Скачать ГОСТ Р 54396-2011 Посуда хозяйственная из низкотемпературного фарфора (полуфарфоровая). Технические условия

Дата актуализации: 01.01.2021

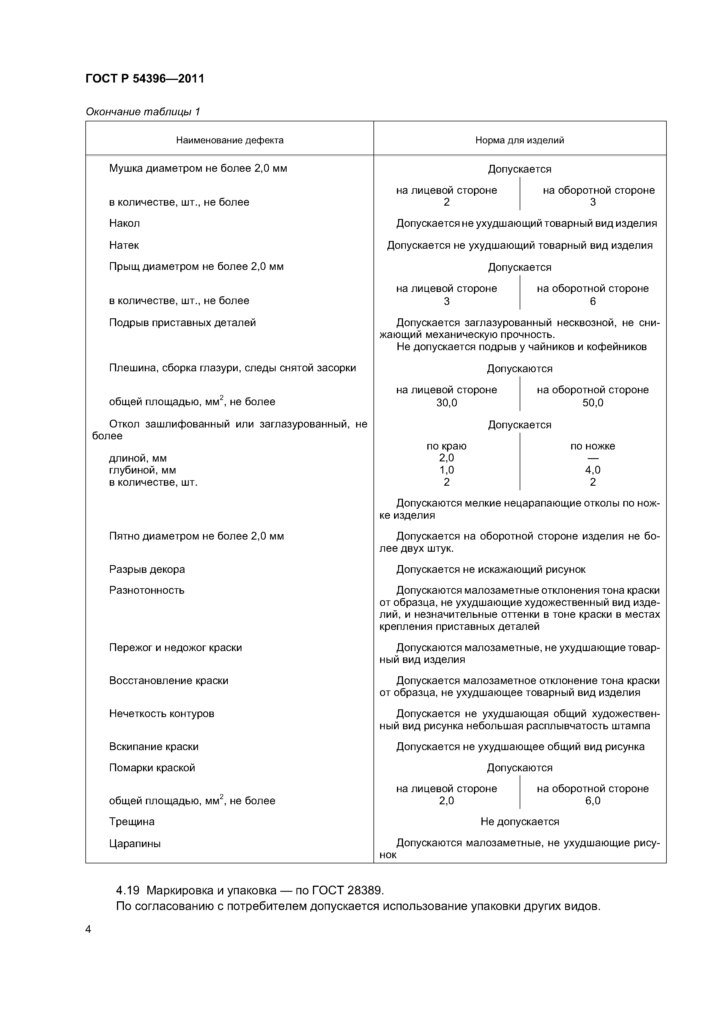
ГОСТ Р 54396-2011

Посуда хозяйственная из низкотемпературного фарфора (полуфарфоровая). Технические условия

Обозначение: ГОСТ Р 54396-2011
Обозначение англ: GOST R 54396-2011
Статус:введен впервые
Название рус.:Посуда хозяйственная из низкотемпературного фарфора (полуфарфоровая). Технические условия
Название англ.:Vitreous china ware. Specifications
Дата добавления в базу:01.09.2013
Дата актуализации:01.01.2021
Дата введения:01.01.2013
Область применения:Стандарт распространяется на посуду хозяйственную из низкотемпературного фарфора (полуфарфоровую) бытовую и для предприятий общественного питания.
Оглавление:1 Область применения
2 Нормативные ссылки
3 Термины и определения
4 Технические требования
5 Правила приемки
6 Методы контроля
7 Транспортирование и хранение
Разработан: Учреждение Сертификационный центр ФАРФОР
Утверждён:12.09.2011 Федеральное агентство по техническому регулированию и метрологии (277-ст)
Издан: Стандартинформ (2012 г. )
Нормативные ссылки:
ГОСТ Р 54396-2011ГОСТ Р 54396-2011ГОСТ Р 54396-2011ГОСТ Р 54396-2011ГОСТ Р 54396-2011ГОСТ Р 54396-2011ГОСТ Р 54396-2011ГОСТ Р 54396-2011ГОСТ Р 54396-2011ГОСТ Р 54396-2011ГОСТ Р 54396-2011