Скачать ГОСТ Р 55079-2012 Сталь. Метод атомно-эмиссионного анализа с индуктивно связанной плазмойДата актуализации: 01.01.2021 ГОСТ Р 55079-2012
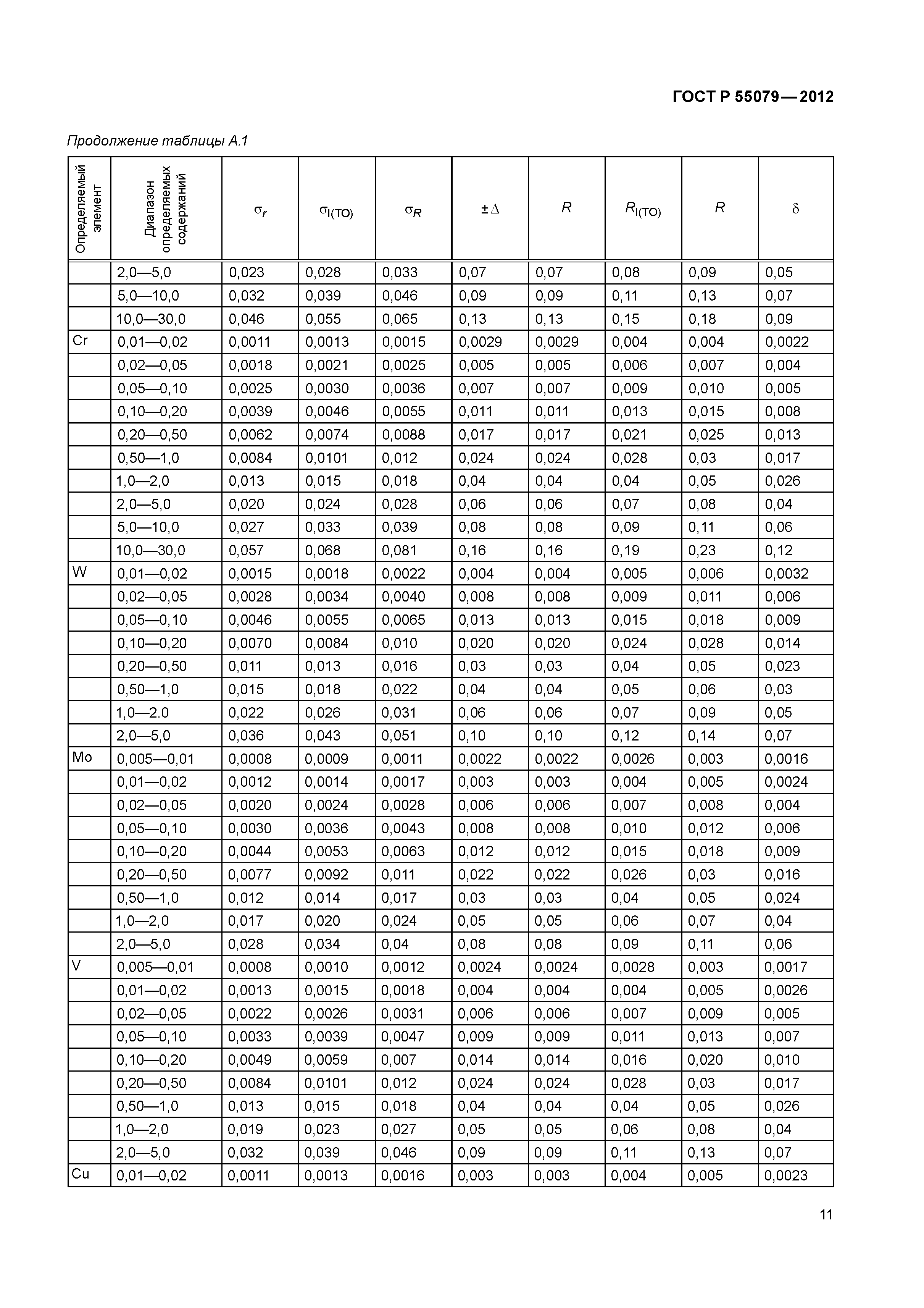
Сталь. Метод атомно-эмиссионного анализа с индуктивно связанной плазмой| Обозначение: | ГОСТ Р 55079-2012 | | Обозначение англ: | GOST R 55079-2012 | | Статус: | введен впервые | | Название рус.: | Сталь. Метод атомно-эмиссионного анализа с индуктивно связанной плазмой | | Название англ.: | Steel. Method of inductively coupled plasma atomic-emission analysis | | Дата добавления в базу: | 01.02.2017 | | Дата актуализации: | 01.01.2021 | | Дата введения: | 01.01.2014 | | Область применения: | Стандарт устанавливает атомно-эмиссионный с индуктивно связанной плазмой спектрометрический метод определения массовой доли элементов в углеродистых, легированных, высоколегированных сталях. Стандарт применим для определения массовой доли элементов в анализируемых растворах как с использованием, так и без использования внутреннего стандарта. | | Оглавление: | 1 Область применения 2 Нормативные ссылки 3 Термины и определения 4 Общие требования 5 Аппаратура и реактивы 6 Подготовка и проведение анализа 7 Обработка результатов 8 Контроль точности результатов анализа 9 Протокол испытаний Приложение А (обязательное) Значения показателей и пределов повторяемости, промежуточной прецизионности, воспроизводимости и нормативы контроля правильности (% масс.) при доверительной вероятности Р= 0,95 Приложение Б (рекомендуемое) Рекомендуемые аналитические линии Приложение В (рекомендуемое) Рекомендуемые разбавления и соответствующие им концентрации градуировочных растворов Приложение Г (справочное) Поправочные коэффициенты, выраженные в содержании определяемого элемента (массовой доле, %), эквивалентного 1 массовой доле в процентах мешающего элемента Библиография | | Разработан: | ФГУП Центральный научно-исследовательский институт черной металлургии им. И.П. Бардина
| | Утверждён: | 14.11.2012 Федеральное агентство по техническому регулированию и метрологии (777-ст)
| | Издан: | Стандартинформ (2016 г. )
| | Нормативные ссылки: |   РМГ 29-99 «Государственная система обеспечения единства измерений. Метрология. Основные термины и определения»  ГОСТ 28473-90 «Чугун, сталь, ферросплавы, хром, марганец металлические. Общие требования к методам анализа»  ГОСТ 123-98 «Кобальт. Технические условия»  ГОСТ 11069-2001 «Алюминий первичный. Марки»  ГОСТ 6709-72 «Вода дистиллированная. Технические условия»  ГОСТ 10157-79 «Аргон газообразный и жидкий. Технические условия»  ГОСТ Р ИСО 5725-1-2002 «Точность (правильность и прецизионность) методов и результатов измерений. Часть 1. Основные положения и определения»  ГОСТ Р ИСО 5725-2-2002 «Точность (правильность и прецизионность) методов и результатов измерений. Часть 2. Основной метод определения повторяемости и воспроизводимости стандартного метода измерений»  