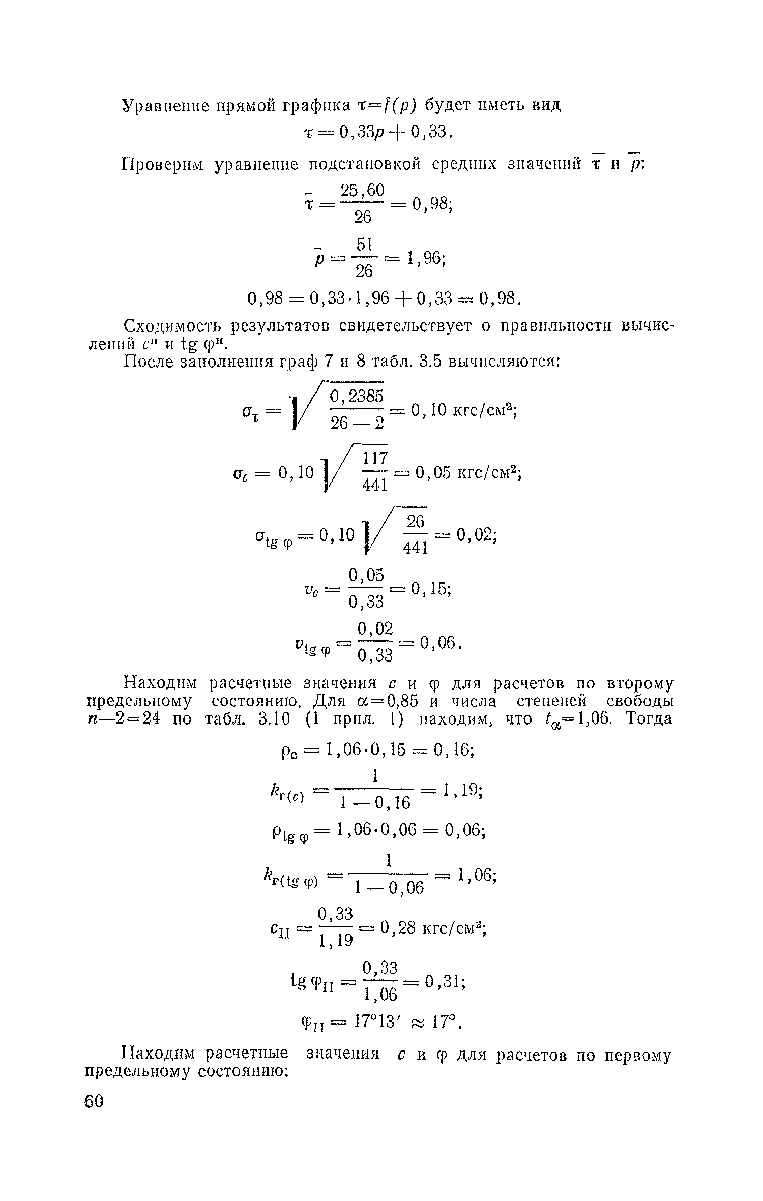
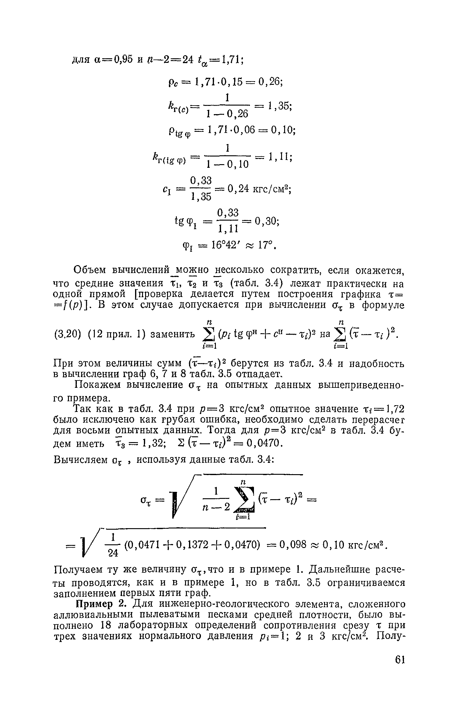
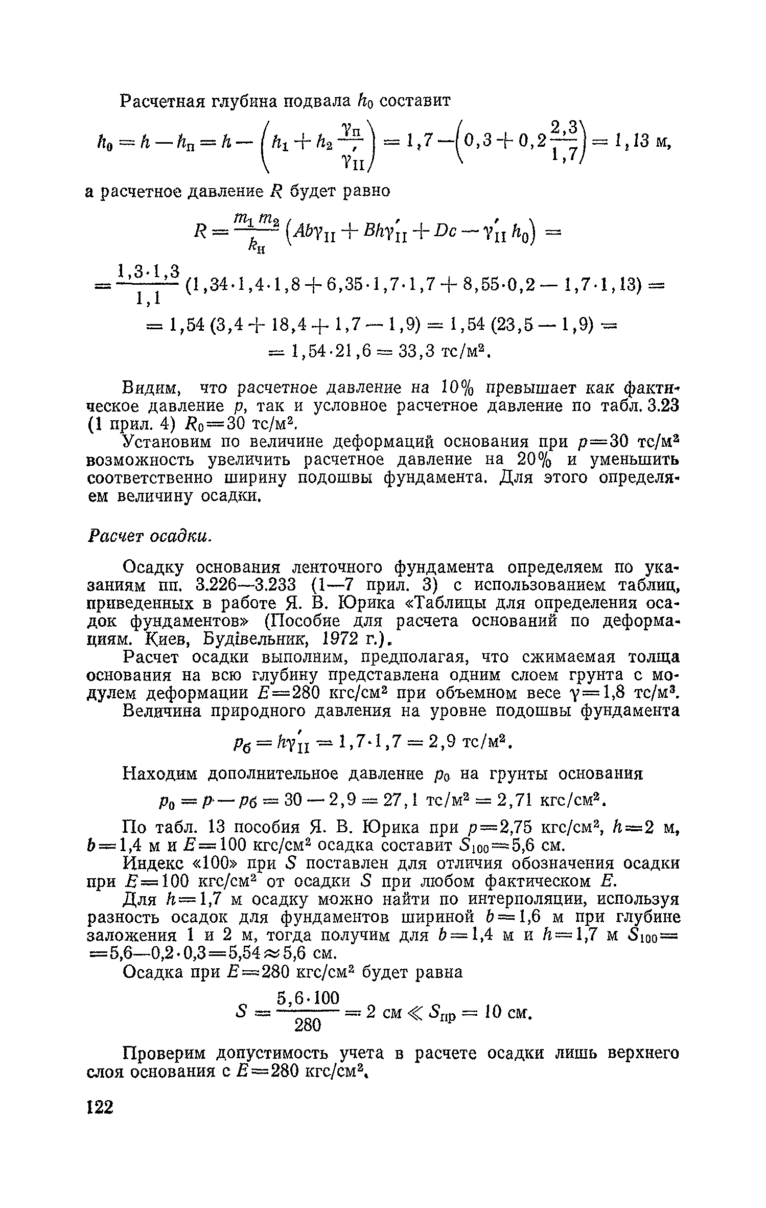
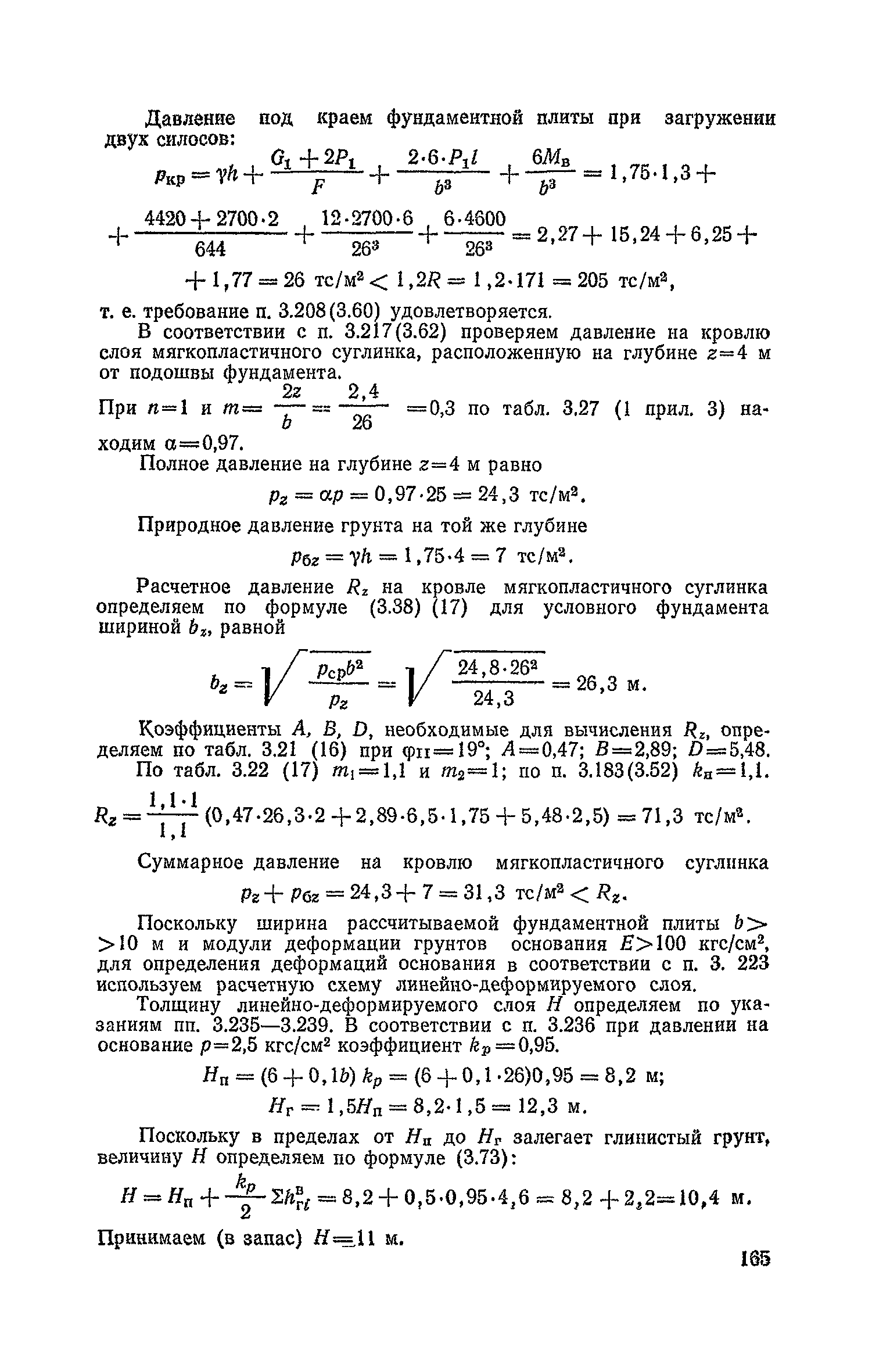
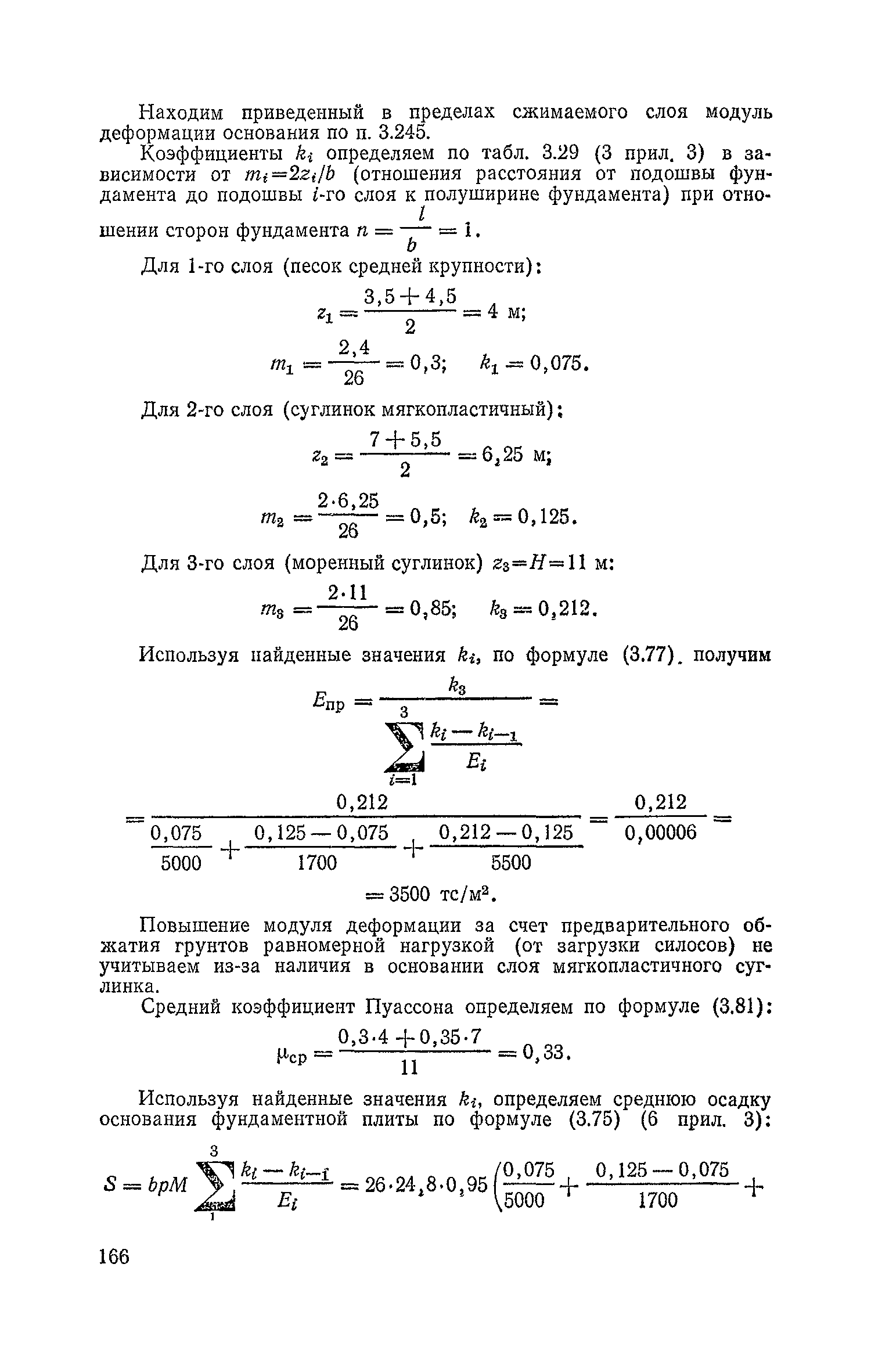
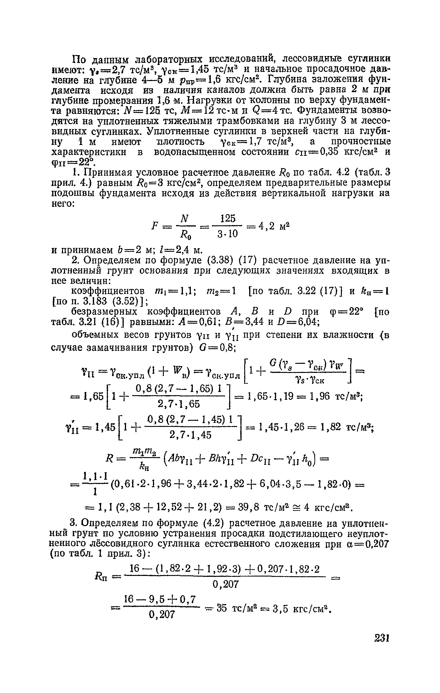
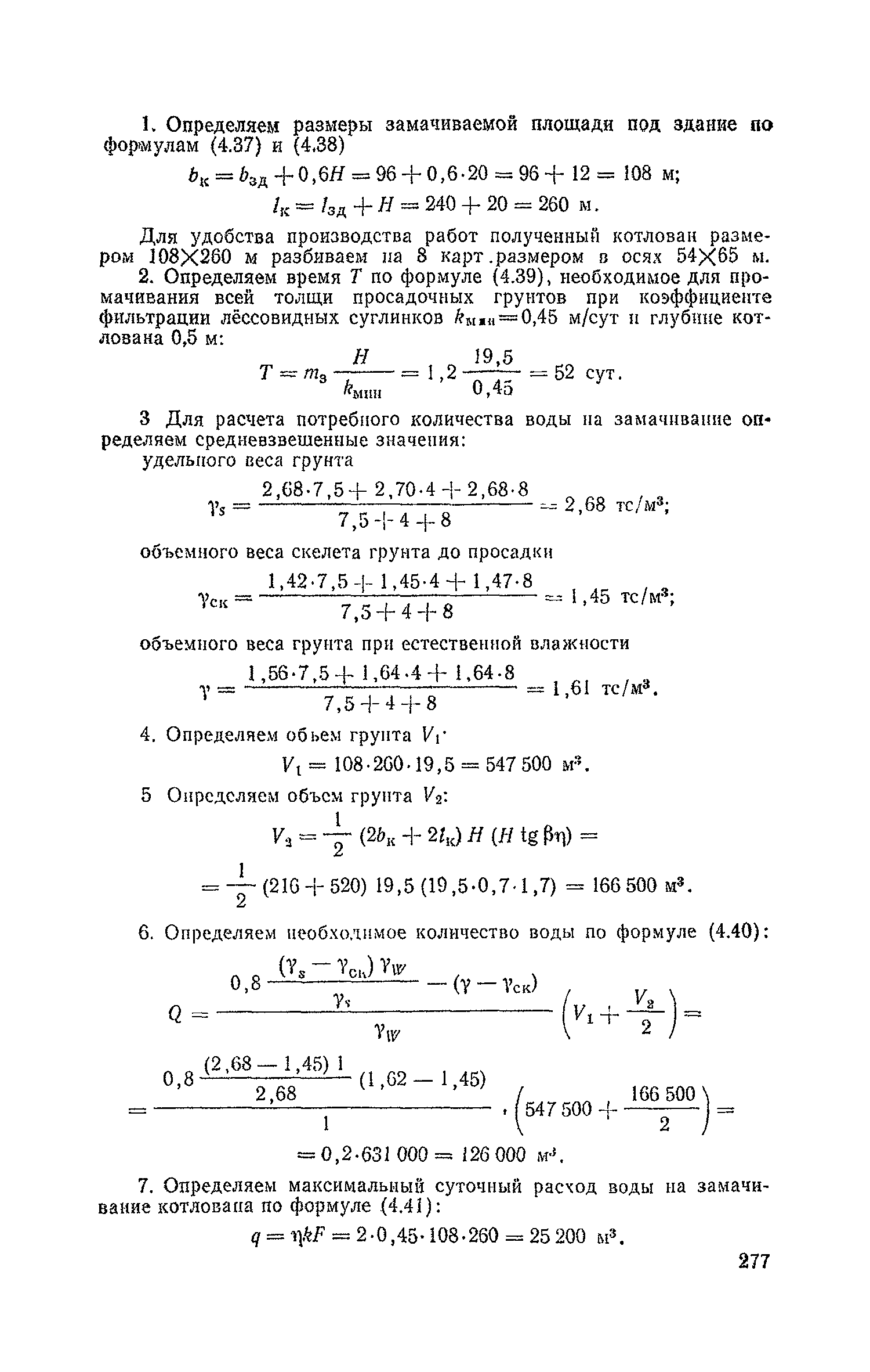
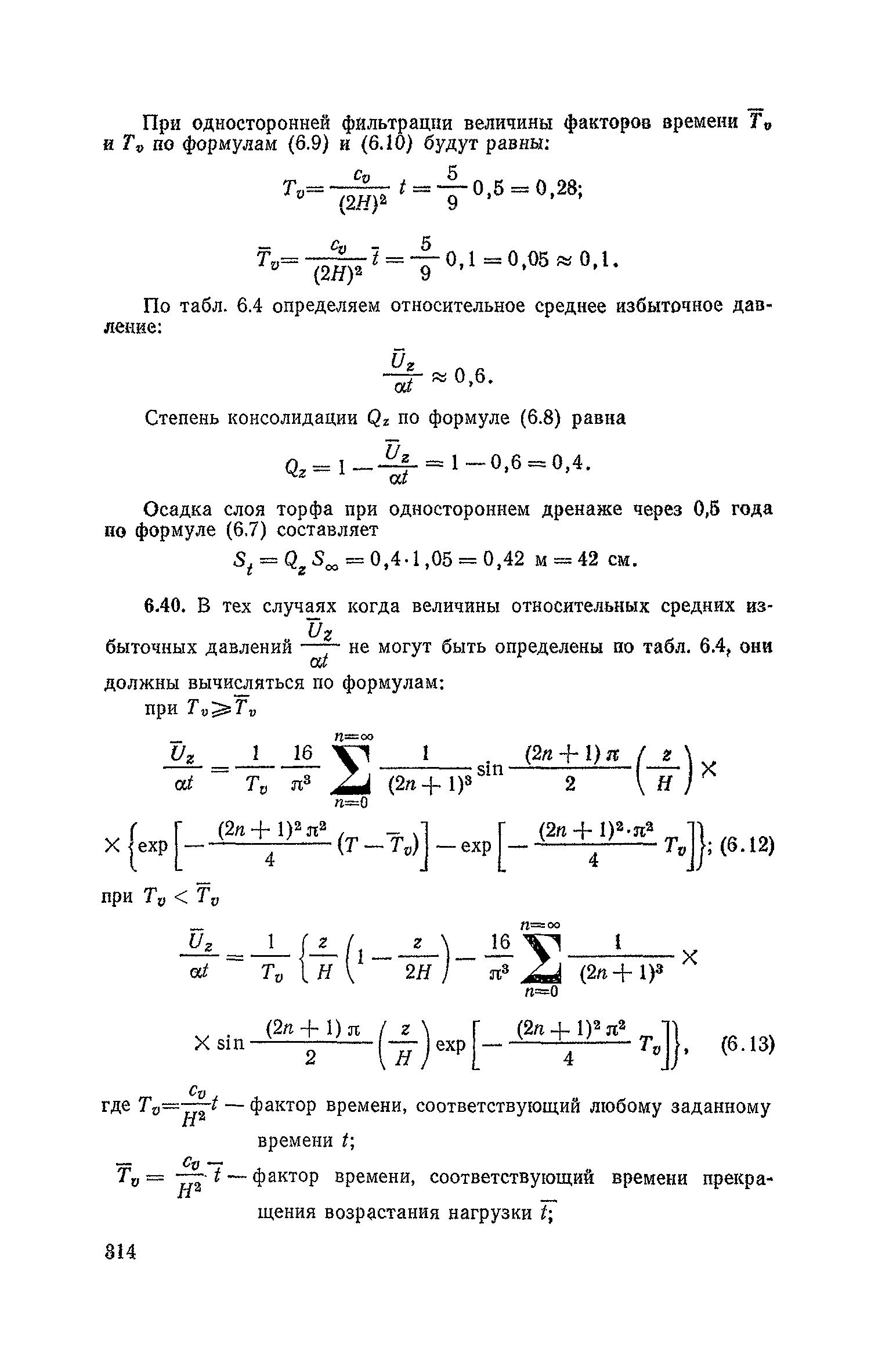
Скачать Руководство по проектированию оснований зданий и сооруженийДата актуализации: 01.01.2021 |
| Статус: | не действует |
| Название рус.: | Руководство по проектированию оснований зданий и сооружений |
| Дата добавления в базу: | 01.09.2013 |
| Дата актуализации: | 01.01.2021 |
| Дата окончания срока действия: | 01.01.1985 |
| Область применения: | Руководство предназначено для использования в проектных и изыскательских организациях, обслуживающих строительство промышленных, жилых и общественных зданий и сооружений |
| Оглавление: | Предисловие Раздел 1. Общие положения Раздел 2. Номенклатура грунтов оснований Раздел 3. Проектирование оснований Раздел 4. Особенности проектирования оснований зданий и сооружений, возводимых на просадочных грунтах Раздел 5. Особенности проектирования оснований зданий и сооружений, возводимых на набухающих грунтах Раздел 6. Особенности проектирования оснований зданий и сооружений, возводимых на водоначыщенных заторфованных грунтах Раздел 7. Особенности проектирования оснований зданий и сооружений, возводимых на илах Раздел 8. Особенности проектирования оснований зданий и сооружений, возводимых на элювиальных грунтах Раздел 9. Особенности проектирования оснований зданий и сооружений, возводимых на засоленных грунтах Раздел 10. Особенности проектирования оснований зданий и сооружений, возводимых на насыпных грунтах Раздел 11. Особенности проектирования оснований и фундаментов зданий и сооружений, возводимых на подрабатываемых территориях Раздел 12. Особенности проектирования оснований зданий и сооружений, возводимых в сейсмических районах |
| Разработан: | НИИОСП им. Герсеванова Госстроя России |
| Утверждён: | НИИОСП им. Н.М. Герсеванова Госстроя СССР (Gersevanov NIIOSP, USSR Gosstroy ) |
| Издан: | Стройиздат (1978 г. ) |
| Нормативные ссылки: |
|























































































































































































































































































































































































