Скачать ГОСТ Р 54236-2010 Топливо твердое из бытовых отходов. Технические характеристики и классыДата актуализации: 01.01.2021
|
| Обозначение: | ГОСТ Р 54236-2010 |
| Обозначение англ: | GOST R 54236-2010 |
| Статус: | отменен |
| Название рус.: | Топливо твердое из бытовых отходов. Технические характеристики и классы |
| Название англ.: | Solid recovered fuels. Specifications and Classes |
| Дата добавления в базу: | 01.09.2013 |
| Дата актуализации: | 01.01.2021 |
| Дата введения: | 01.07.2012 |
| Дата окончания срока действия: | 01.01.2017 |
| Область применения: | Стандарт устанавливает систему классификации твердого топлива, производимого из неопасных бытовых отходов и нормативные формы для определения и описания его характеристик. |
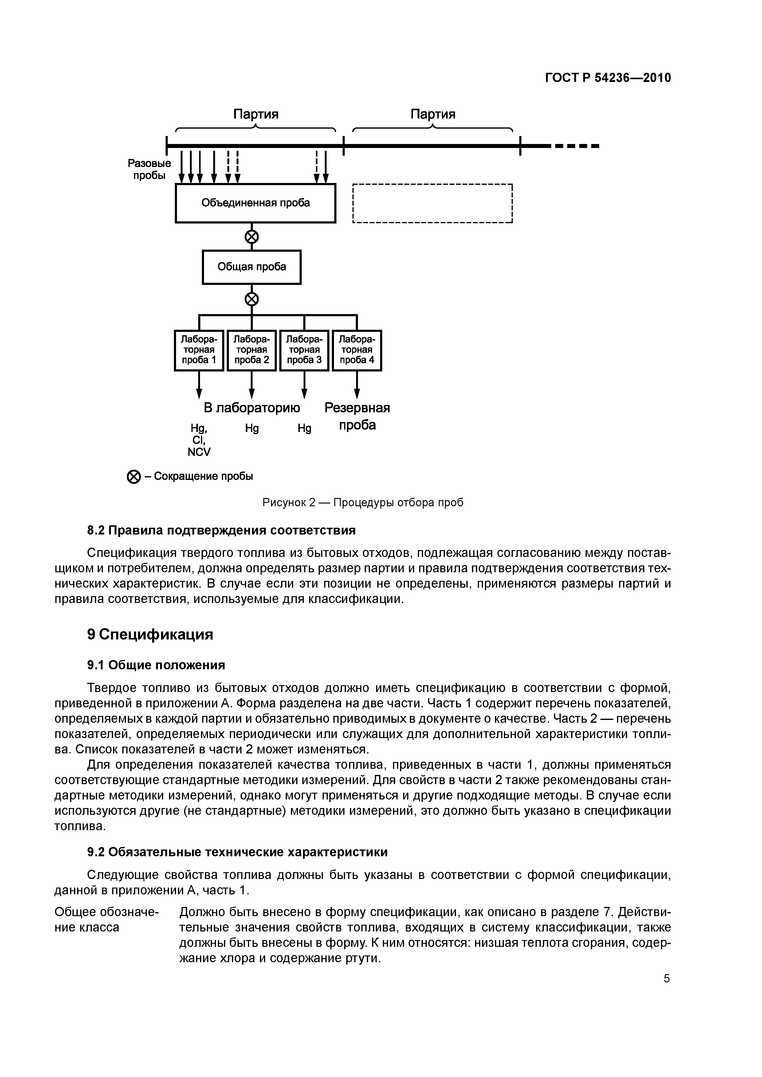
| Оглавление: | 1 Область применения 2 Нормативные ссылки 3 Термины и определения 4 Обозначения и сокращения 5 Принципы классификации 6 Технические характеристики и подтверждение соответствия 7 Классификация 8 Правила подтверждения соответствия 8.1 Правила подтверждения соответствия для классификации 8.2 Правила подтверждения соответствия 9 Спецификация 9.1 Общие положения 9.2 Обязательные технические характеристики 9.3 Свойства добровольные Приложение А (обязательное) Форма бланка спецификации топлива твердого из бытовых отходов Приложение В (справочное)Подготовка топлива Приложение С (справочное) Образец заполнения декларации о соответствии Библиография |
| Разработан: | ФГУП ВНИЦ СМВ |
| Утверждён: | 23.12.2010 Федеральное агентство по техническому регулированию и метрологии (1035-ст) |
| Издан: | Стандартинформ (2012 г. ) |
| Нормативные ссылки: |
|


















