Скачать ГОСТ 30324.31-2002 Изделия медицинские электрические. Часть 2. Частные требования безопасности к наружным кардиостимуляторам с внутренним источником питанияДата актуализации: 01.01.2021
|
| Обозначение: | ГОСТ 30324.31-2002 |
| Обозначение англ: | GOST 30324.31-2002 |
| Статус: | введен впервые |
| Название рус.: | Изделия медицинские электрические. Часть 2. Частные требования безопасности к наружным кардиостимуляторам с внутренним источником питания |
| Название англ.: | Medical electrical equipment. Part 2. Particular requirements for the safety of external cardiac pacemakers with internal power source |
| Дата добавления в базу: | 01.10.2014 |
| Дата актуализации: | 01.01.2021 |
| Дата введения: | 01.01.2015 |
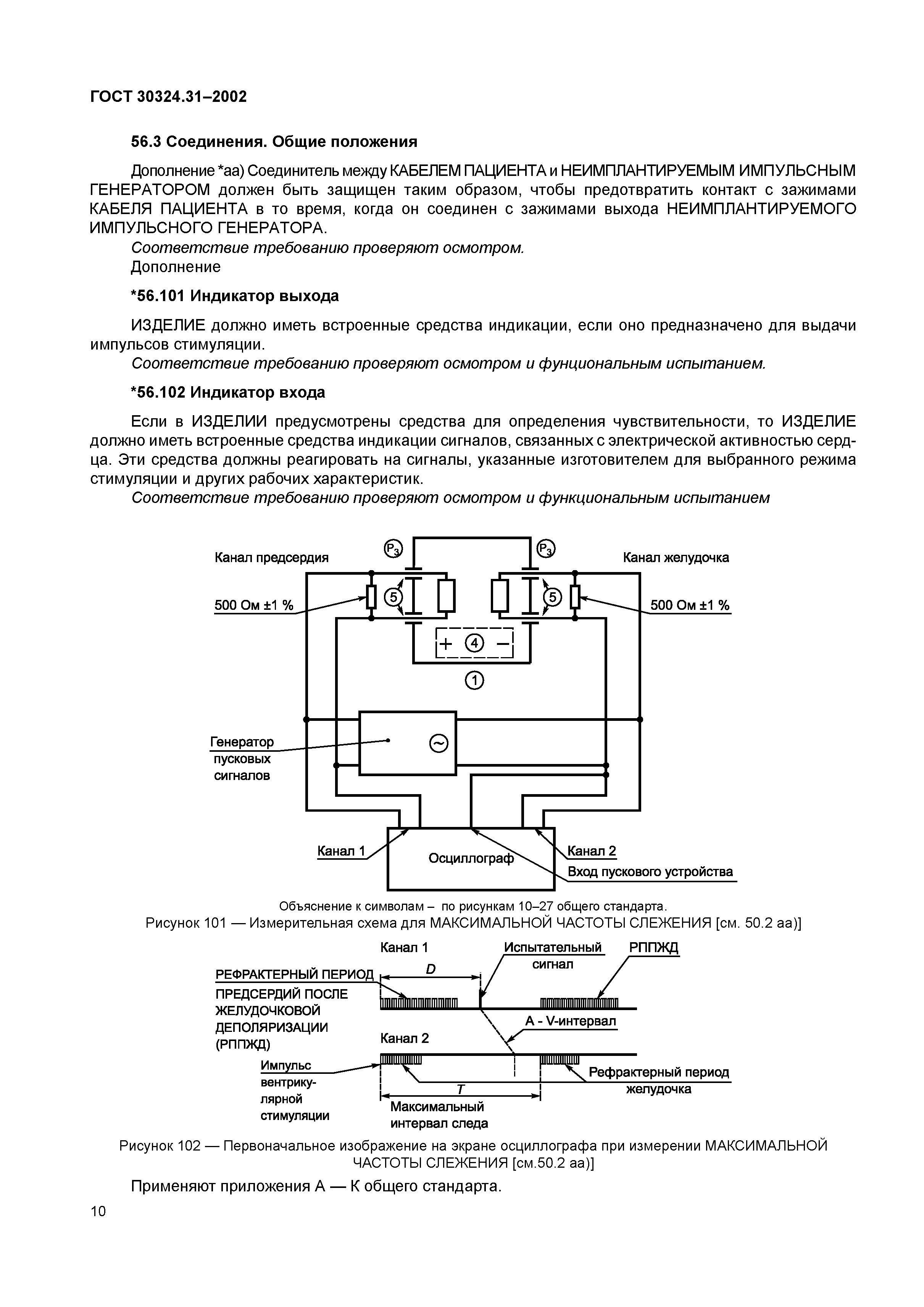
| Область применения: | Стандарт устанавливает требования безопасности к наружным кардиостимуляторам (далее - изделиям), определение которых приведено в 2.1.101, питаемым от внутреннего источника электрического питания, а также кабелям пациента, определение которых приведено в 2.1.104. Настоящий частный стандарт не распространяется на изделия, которые могут каким-либо образом соединяться с сетевым источником питания; на провода-электроды для временной стимуляции или другие изделия для кардиологической стимуляции, которые либо: - являются составной частью изделия, выполняющего другие функции; - вводят стимул через грудную клетку внешним способом или в пищевод; - обеспечивают антитахикардическую терапию сверхчастой