Скачать ГОСТ Р ИСО 13584-25-2010 Системы промышленной автоматизации и интеграция. Библиотека деталей. Часть 25. Логический ресурс. Логическая модель библиотеки поставщика с агрегированными значениями и подробным содержаниемДата актуализации: 01.01.2021
|
| Обозначение: | ГОСТ Р ИСО 13584-25-2010 |
| Обозначение англ: | GOST R ISO 13584-25-2010 |
| Статус: | введен впервые |
| Название рус.: | Системы промышленной автоматизации и интеграция. Библиотека деталей. Часть 25. Логический ресурс. Логическая модель библиотеки поставщика с агрегированными значениями и подробным содержанием |
| Название англ.: | Industrial automation systems and integration. Parts library. Part 25. Logical resource. Logical model of supplier library with aggregate values and explicit content |
| Дата добавления в базу: | 01.10.2014 |
| Дата актуализации: | 01.01.2021 |
| Дата введения: | 01.09.2011 |
| Область применения: | Стандарт распространяется на конструкции ресурсов на языке EXPRESS общего вида, предназначенные для описания агрегированных типов данных и значений, которые входят в библиотеки поставщика. Кроме этого в стандарте приведена интегрированная информационная модель на языке EXPRESS для представления библиотек поставщика с целью обмена данными. Эта интегрированная модель объединяет в единую схему упомянутые выше конструкции ресурсов и другие конструкции ресурсов EXPRESS, описанные в других стандартах комплексов ИСО 13584 и ИСО 10303. Библиотеки поставщика состоят из определений и представлений семейств деталей, а также определений новых категорий представлений. Библиотеки поставщика должны включать в себя только элементы словарей с агрегированными типами данных либо без них и содержать дополнительные спецификации наборов допустимых экземпляров. Настоящий стандарт распространяется на: - конструкции ресурсов общего вида для представления агрегированных типов данных. Типы и значения агрегированных данных моделируются в соответствии с определением агрегированных типов данных языка EXPRESS согласно ИСО 10303-11; - конструкции ресурсов общего вида для представления агрегированных значений; - конструкции ресурсов общего вида для представления деталей, которые могут содержать неограниченное число сборочных компонентов; - интегрированную информационную модель библиотеки, предназначенную для моделирования и обмена библиотеками поставщика и содержащую свойства, значения которых могут иметь агрегированную структуру, а описания возможных расширений классов этих свойств приведены в виде наборов экземпляров. Настоящий стандарт не распространяется на: - представление выражений и переменных; - описание набора допустимых экземпляров класса путем указания ограничений; - спецификацию системы программного обеспечения, обеспечивающей управление библиотеками поставщика, представление которых соответствует информационным моделям, определенным в настоящем стандарте. |
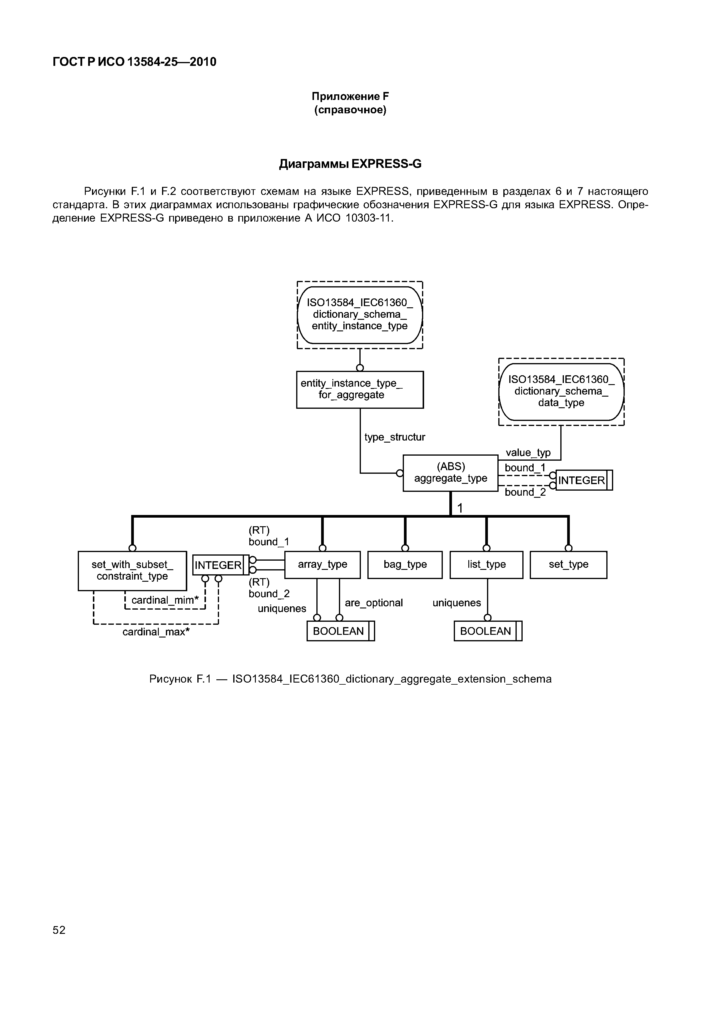
| Оглавление: | 1 Область применения 2 Нормативные ссылки 3 Термины, определения и сокращения 4 Структура 4.1 Ресурсы общего вида 4.2 Интегрированная модель библиотеки 5 Основные понятия и предложения 5.1 Агрегированное значение свойств 5.2 Описание расширения класса 6 Схема ISO13584_IEC61360_dictionary_aggregate_extension_schema 6.1 ISO13584_IEC61360_dictionary_aggregate_extension_schema: введение 6.2 ISO13584_IEC61360_dictionary_aggregate_extension_schema: определение объектов 7 Схема ISO13584_aggregate_value_schema 7.1 ISO13584_aggregate_value_schema: введение 7.2 ISO13584_aggregate_value_schema: определение объектов 7.3 ISO13584_aggregate_value_schema: определение правил 7.4 ISO13584_aggregate_value_schema: определение функций 8 Интегрированная информационная модель библиотеки LIIM 25 8.1 ISO13584_25_IEC61360_5liim_schema: краткий листинг 8.2 Требования к классам соответствия Приложение А (обязательное) Сокращенные наименования сущностей, приведенных в настоящем стандарте Приложение В (обязательное) Регистрация информационных объектов Приложение С (справочное) Расширенный листинг схемы ISO13584_25_IEC61360_5_library_implicit_schema Приложение D (обязательное) Требования к стандартным данным интегрированной информационной модели библиотеки LIIM 25 Приложение E (обязательное) Требования к методам реализации интегрированной информационной модели библиотеки LIIM25 Приложение F (справочное) Диаграммы EXPRESS-G Приложение G (справочное) Примеры файлов интегрированной информационной модели библиотеки LIIM 25 с комментариями. Обмен общими моделями явного вида Приложение Н (справочное ) Примеры файлов интегрированной информационной модели библиотеки LIIM 25 с комментариями. Обмен функциональными моделями явного вида, соответствующими ИСО 13584-101 Приложение ДА (справочное) Сведения о соответствии ссылочных международных стандартов ссылочным национальным стандартам Российской Федерации |
| Разработан: | НТЦ ИНТЕК |
| Утверждён: | 21.12.2010 Федеральное агентство по техническому регулированию и метрологии (875-ст) |
| Издан: | Стандартинформ (2014 г. ) |
| Нормативные ссылки: |
|













































































