Скачать ГОСТ Р МЭК 61069-7-2012 Измерение и управление промышленным процессом. Определение свойств системы с целью ее оценки. Часть 7. Оценка безопасности системыДата актуализации: 01.01.2021
|
| Обозначение: | ГОСТ Р МЭК 61069-7-2012 |
| Обозначение англ: | GOST R IEC 61069-7-2012 |
| Статус: | заменен |
| Название рус.: | Измерение и управление промышленным процессом. Определение свойств системы с целью ее оценки. Часть 7. Оценка безопасности системы |
| Название англ.: | Industrial process measurement and control. Evaluation of system properties for the purpose of system assessment. Part 7. Assessment of system safety |
| Дата добавления в базу: | 21.05.2015 |
| Дата актуализации: | 01.01.2021 |
| Дата введения: | 01.07.2014 |
| Дата окончания срока действия: | 01.09.2018 |
| Область применения: | В стандарте подробно описан метод, используемый для систематического оценивания свойств безопасности системы измерения и управления промышленным процессом. Трактовка безопасности в стандарте ограничена теми опасностями, которые могут возникать непосредственно в границах самой системы. Рассмотрение опасностей, которые могут быть обусловлены процессом или оборудованием, находящимся под управлением системы, которая будет оцениваться, не входит в область применения стандарта. |
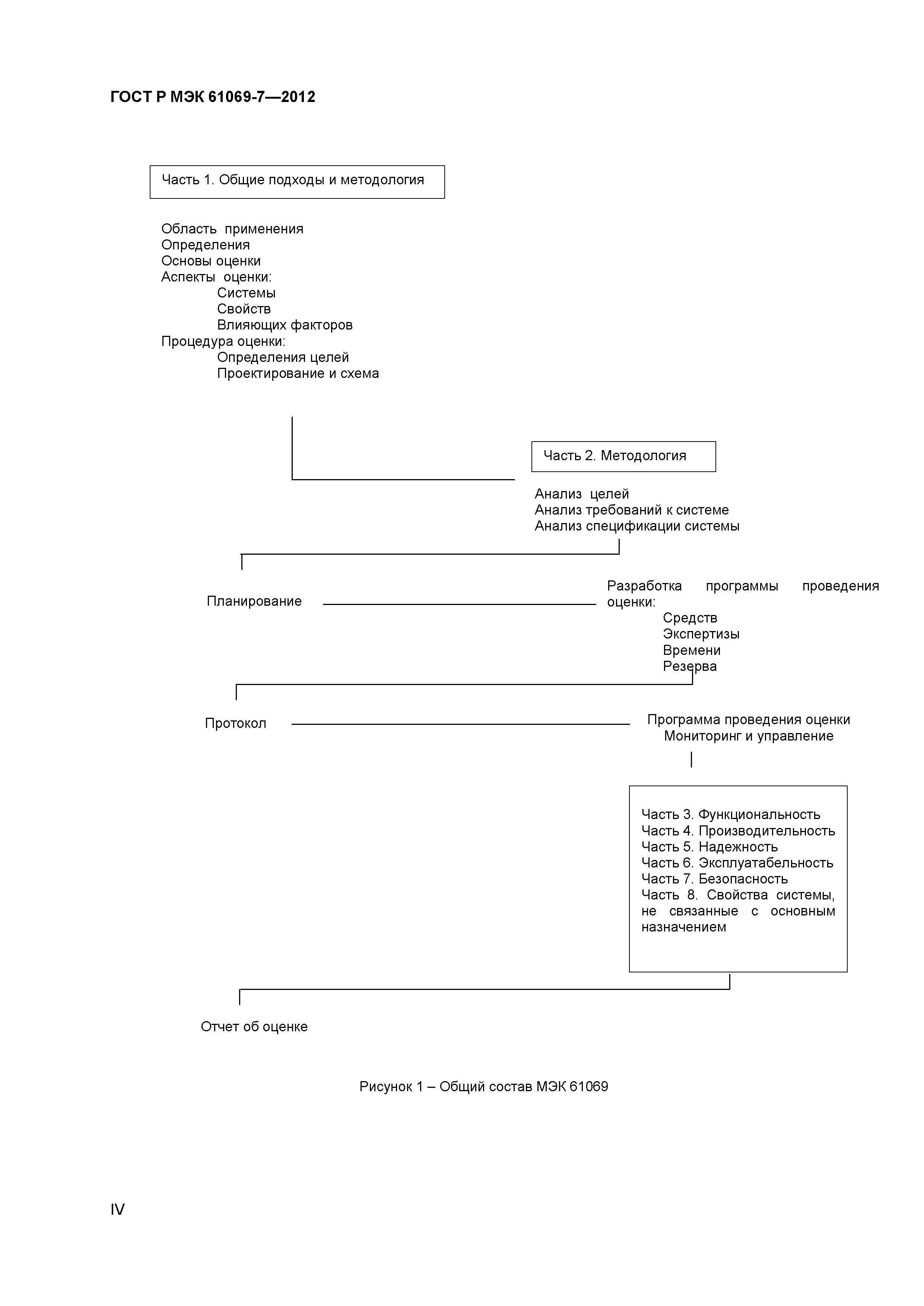
| Оглавление: | 1 Назначение и область применения 2 Нормативные ссылки 3 Термины и определения 4 Свойство безопасности 5 Обзор документа «Требования к системе» 6 Обзор документа «Спецификация системы» 7 Процедура оценки 8 Методы определения свойств 9 Выполнение оценки и отчет об оценке Приложение ДА (справочное) Сведения о соответствии ссылочных международных стандартов ссылочным национальным стандартам Российской Федерации Библиография |
| Разработан: | НОЧУ НИШ |
| Утверждён: | 22.11.2012 Федеральное агентство по техническому регулированию и метрологии (1050-ст) |
| Издан: | Стандартинформ (2014 г. ) |
| Нормативные ссылки: |
|















