Скачать НД 2-020101-072 Правила классификации и постройки морских судов. Том 2 (редакция 2013 года)Дата актуализации: 01.01.2021
|
| Обозначение: | НД 2-020101-072 |
| Обозначение англ: | ND 2-020101-072 |
| Статус: | заменен |
| Название рус.: | Правила классификации и постройки морских судов. Том 2 (редакция 2013 года) |
| Дата добавления в базу: | 01.09.2013 |
| Дата актуализации: | 01.01.2021 |
| Дата введения: | 01.01.2013 |
| Дата окончания срока действия: | 01.01.2014 |
| Область применения: | Требования настоящей части Правил распространяются на судовые механические установки, оборудование машинных помещений, валопроводы, движители, системы мониторинга технического состояния механизмов механической установки, запасные части и средства активного управления судами. |
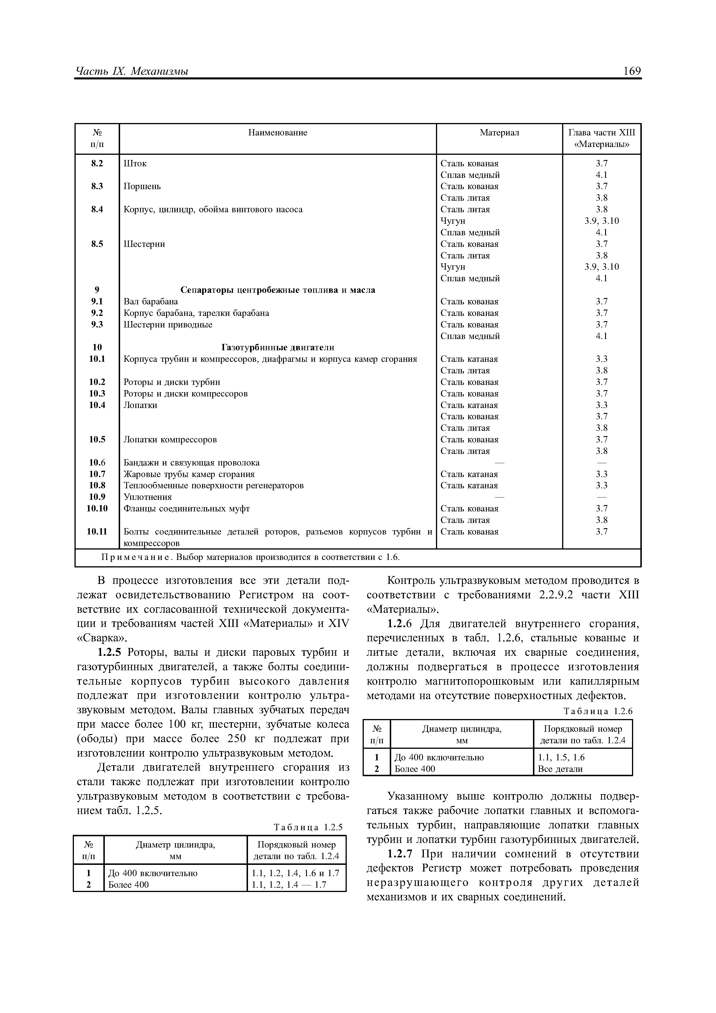
| Оглавление: | Часть VII. Механические установки 1 Общие положения 2 Общие требования 3 Устройства и посты управления. Средства связи 4 Машинные помещения, расположение механизмов и оборудования 5 Валопроводы 6 Движители 7 Средства активного управления судами 8 Крутильные колебания 9 Вибрация механизмов и оборудования. Технические нормы 10 Запасные части 11 Системы мониторинга технического состояния механизмов 12 Качественный анализ отказов пропульсивной установки и рулевого устройства на пассажирских судах Часть VIII. Системы и трубопроводы 1 Общие положения 2 Металлические трубопроводы 3 Трубопроводы из пластмасс 4 Арматура 5 Прокладка трубопроводов 6 Судовые шланги 7 Осушительная система 8 Балластная, креновая и дифферентная системы 9 Специальные системы наливных и комбинированных судов и измерительных трубопроводов 10 Системы воздушных, переливных и измерительных трубопроводов 11 Газовыпускная система 12 Система вентиляции 13 Топливная система 14 Система смазочного масла 15 Система водяного охлаждения 16 Система сжатого воздуха 17 Система питательной воды 18 Паропроводы и трубопроводы продувания 19 Конденсационные установки 20 Системы с органическими теплоносителями 21 Испытания Часть IХ. Механизмы 1 Общие положения 2 Двигатели внутреннего сгорания 3 Паровые турбины 4 Передачи, разобщительные и упругие муфты 5 Вспомогательные механизмы 6 Палубные механизмы 7 Приводы гидравлические. 8 Газотурбинные двигатели 9 Двухтопливные двигатели внутреннего сгорания Часть Х. Котлы, теплообменные аппараты и сосуды под давлением 1 Общие положения 2 Расчеты на прочность 3 Котлы 4 Управление, регулирование, защита и сигнализация котлов 5 Топочные устройства котлов, работающих на жидком топливе 6 Теплообменные аппараты и сосуды под давлением 7 Характеристики прочности котельных сталей Часть ХI. Электрическое оборудование 1 Общие положения 2 Общие требования 3 Основной источник электрической энергии 4 Распределение электрической энергии 5 Электрические приводы судовых механизмов и устройств 6 Освещение 7 Внутренняя связь и сигнализация сточных вод 8 Защитные устройства 9 Аварийные электрические установки 10 Электрические машины 11 Трансформаторы 12 Силовые полупроводниковые устройства 13 Аккумуляторы 14 Электрические аппараты и установочная арматура 15 Электрические нагревательные и отопительные приборы 16 Кабели и провода 17 Гребные электрические установки 18 Дополнительные требования к электрическому оборудованию на напряжение выше 1000 В до 15 кВ 19 Требования к электрическому оборудованию, вытекающие из назначения судна 20 Требования к электрическому оборудованию холодильных установок 21 Запасные части Часть ХII. Холодильные установки 1 Общие положения 2 Общие технические требования 3 Помещения холодильных установок и охлаждаемые грузовые помещения 4 Механизмы 5 Теплообменные аппараты, сосуды под давлением и охлаждающие устройства 6 Арматура и трубопроводы 7 Контрольно-измерительные приборы. Управление, защита, регулирование и сигнализация 8 Изоляция 9 Холодильные установки, охлаждающие груз в термоизолированных контейнерах 10 Система регулирования состава газовой среды 11 Холодильные установки для охлаждения сжиженных газов 12 Испытания 13 Запасные части 14 Холодильные установки с абсорбционными бромистолитиевыми холодильными машинами Часть ХIII. Материалы 1 Общие положения 2 Методы испытаний 3 Сталь и чугун 4 Медь и сплавы на основе меди 5 Алюминиевые сплавы 6 Пластмассы и материалы органического происхождения 7 Якорные и швартовные цепи 8 Требования к изготовлению якорей 9 Титановые сплавы Часть ХIV. Сварка 1 Общие положения 2 Технологические требования к сварке 3 Контроль сварных соединений . 4 Сварочные материалы 5 Допуск сварщиков 6 Одобрение технологических процессов сварки стальных конструкций 7 Одобрение технологических процессов сварки алюминиевых сплавов Часть ХV. Автоматизация 1 Общие положения 2 Конструкция систем автоматизации, их элементов и устройств 3 Питание систем автоматизации 4 Суда со знаком автоматизации АUT1 в символе класса 5 Сода со знаком автоматизации АUT2 в символе класса 6 Сода со знаком автоматизации АUT3 в символе класса 7 Компьютеры и компьютерные системы 8 Системы динамического позиционирования 9 Системы якорного позиционирования Часть ХVI. Конструкция и прочность корпусов судов и шлюпок из стеклопластика 1 Общие положения 2 Корпус и надстройки судов 3 Усиления судов для плавания во льдах 4 Корпуса спасательных шлюпок Алфавитно-предметный указатель |
| Разработан: | Российский морской регистр судоходства |
| Утверждён: | 10.12.2012 Российский морской регистр судоходства |
| Издан: | Российский морской регистр судоходства (2013 г. ) |
| Нормативные ссылки: |
|














































































































































































































































































































































































































































































































































































































































































































