ГОСТ Р ИСО 5725-3-2002 «Точность (правильность и прецизионность) методов и результатов измерений. Часть 3. Промежуточные показатели прецизионности стандартного метода измерений»  ГОСТ Р ИСО 5725-4-2002 «Точность (правильность и прецизионность) методов и результатов измерений. Часть 4. Основные методы определения правильности стандартного метода измерений» ГОСТ 10484-78 «Реактивы. Кислота фтористоводородная. Технические условия»  ГОСТ 12349-83 «Стали легированные и высоколегированные. Методы определения вольфрама» ГОСТ 13610-79 «Железо карбонильное радиотехническое. Технические условия» ГОСТ 1770-74 «Посуда мерная лабораторная стеклянная. Цилиндры, мензурки, колбы, пробирки. Общие технические условия»  ГОСТ 17746-96 «Титан губчатый. Технические условия» ГОСТ 18289-78 «Реактивы. Натрий вольфрамовокислый 2-водный. Технические условия» ГОСТ 19908-90 «Тигли, чаши, стаканы, колбы, воронки, пробирки и наконечники из прозрачного кварцевого стекла. Общие технические условия» ГОСТ 25336-82 «Посуда и оборудование лабораторные стеклянные. Типы, основные параметры и размеры»  ГОСТ 29227-91 «Посуда лабораторная стеклянная. Пипетки градуированные. Часть 1. Общие требования»  ГОСТ 3118-77 «Реактивы. Кислота соляная. Технические условия» ГОСТ 4199-76 «Реактивы. Натрий тетраборнокислый 10-водный. Технические условия» ГОСТ 4204-77 «Реактивы. Кислота серная. Технические условия» ГОСТ 4328-77 «Реактивы. Натрия гидроокись. Технические условия»  ГОСТ 4461-77 «Реактивы. Кислота азотная. Технические условия»  ГОСТ 6008-90 «Марганец металлический и марганец азотированный. Технические условия» ГОСТ 6552-80 «Реактивы. Кислота ортофосфорная. Технические условия»  ГОСТ 6563-75 «Изделия технические из благородных металлов и сплавов. Технические условия»  ГОСТ 83-79 «Реактивы. Натрий углекислый. Технические условия» ГОСТ 9428-73 «Реактивы. Кремний (IV) оксид. Технические условия»  ГОСТ 5905-2004 «Хром металлический. Технические требования и условия поставки»  МИ 1317-2004 «Рекомендация. Государственная система обеспечения единства измерений. Результаты и характеристики погрешности измерений. Формы представления. Способы использования при испытаниях образцов продукции и контроле их параметров»  ГОСТ 849-2008 «Никель первичный. Технические условия»  РМГ 91-2009 «Государственная система обеспечения единства измерений. Совместное использование понятий "погрешность измерения" и "неопределенность измерения". Общие принципы»  ГОСТ Р 53228-2008 «Весы неавтоматического действия. Часть 1. Метрологические и технические требования. Испытания»  РМГ 61-2010 «Государственная система обеспечения единства измерений. Показатели точности, правильности, прецизионности методик количественного химического анализа. Методы оценки» ГОСТ Р 54569-2011 «Чугун, сталь, ферросплавы, хром и марганец металлические. Нормы точности количественного химического анализа» ГОСТ 859-2014 «Медь. Марки»
|
                 
|