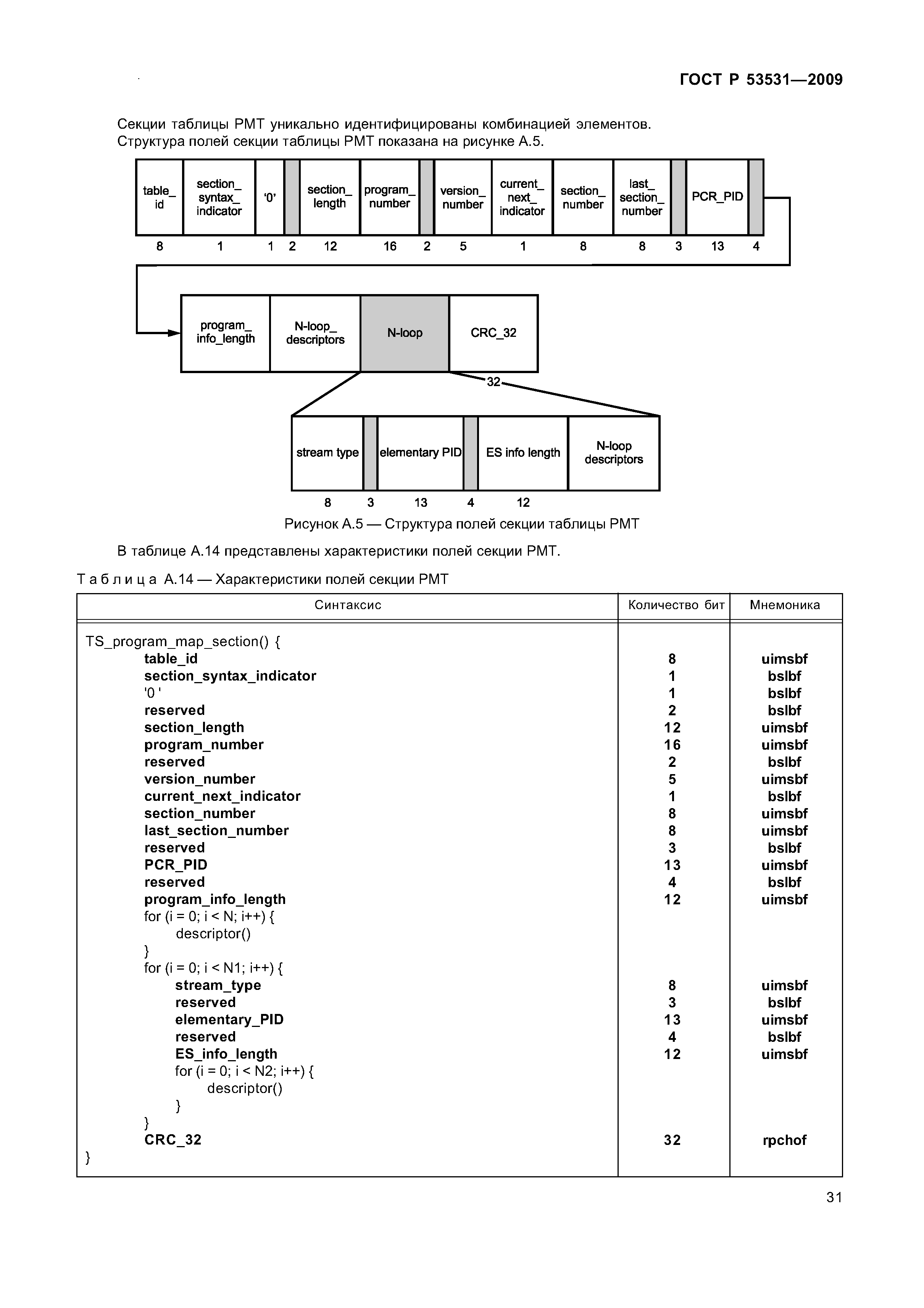
| Оглавление: | 1 Область применения 2 Нормативные ссылки 3 Термины, определения и сокращения 4 Основные параметры оборудования защиты информации, передаваемой по сетям кабельного и наземного телевизионного вещания, от несанкционированного доступа 4.1 Определение системы 4.2 Структурные схемы передающих и приемных частей систем ограничения доступа 4.3 Основные параметры 5 Технические требования 5.1 Общие технические требования 5.2 Требования к интерфейсам 5.3 Требования электромагнитной совместимости 5.4 Требования безопасности 5.5 Требования к электропитанию 5.6 Требования по стойкости к климатическим и механическим воздействиям Приложение А (справочное) Структура и основные параметры транспортного потока, основные параметры таблиц программно-зависимой информации (РSI) и таблиц информации о службах (SI), дескриптор ограниченного доступа Приложение Б (обязательное) Параметры интерфейсов между компонентами оборудования системы ограничения доступа Simulcrypt Приложение В (обязательное) Требования к параметрам транспортного потока на входе и выходе оборудования системы ограничения доступа Приложение Г (рекомендуемое) Правила скремблирования транспортного потока. Правила формирования слова управления Приложение Д (обязательное) Требования к параметрам интерфейсов доступа к сети передачи данных с использованием контроля несущей и обнаружением коллизий (Еthеrnе, Fast Еthеrnе, Gigabit Еthеrnе) Приложение Е (обязательное) Требования к параметрам интерфейсов передачи данных RS-232, RS-422, асинхронного последовательного интерфейса (АSI) и синхронного параллельного интерфейса (SРI) Библиография |
| Разработан: | ФГУП СОНИИР |
| Утверждён: | 15.12.2009 Федеральное агентство по техническому регулированию и метрологии (793-ст) |
| Издан: | Стандартинформ (2010 г. ) |
| Нормативные ссылки: |
|



















































