Скачать ГОСТ Р ИСО/ТС 10303-1306-2012 Системы автоматизации производства и их интеграция. Представление данных об изделии и обмен этими данными. Часть 1306. Прикладной модуль. Спецификация задания с ресурсами по прикладному протоколу ПП239Дата актуализации: 01.01.2021
|
| Обозначение: | ГОСТ Р ИСО/ТС 10303-1306-2012 |
| Обозначение англ: | GOST R ISO/TS 10303-1306-2012 |
| Статус: | введен впервые |
| Название рус.: | Системы автоматизации производства и их интеграция. Представление данных об изделии и обмен этими данными. Часть 1306. Прикладной модуль. Спецификация задания с ресурсами по прикладному протоколу ПП239 |
| Название англ.: | Industrial automation systems and integration. Product data representation and exchange. Part 1306. Application module. AP239 task specification resourced |
| Дата добавления в базу: | 01.10.2014 |
| Дата актуализации: | 01.01.2021 |
| Дата введения: | 01.05.2013 |
| Область применения: | Стандарт определяет прикладной модуль «Спецификация задания с ресурсами по прикладному протоколу ПП239». Требования стандарта распространяются на: - идентификацию ресурсов, необходимых для выполнения заданий; - идентификацию изделий, для которых назначены задания; - связь характеристик со спецификациями заданий; - связь дат, времени, людей, утверждений и другой управленческой информации со спецификациями заданий; - спецификацию условий, при которых задание должно выполняться; - связь обоснования и вероятности с назначением задания для изделия или назначением ресурсов для задания; - связь местоположения с заданием или ресурсом. Требования стандарта не распространяются на: - наряды на работу, заявки на проведение работ, подобные тем, которые используются при подготовке к выполнению работы; - схемы, планы и графики выполнения комплектов заданий. |
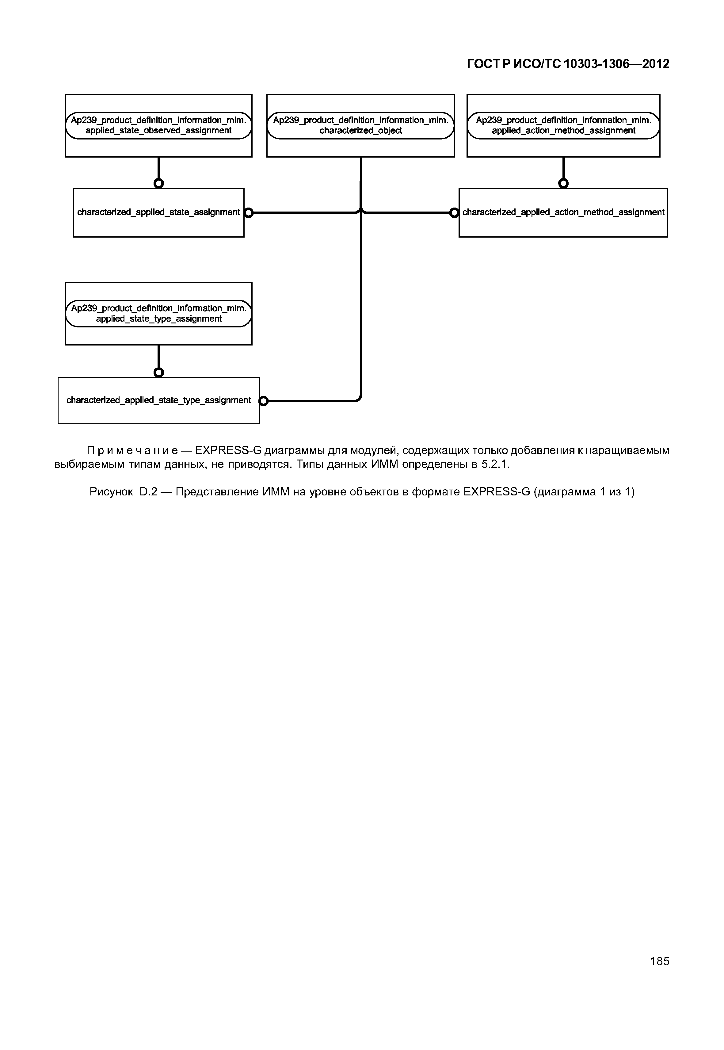
| Оглавление: | 1 Область применения 2 Нормативные ссылки 3 Термины и сокращения 4 Информационные требования 4.1 Необходимые ПЭМ прикладных модулей 4.2 Определение типов данных ПЭМ 4.2.1 Тип данных tsr_approval_item 4.2.2 Тип данных tsr_certification_item 4.2.3 Тип данных tsr_classification_item 4.2.4 Тип данных tsr_classified_attribute_select 4.2.5 Тип данных tsr_condition_item 4.2.6 Тип данных tsr_condition_parameter_item 4.2.7 Тип данных tsr_contract_item 4.2.8 Тип данных tsr_date_or_date_time_item 4.2.9 Тип данных tsr_documented_element_select 4.2.10 Тип данных tsr_effectivity_item 4.2.11 Тип данных tsr_identification_item 4.2.12 Тип данных tsr_information_usage_right_item 4.2.13 Тип данных tsr_Justification_item 4.2.14 Тип данных tsr_Justification_support_item 4.2.15 Тип данных tsr_location_assignment_select 4.2.16 Тип данных tsr_organization_person_item 4.2.17 Тип данных tsr_position_groupjtem 4.2.18 Тип данных tsr_position_item 4.2.19 Тип данных tsr_position_type_item 4.2.20 Тип данных tsr_process_property_item 4.2.21 Тип данных tsr_product_based_location_representation 4.2.22 Тип данных tsr_project_item 4.2.23 Тип данных tsr_property_item 4.2.24 Тип данных tsr_required_resource_item 4.2.25 Тип данных tsr_requirement_assignment_item 4.2.26 Тип данных tsr_requirement_source_item 4.2.27 Тип данных tsr_resource_assignment_item 4.2.28 Тип данных tsr_resource_item_select 4.2.29 Тип данных