Скачать ГОСТ Р МЭК 61069-2-2012 Измерение и управление промышленным процессом. Определение свойств системы с целью ее оценки. Часть 2. Методология оценкиДата актуализации: 01.01.2021
|
| Обозначение: | ГОСТ Р МЭК 61069-2-2012 |
| Обозначение англ: | GOST R IEC 61069-2-2012 |
| Статус: | заменен |
| Название рус.: | Измерение и управление промышленным процессом. Определение свойств системы с целью ее оценки. Часть 2. Методология оценки |
| Название англ.: | Industrial-process measurement and control. Evaluation of system properties for the purpose of system assessment. Part 2. Assessment methodology |
| Дата добавления в базу: | 01.11.2014 |
| Дата актуализации: | 01.01.2021 |
| Дата введения: | 01.07.2014 |
| Дата окончания срока действия: | 01.09.2018 |
| Область применения: | Стандарт детализирует методологию оценки системы измерения и управления промышленным процессом. В стандарте описаны методы анализа целей оценки, определения важности различных свойств систем и влияющих условий, а также разработки программы проведения оценки. |
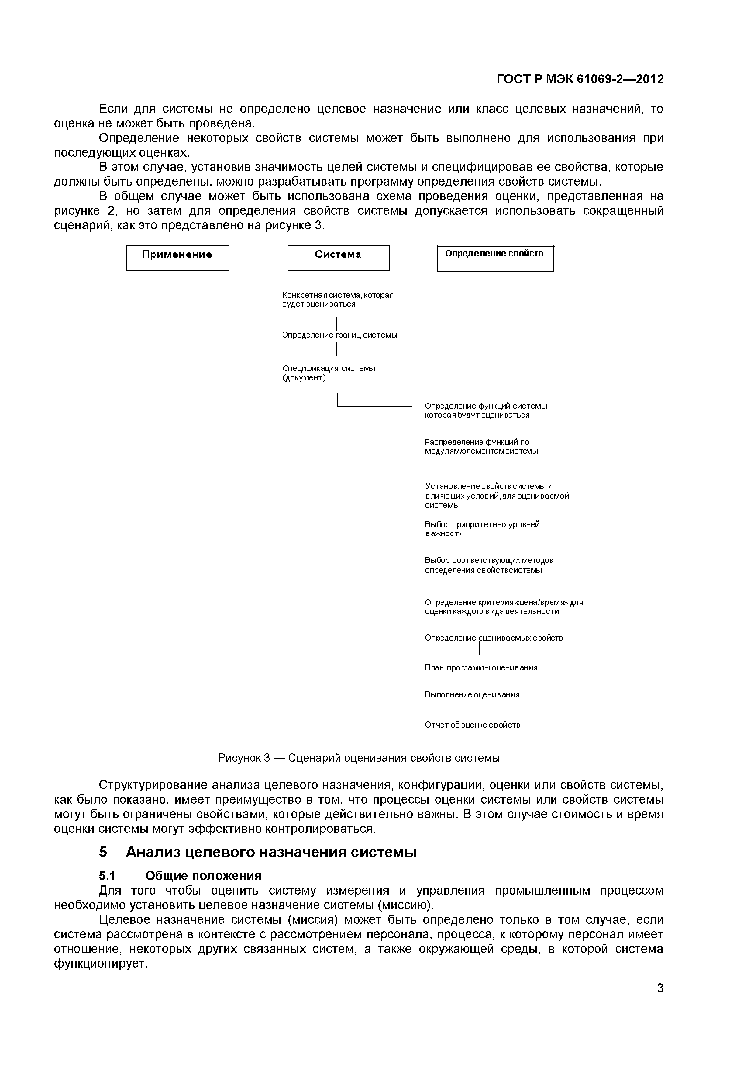
| Оглавление: | 1 Назначение и область применения 2 Нормативные ссылки 3 Термины и определения 4 Подход к оценке 5 Анализ целевого назначения системы 6 Спецификация реализации системы 7 Процедура оценки Приложение ДА (справочное) Сведения о соответствии ссылочных международных стандартов ссылочным национальным стандартам Российской Федерации Библиография |
| Разработан: | НОЧУ НИШ |
| Утверждён: | 22.11.2012 Росстандарт (1045-ст) |
| Чем заменён: | |
| Нормативные ссылки: |
|














