Скачать Рекомендации по усовершенствованию инженерно-геологических изысканий для промышленного и гражданского строительства в связи с охраной и улучшением геологической средыДата актуализации: 01.01.2021 |
| Статус: | справочные материалы, мп, тпр |
| Название рус.: | Рекомендации по усовершенствованию инженерно-геологических изысканий для промышленного и гражданского строительства в связи с охраной и улучшением геологической среды |
| Дата добавления в базу: | 01.10.2014 |
| Дата актуализации: | 01.01.2021 |
| Область применения: | Рассмотрены дополнительные требования к службе инженерно-геологических изысканий, определяющие содержание и состав их на трех стадиях проектирования раздельно для освоенных и неосвоенных территорий. Рекомендованы только те виды дополнительных исследований, которые обусловлены гражданским и промышленным строительством. Предлагаемая дополнительная информация будет достаточной для прогнозов антропогенного изменения основных компонентов геологической среды. Для использования в службе инженерных изысканий. |
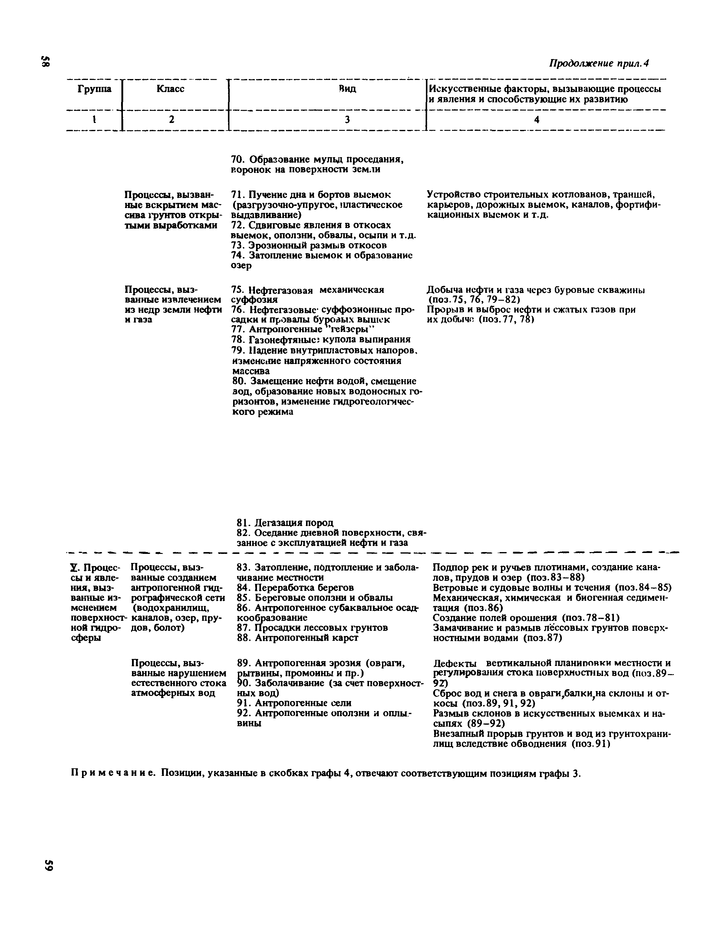
| Оглавление: | Введение 1. Общие положения 2. Инженерно-геологические изыскания Вводные положения Изыскания на неосвоенных территориях Инженерно-геологические изыскания для технико-экономического обоснования генсхемы расселения и проекта районной планировки Стационарные инженерно-геологические наблюдения Инженерно -геологические рекомендации по рациональной планировке застраиваемых территорий в аспекте эффективного использования геологической среды Инженерно-геологические изыскания дня обоснования генерального плана города и разработки плана детальной планировки и первоочередной застройки Инженерно-геологические изыскания для обоснования технического проекта и рабочих чертежей Изыскания на освоенных территориях Инженерно-геологические изыскания дня технико-экономического обоснования плана застройки отдельных микрорайонов Инженерно-геологические изыскания дня обоснования технического проекта Инженерно-геологические изыскания дня обоснования рабочих чертежей 3. Природозащитные мероприятия Основные принципы применения природозащитных мероприятий Борьба с неблагоприятными геологическими процессами и явлениями Геотермические процессы и явления Процессы и явления, вызванные понижением уровня подземных вод и осушением грунтов Процессы и явления, вызванные повышением уровня подземных вод, обводнением и увлажнением грунтов Водопонижение и осушение грунтов Процессы и явления, вызванные изменением поверхностной гидросферы Процессы и явления, вызванные статическими и динамическими нагрузками Субтерральные геологические процессы и явления, вызванные подземными выработками Предупреждение оползней и оплывин и борьба с ними Борьба с обвалами, осыпями и селями Приложение 1. Антропогенные изменения современного рельефа, вызванные промышленным и гражданским строительством Приложение 2. Изменение состава, структуры и свойств грунтов под влиянием промышленного и гражданского строительства Приложение 3. Виды и последствия антропогенных изменений гидрогеологических условий Приложение 4. Классификация антропогенных геологических процессов и явлений Литература |
| Разработан: | ПНИИИС Госстроя СССР (PNIIS, Gosstroy (USSR) ) |
| Утверждён: | ПНИИИС Госстроя СССР (PNIIIS, USSR Gosstroy ) |
| Издан: | Стройиздат (1981 г. ) |
| Нормативные ссылки: |
|

























