tsr_security_classification_item 4.2.30 Тип данных tsr_state_definition_of_item 4.2.31 Тип данных tsr_state_of_item 4.2.32 Тип данных tsr_string_select 4.2.33 Тип данных tsr_task_item 4.2.34 Тип данных tsr_type_of_person_item_select 4.2.35 Тип данных tsr_work_item 4.2.36 Тип данных tsr_work_output_item 5 Интерпретированная модель модуля 5.1 Спецификация отображения 5.1.1 Объект Act ivity_property 5.1.2 Объект Applied_activity_method_assignment 5.1.3 Объект Applied_information_usage_right 5.1.4 Объект Applied_state_assignment 5.1.5 Объект Applied_state_definition_assignment 5.1.6 Объект Applied_state_assignment 5.1.7 Объект Approval_assignment 5.1.8 Объект Assigned_property 5.1.9 Объект Attribute_classification 5.1.10 Объект Attribute_translation_assignment 5.1.11 Объект Certification_assignment 5.1.12 Объект Classification_assignment 5.1.13 Объект Condition_assignment 5.1.14 Объект Condition_parameter 5.1.15 Объект Contract_assignment 5.1.16 Объект Date_or_date_time_assignment 5.1.17 Объект Document_assignment 5.1.18 Объект Effectivity_assignment 5.1.19 Объект ldentification_assignment 5.1.20 Объект Justification_assignment 5.1.21 Объект Justification_support_assignment 5.1.22 Объект Justification_support_assignment 5.1.23 Объект Language_indication 5.1.24 Объект Location_assignment 5.1.25 Объект Managedresourcebyreference 5.1.26 Объект Organization_or_person_in_organization_assignment 5.1.27 Объект Position_assignment 5.1.28 Объект Position_type_assignment 5.1.29 Объект Position_group_assignment 5.1.30 Объект Product_based_location_identification 5.1.31 Объект Project_assignment 5.1.32 Объект Requirement_source 5.1.33 Объект Required_resource_assignment 5.1.34 Объект Required_resource_by_reference 5.1.35 Объект Requirement_assignment 5.1.36 Объект Resource_as_realized_by_reference 5.1.37 Объект Resource_item_realization 5.1.38 Объект Resource_item_assignment 5.1.39 Объект Security_classification_assignment 5.1.40 Объект Task_element_assignment 5.1.41 Объект Task_method_assignment 5.1.42 Объект Task_method_version_assignment 5.1.43 Объект Type_of_person_assignment 5.1.44 Объект Work_output 5.1.45 Объект Work_output_assignment 5.2 Сокращенный листинг ИММ на языке EXPRESS 5.2.1 Определение типов данных ИММ 5.2.2 Определение объектов ИММ Приложение А (обязательное) Сокращенные наименования объектов ИММ Приложение В (обязательное) Регистрация информационных объектов Приложение С (справочное) EXPRESS-G диаграмма ПЭМ Приложение D (справочное) EXPRESS-G диаграммы ИММ Приложение Е (справочное) Машинно-интерпретируемые листинги Приложение F (справочное) История изменений Приложение ДА (справочное) Сведения о соответствии ссылочных международных стандартов и документов национальным стандартам Российской Федерации Библиография |
| Разработан: | ГНУ Центральный научно-исследовательский и опытно-конструкторский институт робототехники и технической кибернетики |
| Утверждён: | 17.09.2012 Федеральное агентство по техническому регулированию и метрологии (326-ст) |
| Издан: | Стандартинформ (2013 г. ) |
| Нормативные ссылки: |
|





































































































































































































