Скачать ГОСТ Р 54227-2010 Топливо твердое из бытовых отходов. Методы отбора пробДата актуализации: 01.01.2021
|
| Обозначение: | ГОСТ Р 54227-2010 |
| Обозначение англ: | GOST R 54227-2010 |
| Статус: | отменен |
| Название рус.: | Топливо твердое из бытовых отходов. Методы отбора проб |
| Название англ.: | Solid recovered fuels. Methods for sampling |
| Дата добавления в базу: | 01.09.2013 |
| Дата актуализации: | 01.01.2021 |
| Дата введения: | 01.07.2012 |
| Дата окончания срока действия: | 01.01.2017 |
| Область применения: | Стандарт описывает методы отбора проб топлива твердого из бытовых отходов, например, на месте производства, из поставляемых партий или из складируемых запасов. Отбор может осуществляться как ручным способом, так и механическим. В стандарте не рассматривается отбор проб топлива из бытовых отходов, которое существует в виде жидкости или осадка, кроме топлива твердого из бытовых отходов в виде обезвоженного осадка. |
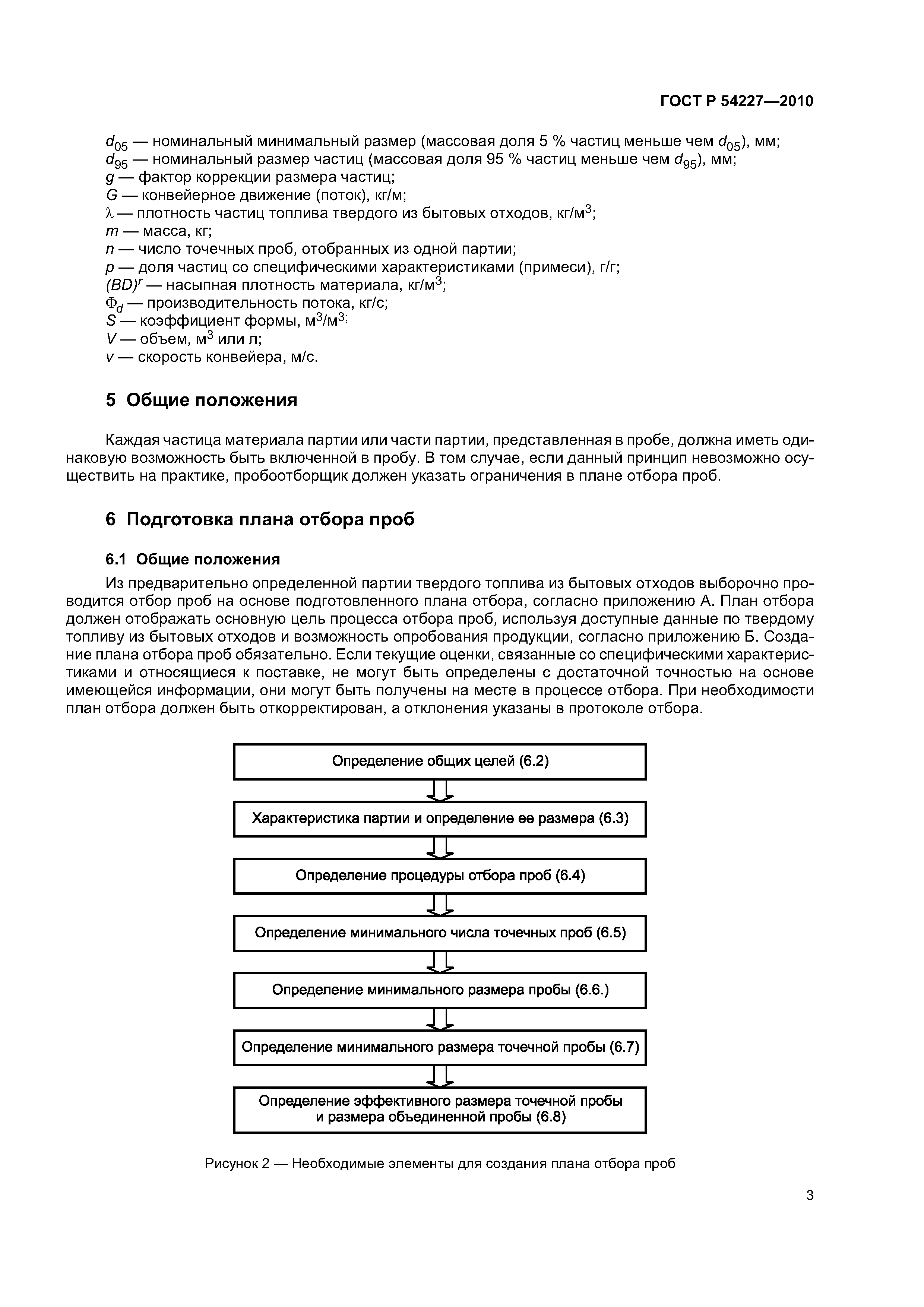
| Оглавление: | 1 Область применения 2 Нормативные ссылки 3 Термины и определения 4 Обозначения 5 Общие положения 6 Подготовка плана отбора проб 6.1 Общие положения 6.2 Пояснение общей цели 6.3 Характеристика партии и определение ее размера 6.4 Процедура отбора проб 6.5 Число точечных проб 6.6 Минимальный размер пробы 6.7 Минимальный размер точечной пробы 6.8 Эффективный размер точечной пробы и размер объединенной пробы 6.9 Отбор точечных проб 7 Осуществление плана отбора проб 7.1 Отбор проб из потока материала 7.2 Отбор проб из транспортного средства 7.3 Отбор проб из неподвижного материала 8 Обработка и хранение проб 9 Прецизионность Приложение А (обязательное) Пошаговая инструкция создания плана отбора проб Приложение Б (справочное) Руководство по составлению плана отбора проб Приложение В (обязательное) Оборудование для отбора проб Приложение Г (обязательное) Определение минимального размера пробы Приложение Д (обязательное) Определение минимального размера точечной пробы, отбираемой на перепаде потока Приложение Е (обязательное) Определение минимального размера точечной пробы, отбираемой от неподвижной партии или из транспортного средства Приложение Ж (обязательное) Осуществление отбора проб из потока материала Приложение И (обязательное) Осуществление отбора проб из штабеля или транспортного средства Приложение К (обязательное) Минимальный размер объединенной пробы, требуемой для анализа |
| Разработан: | ФГУП ВНИЦ СМВ |
| Утверждён: | 23.12.2010 Федеральное агентство по техническому регулированию и метрологии (1026-ст) |
| Издан: | Стандартинформ (2012 г. ) |
| Нормативные ссылки: |
|