электростимуляцией; - обеспечивают анализ систем стимулирования. Каждый из двух каналов двухкамерного наружного кардиостимулятора должен отвечать требованиям настоящего стандарта. Требования настоящего стандарта являются обязательными. |
| Оглавление: | РАЗДЕЛ ПЕРВЫЙ. ОБЩИЕ ПОЛОЖЕНИЯ РАЗДЕЛ ВТОРОЙ. УСЛОВИЯ ОКРУЖАЮЩЕЙ СРЕДЫ РАЗДЕЛ ТРЕТИЙ. ЗАЩИТА ОТ ОПАСНОСТЕЙ ПОРАЖЕНИЯ ЭЛЕКТРИЧЕСКИМ ТОКОМ РАЗДЕЛ ЧЕТВЕРТЫЙ. ЗАЩИТА ОТ МЕХАНИЧЕСКИХ ОПАСНОСТЕЙ РАЗДЕЛ ПЯТЫЙ. ЗАЩИТА ОТ ОПАСНОСТЕЙ НЕЖЕЛАТЕЛЬНОГО ИЛИ ЧРЕЗМЕРНОГО ИЗЛУЧЕНИЯ РАЗДЕЛ ШЕСТОЙ. ЗАЩИТА ОТ ОПАСНОСТЕЙ ВОСПЛАМЕНЕНИЯ ГОРЮЧИХ СМЕСЕЙ АНЕСТЕТИКОВ РАЗДЕЛ СЕДЬМОЙ. ЗАЩИТА ОТ ЧРЕЗМЕРНЫХ ТЕМПЕРАТУР И ДРУГИХ ОПАСНОСТЕЙ РАЗДЕЛ ВОСЬМОЙ. ТОЧНОСТЬ РАБОЧИХ ХАРАКТЕРИСТИК И ЗАЩИТА ОТ ПРЕДСТАВЛЯЮЩИХ ОПАСНОСТЬ ВЫХОДНЫХ ХАРАКТЕРИСТИК РАЗДЕЛ ДЕВЯТЫЙ. НЕНОРМАЛЬНАЯ РАБОТА И УСЛОВИЯ НАРУШЕНИЯ; ИСПЫТАНИЯ НА ВОЗДЕЙСТВИЕ ВНЕШНИХ ФАКТОРОВ РАЗДЕЛ ДЕСЯТЫЙ. ТРЕБОВАНИЯ К КОНСТРУКЦИИ Приложение L (справочное) Нормативные ссылки Приложение АА (справочное) Общие положения и обоснования Приложение ММ (справочное) Дополнительные требования к наружным кардиостимуляторам с внутренним источником питания |
| Разработан: | ФГУП ВНИИНМАШ |
| Утверждён: | 06.11.2002 Межгосударственный Совет по стандартизации, метрологии и сертификации (Inter-Governmental Council on Standardization, Metrology, and Certification 22) 29.11.2012 Федеральное агентство по техническому регулированию и метрологии (1316-ст) |
| Издан: | Стандартинформ (2014 г. ) |
| Нормативные ссылки: |
|























