Скачать ГОСТ Р ИСО/ТС 10303-1176-2012 Системы автоматизации производства и их интеграция. Представление данных об изделии и обмен этими данными. Часть 1176. Прикладной модуль. Отдельное действиеДата актуализации: 01.01.2021
|
| Обозначение: | ГОСТ Р ИСО/ТС 10303-1176-2012 |
| Обозначение англ: | GOST R ISO/TS 10303-1176-2012 |
| Статус: | введен впервые |
| Название рус.: | Системы автоматизации производства и их интеграция. Представление данных об изделии и обмен этими данными. Часть 1176. Прикладной модуль. Отдельное действие |
| Название англ.: | Industrial automation systems and integration. Product data representation and exchange. Part 1176. Application module. Individual activity |
| Дата добавления в базу: | 01.10.2014 |
| Дата актуализации: | 01.01.2021 |
| Дата введения: | 01.07.2013 |
| Область применения: | Стандарт определяет прикладной модуль «Отдельное действие». Требования стандарта распространяются на отдельное действие. Требования стандарта не распространяются на: - класс действия; - принадлежность к классу действия; - взаимосвязи между отдельными действиями; - участие объектов в отдельном действии. |
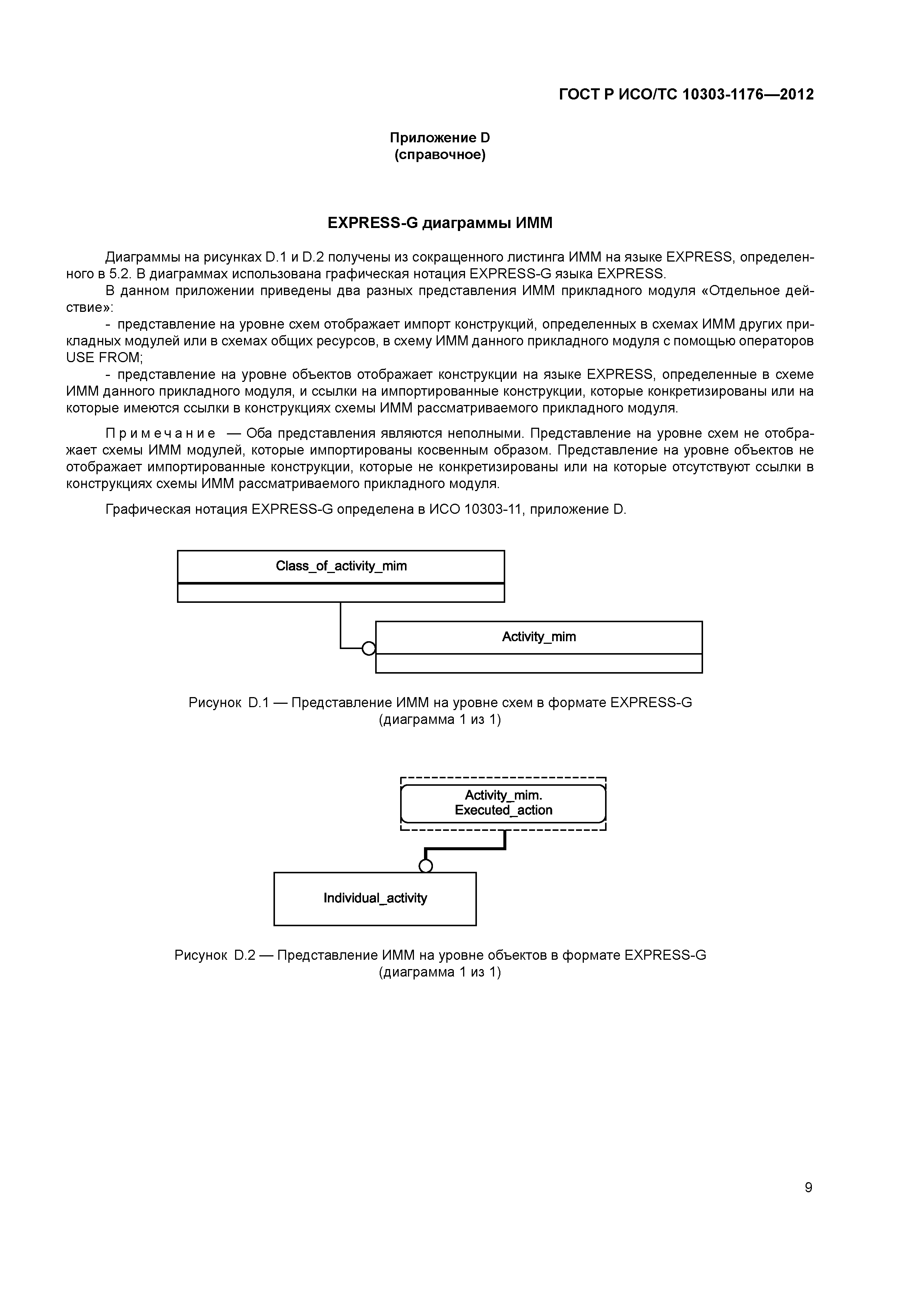
| Оглавление: | 1 Область применения 2 Нормативные ссылки 3 Термины и сокращения 4 Информационные требования 4.1 Необходимые ПЭМ прикладных модулей 4.2 Определение объекта ПЭМ 4.2.1 Объект individual_activity 5 Интерпретированная модель модуля 5.1 Спецификация отображения 5.1.1 Объект individual_activity 5.2 Сокращенный листинг ИММ на языке EXPRESS 5.2.1 Определение объекта ИММ Приложение A (обязательное) Сокращенное наименование объекта ИММ Приложение B (обязательное) Регистрация информационных объектов Приложение C (справочное) EXPRESS-G диаграммы ПЭМ Приложение D (справочное) EXPRESS-G диаграммы ИММ Приложение E (справочное) Машинно-интерпретируемые листинги Приложение ДА (справочное) Сведения о соответствии ссылочных международных стандартов и документов национальным стандартам Библиография |
| Разработан: | Федеральное государственное автономное научное учреждение Центральный научно-исследовательский и опытно-конструкторский институт робототехники и технической кибернетики |
| Утверждён: | 29.10.2012 Федеральное агентство по техническому регулированию и метрологии (576-ст) |
| Издан: | Стандартинформ (2013 г. ) Стандартинформ (2019 г. ) |
| Нормативные ссылки: |
|















