Скачать Руководство по проектированию одноэтажных и многоэтажных производственных зданий со стальным каркасом в сейсмических районахДата актуализации: 01.01.2021 |
| Статус: | действует |
| Название рус.: | Руководство по проектированию одноэтажных и многоэтажных производственных зданий со стальным каркасом в сейсмических районах |
| Дата добавления в базу: | 01.09.2013 |
| Дата актуализации: | 01.01.2021 |
| Область применения: | Документ распространяется на проектирование производственных зданий с числом этажей не более семи (при общей высоте зданий не более 35 м) со стальными и смешанными каркасами по обычным конструктивным схемам, применяемым в массовом промышленном строительстве. При проектировании зданий для сейсмических районов, как правило, должны применяться типовые конструкции, разработанные для этих районов. |
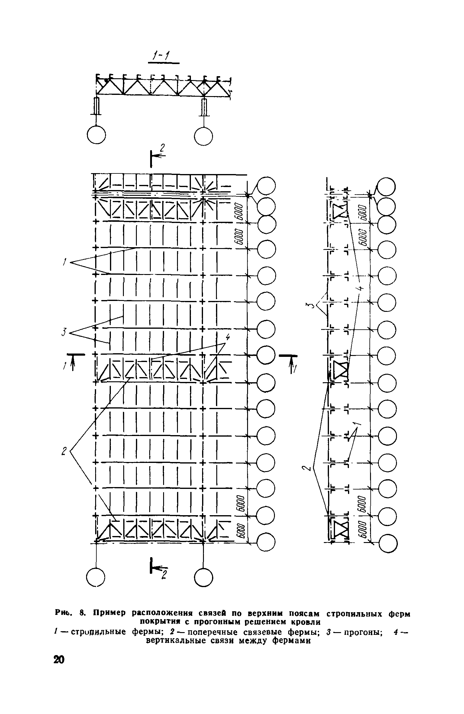
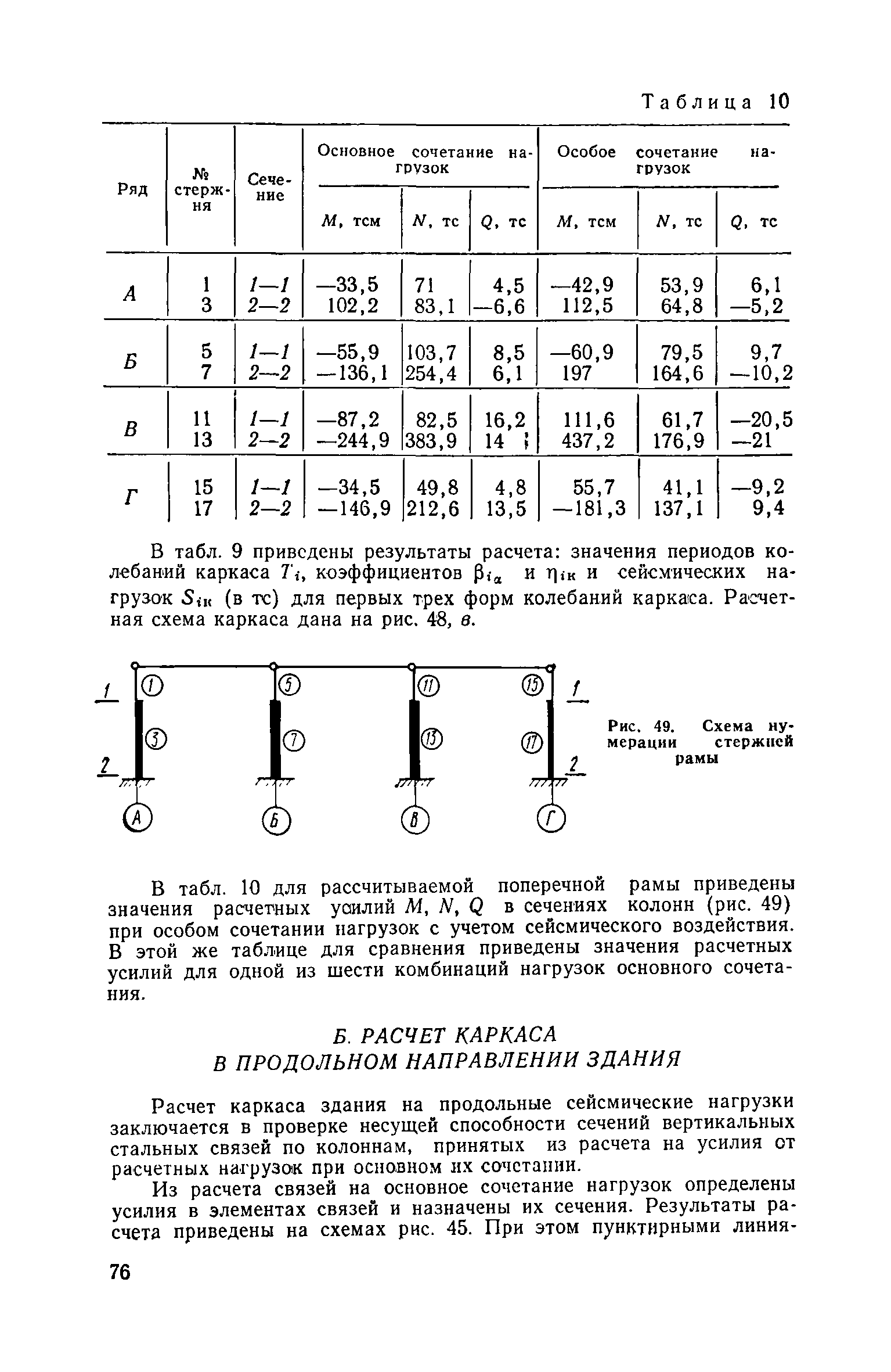
| Оглавление: | 1. Общие положения 2. Стальной каркас Каркас одноэтажного здания Каркас многоэтажного здания 3. Наружные стены Стены из бетонных панелей Металлические стены Приложение 1. Примеры расчета Пример 1. Определение сейсмических нагрузок, действующих на стальной каркас одноэтажного здания Пример 2. Расчет связей покрытия одноэтажного здания на сейсмические нагрузки Пример 3. Расчет стропильной фермы покрытия на особое сочетание нагрузок с учетом вертикальной сейсмической нагрузки Пример 4. Расчет узла сопряжения ригеля с колонной многоэтажного здания Приложение 2. Пример расчета вертикальных крестовых связей между колоннами с учетом развития в них пластических деформаций при сейсмическом воздействии |
| Разработан: | ЦНИИпромзданий ЦНИИпроектстальконструкция (Казахское отделение) Госстроя СССР |
| Утверждён: | ЦНИИпромзданий Госстроя СССР (TsNIIpromzdaniy, USSR Gosstroy ) |
| Издан: | Стройиздат (1977 г. ) |
| Нормативные ссылки: |
|












































































































