Скачать Сборник норм времени на техническое диагностирование станков-качалок типа СК, СКД и насосов типа ЦНС

Дата актуализации: 01.01.2021

Сборник норм времени на техническое диагностирование станков-качалок типа СК, СКД и насосов типа ЦНС

Статус:действует
Название рус.:Сборник норм времени на техническое диагностирование станков-качалок типа СК, СКД и насосов типа ЦНС
Дата добавления в базу:01.10.2014
Дата актуализации:01.01.2021
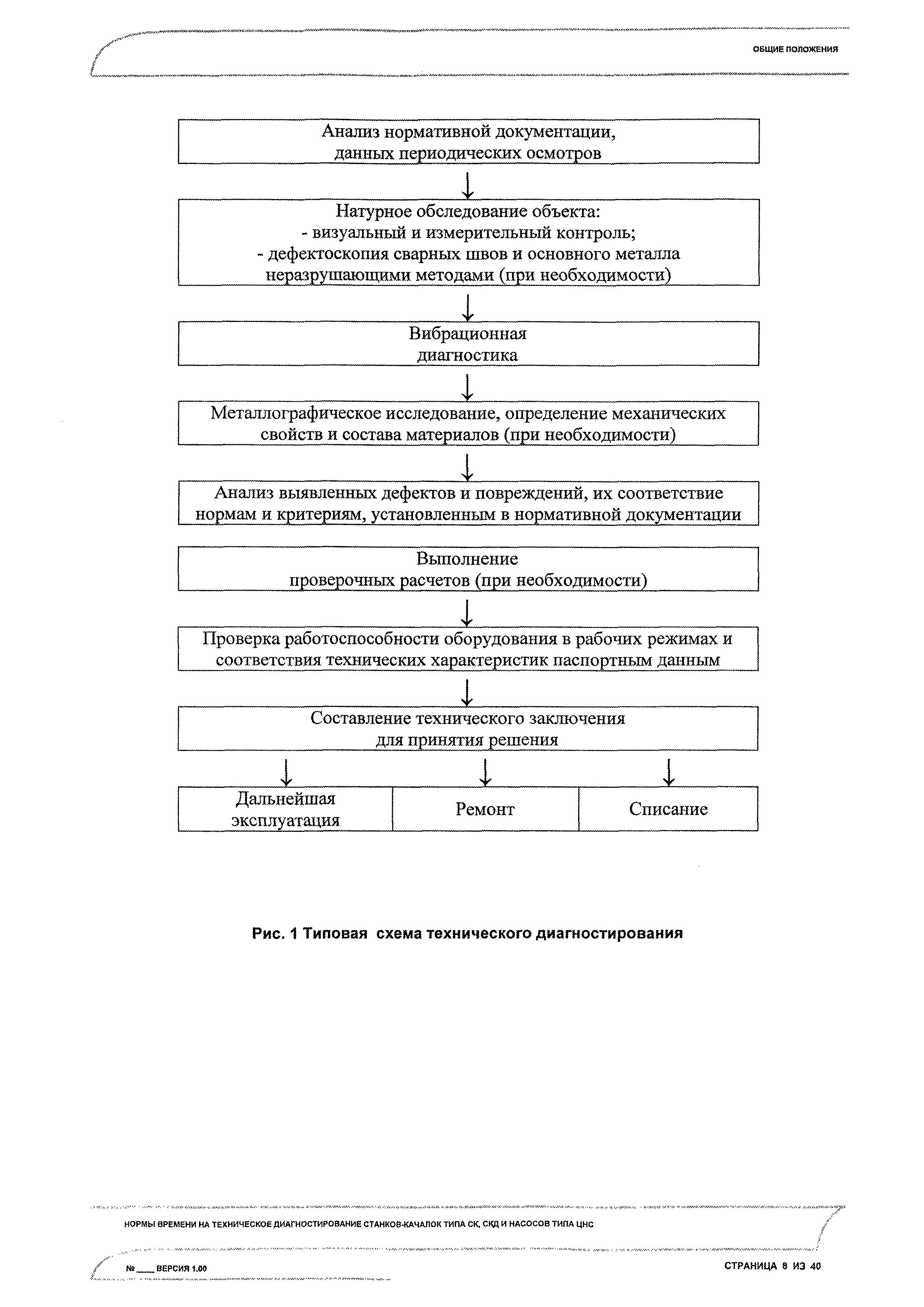
Область применения:Документ устанавливает регламентированное время на проведение работ по техническому диагностированию станков-качалок типа СК, СКД и насосов типа ЦНС, эксплуатируемых на нефтегазодобывающих предприятиях
Оглавление:Вводные положения
   Введение
   Цели
   Задачи
   Область действия
1 Термины и определения
2 Общие положения
3 Расчет норм времени на выполнение работ и организационно-технические условия при техническом диагностировании оборудования
4 Комплекс работ, перечень применяемого оборудования при техническом диагностировании оборудования
5 Нормативно-техническая документация, использованная при разработке сборника норм времени
Регистрация изменений сборника норм времени
Приложение 1 (рекомендуемое). Нормы времени на визуальный и измерительный контроль
Приложение 2 (рекомендуемое). Нормы времени на неразрушающие методы контроля
Приложение 3 (рекомендуемое). Нормы времени на разрушающие методы контроля
Приложение 4 (рекомендуемое). Нормы времени на вибрационную диагностику
Приложение 5 (рекомендуемое). Нормы времени на камеральные работы
Приложение 6 (рекомендуемое). Нормы времени на вспомогательные работы
Разработан: ООО СПКТБ НЕФТЕГАЗМАШ
Утверждён: ООО СПКТБ НЕФТЕГАЗМАШ
Нормативные ссылки: