Скачать Рекомендации по получению и применению суперпластификатора КМ-30 при производстве сборных железобетонных изделий и конструкций

Дата актуализации: 01.01.2021

Рекомендации по получению и применению суперпластификатора КМ-30 при производстве сборных железобетонных изделий и конструкций

Статус:не действует
Название рус.:Рекомендации по получению и применению суперпластификатора КМ-30 при производстве сборных железобетонных изделий и конструкций
Дата добавления в базу:01.09.2013
Дата актуализации:01.01.2021
Область применения:Документ имеет своей целью способствовать дальнейшей интенсификации железобетонных изделий и конструкций, улучшению их качества, снижению материало- и энергоемкости производства, снижению себестоимости и трудоемкости продукции, значительному улучшению условий труда. Документ предназначен для инженерно-технических работников предприятия стройиндустрии, научно-исследовательских и проектных организаций.
Оглавление:1. Основные положения
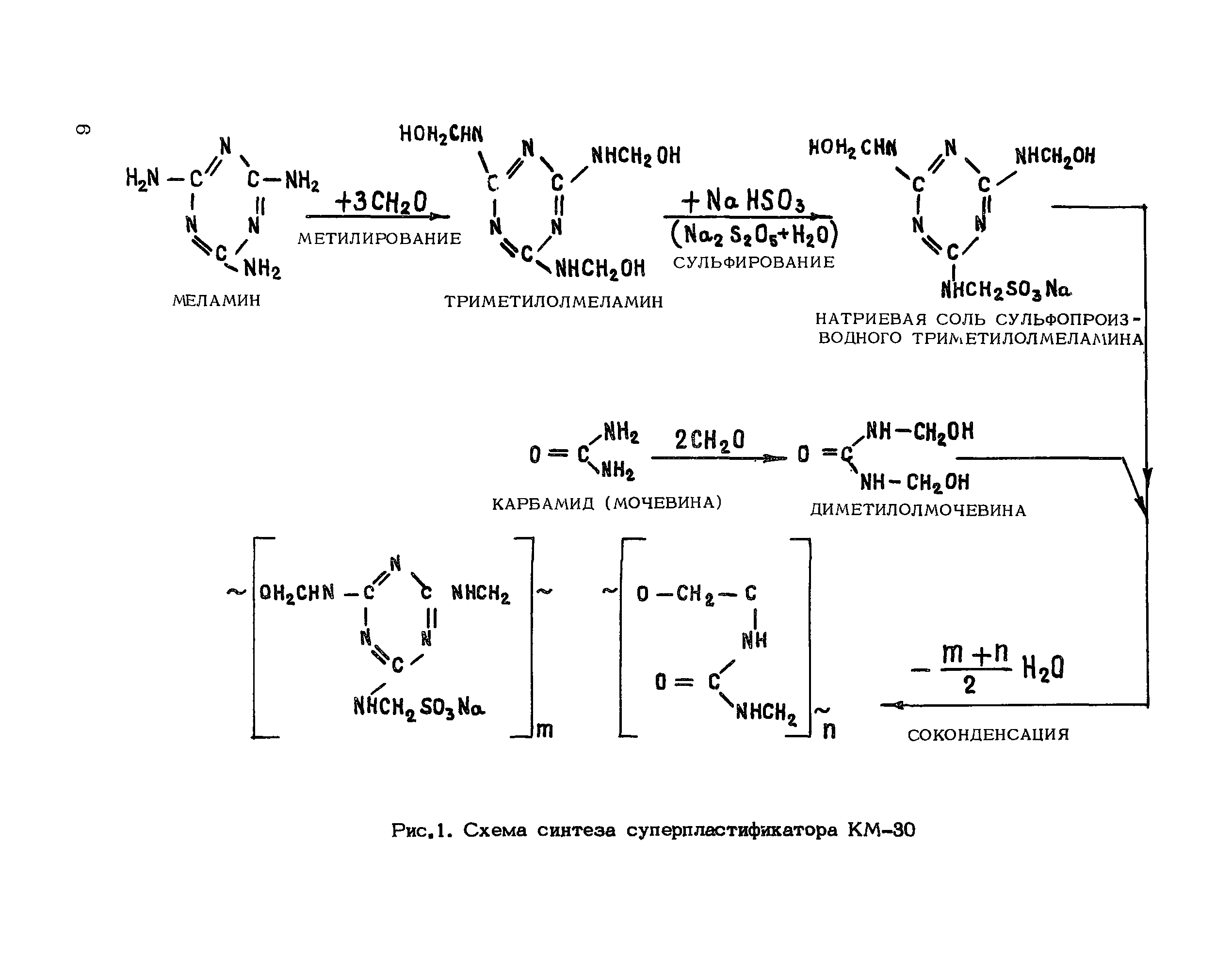
2. Получение суперпластификатора КМ-30
3. Техника безопасности и производственная санитария
4. Подбор состава тяжелого бетона с суперпластификатором КМ-30
5. Приготовление, транспортирование бетонных смесей. Формирование и тепловая обработка изделий
Приложение 1. Образец технического паспорта на суперпластификатор КМ-30
Приложение 2. Пример определения состава литого бетона марки М200 с добавкой КМ-30
Приложение 3. Карта пооперационного контроля
Разработан: ЦНИИЭП жилища
Утверждён:30.03.1987 ЦНИИЭП жилища (TsNIIEPzhilishcha 8)
Нормативные ссылки: