Скачать ГОСТ Р ИСО 15531-44-2012 Системы промышленной автоматизации и интеграция. Данные по управлению промышленным производством. Часть 44. Моделирование сбора цеховых данныхДата актуализации: 01.01.2021
|
| Обозначение: | ГОСТ Р ИСО 15531-44-2012 |
| Обозначение англ: | GOST R ISO 15531-44-2012 |
| Статус: | введен впервые |
| Название рус.: | Системы промышленной автоматизации и интеграция. Данные по управлению промышленным производством. Часть 44. Моделирование сбора цеховых данных |
| Название англ.: | Industrial automation systems and integration. Industrial manufacturing management data. Part 44. Information modelling for shop floor data acquisition |
| Дата добавления в базу: | 21.05.2015 |
| Дата актуализации: | 01.01.2021 |
| Дата введения: | 01.01.2014 |
| Область применения: | Стандарт устанавливает процедуру моделирования данных, собранных на уровне мониторинга. Эти данные хранятся на уровне управления производством. Они могут обрабатываться далее на указанном уровне в заданных производственных целях. Стандарт распространяется на: - данные для количественных и качественных оценок, собранные системой сбора данных на уровне мониторинга. Эти данные хранятся на уровне управления производством и используются далее в производственных целях; - фиксацию момента времени и измерение интервалов времени для получения данных мониторинга и управления производством. Стандарт не распространяется на: - данные, связанные с дистанционным измерением или управлением в реальном времени; - данные идентификации продукта в соответствии с ИСО 10303 (см. также ИСО 10303-1); - данные каталогов и библиотек в соответствии с ИСО 13584 и ИСО 15926; - данные мониторинга, используемые только на уровне мониторинга (исключая управление производством). |
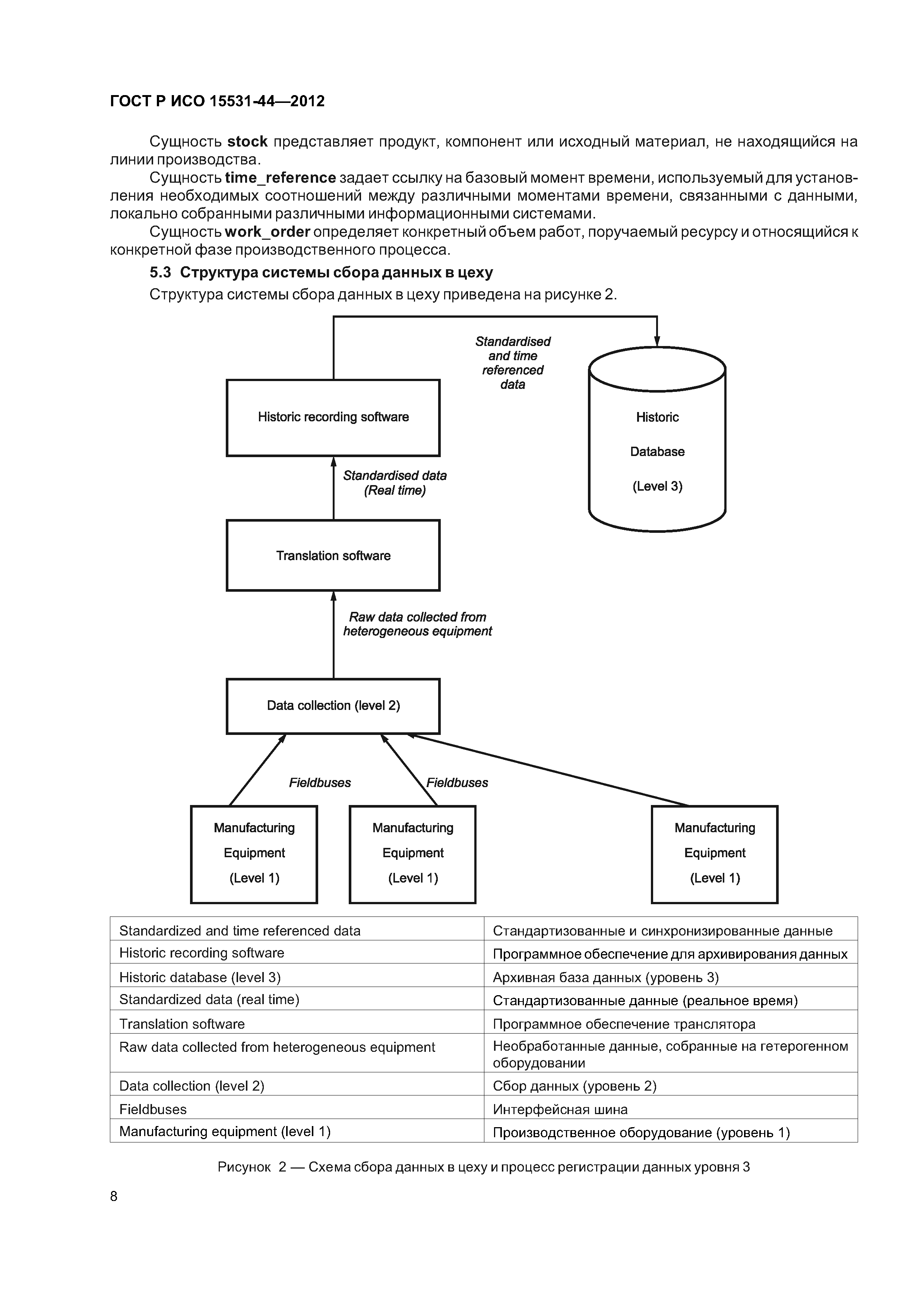
| Оглавление: | 1 Область применения 2 Нормативные ссылки 3 Термины и определения, аббревиатуры 3.1 Термины и определения 3.2 Аббревиатуры 4 Общие цели и область применения комплекса международных стандартов ИСО 15531 5 Цели, принципы структура настоящего стандарта 5.1 Цели настоящего стандарта 5.2 Основные принципы настоящего стандарта и обзор основных сущностей 5.3 Структура системы сбора данных в цеху 5.4 Собранные данные и их организация 5.5 Регистрация времени 5.6 Оптимизация размера 6 Представление блок-схемы сбора данных в цеху на языке EXPRESS 6.1 Блок-схема сбора данных в цеху 6.2 Задание типа данных shopfloor_captured_data 6.3 Определение сущностей данных, собранных в цехах 6.4 Manufactured product 6.5 Заказ на изготовление 6.6 Отслеживаемость параметров производственного процесса 6.7 Производительность и техническое обслуживание 6.8 Качество 6.9 Ресурс 6.10 Фиксирование момента времени и ссылка на базовый момент времени Приложение А (обязательное) Регистрация данных об объекте Приложение В (справочное) Сводный листинг записей на языке EXPRESS Приложение С (справочное) Сводная диаграмма использования сущностей языка EXPRESS-G Приложение ДА (справочное) Сведения о соответствии ссылочных международных стандартов ссылочным национальным стандартам Российской Федерации Библиография |
| Разработан: | АНО Международная академия менеджмента и качества бизнеса |
| Утверждён: | 29.11.2012 Росстандарт (1711-ст) |
| Издан: | Стандартинформ (2014 г. ) |
| Нормативные ссылки: |
|
































