Скачать ГОСТ Р 55119-2012 Топливо твердое из бытовых отходов. Определение содержания биомассыДата актуализации: 01.01.2021
|
| Обозначение: | ГОСТ Р 55119-2012 |
| Обозначение англ: | GOST R 55119-2012 |
| Статус: | введен впервые |
| Название рус.: | Топливо твердое из бытовых отходов. Определение содержания биомассы |
| Название англ.: | Solid recovered fuels. Determination of biomass content |
| Дата добавления в базу: | 01.10.2014 |
| Дата актуализации: | 01.01.2021 |
| Дата введения: | 01.07.2014 |
| Область применения: | Стандарт определяет три механизма определения содержания биомассы в различных видах твердого топлива из бытовых отходов: метод селективного растворения в перекиси водорода и серной кислоте, метод ручной сортировки и определение содержания биомассы в твердом топливе на основе содержания 14С. |
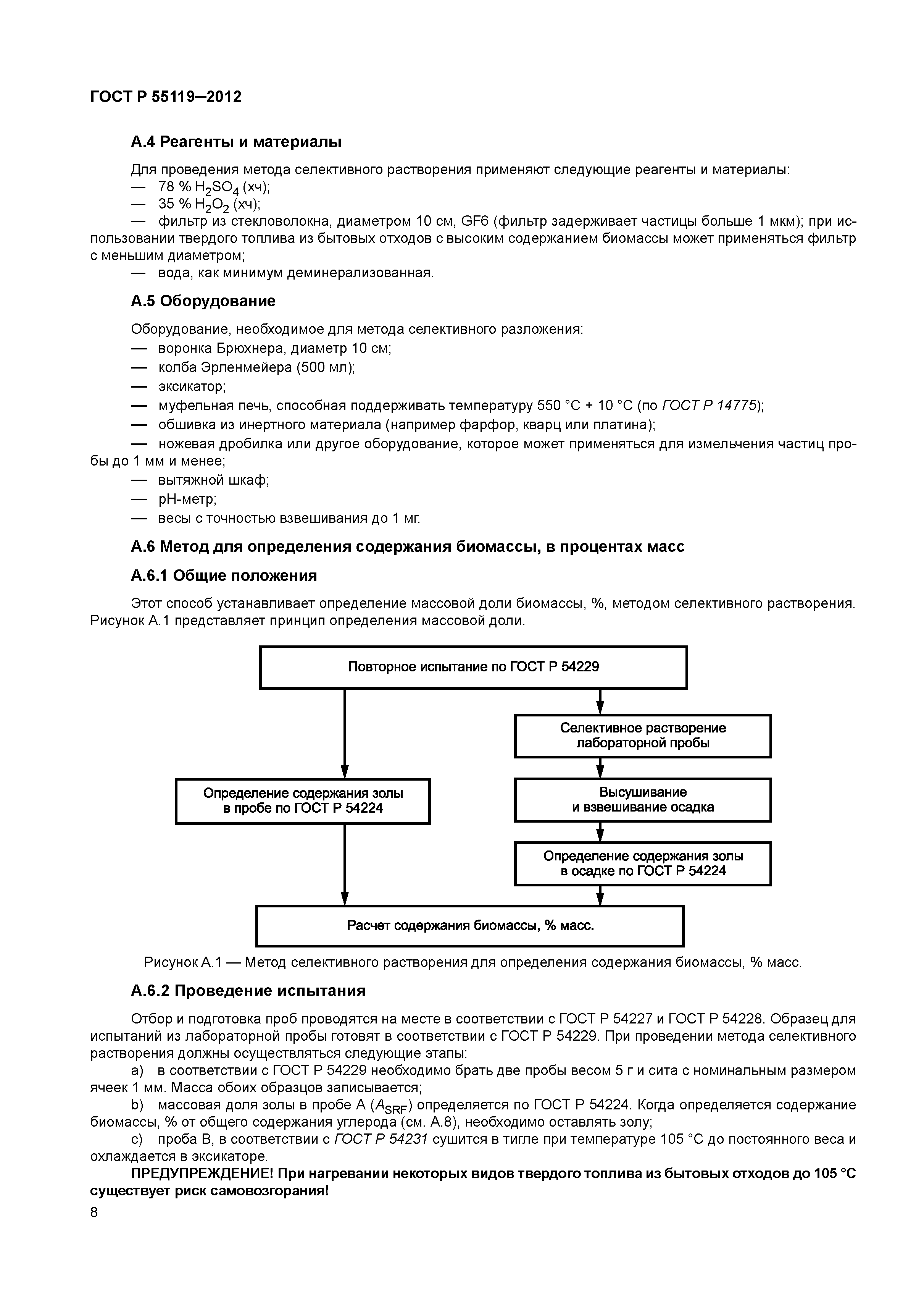
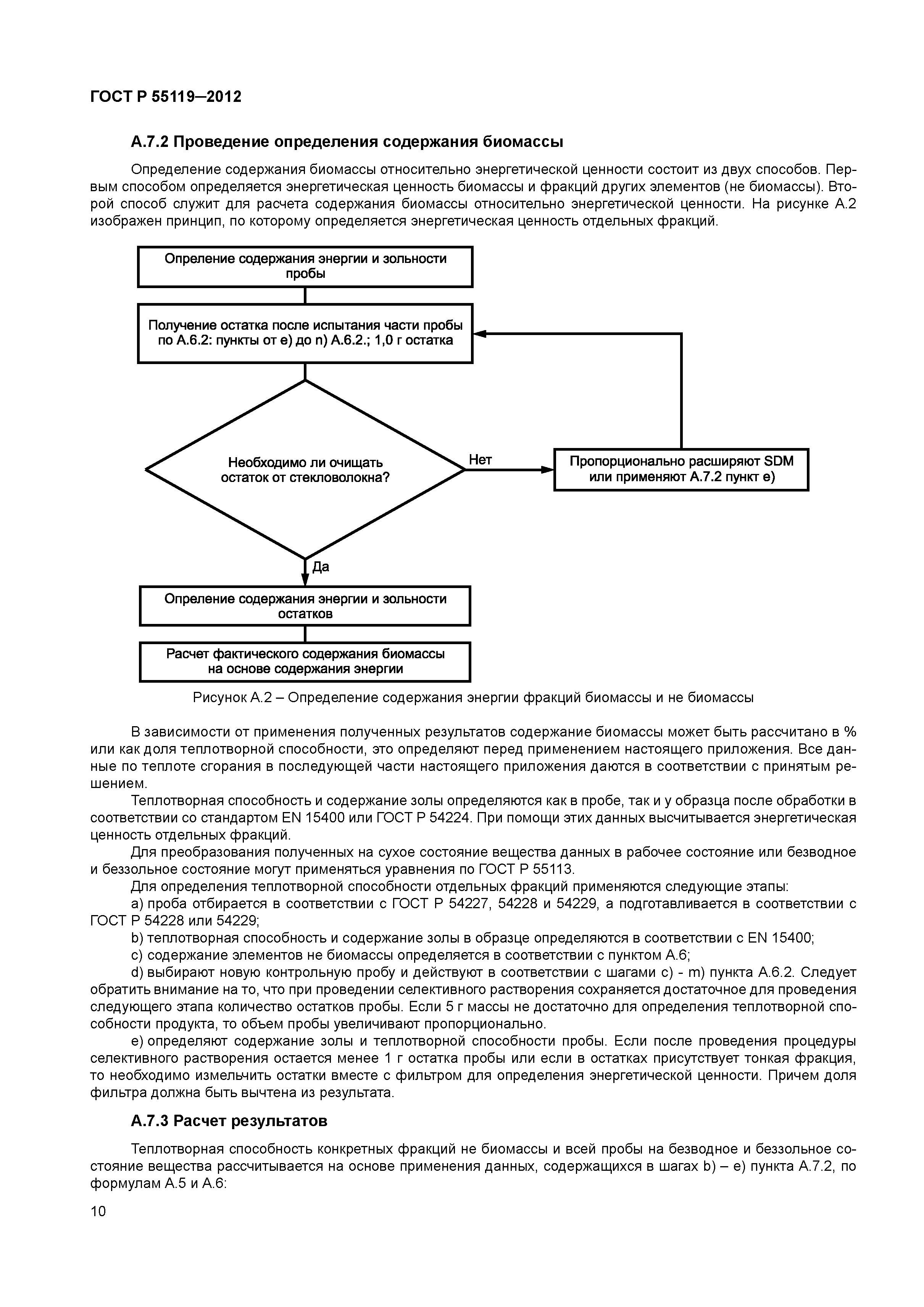
| Оглавление: | Введение 1 Область применения 2 Нормативные ссылки 3 Термины и определения 4 Сокращения 5 Общие положения 6 Определение содержания биомассы 7 Вычисления 8 Выражение результатов 9 Протокол испытаний Приложение А (обязательное) Определение содержания биомассы методом селективного растворения Приложение В (обязательное) Определение содержания биомассы методом ручной сортировки Приложение С (обязательное) Определение содержания биомассы методом, основанным на содержании 14С Приложение D (информативное) Пределы обнаружения метода Приложение Е (информативное) СО2-нейтральные материалы Приложение F (информативное) Технические характеристики Библиография |
| Разработан: | ФГУП ВНИЦ СМВ |
| Утверждён: | 15.11.2012 Федеральное агентство по техническому регулированию и метрологии (903-ст) |
| Издан: | Стандартинформ (2014 г. ) |
| Нормативные ссылки: |
|







































