Скачать Шифр 24.0026 Методические указания по количественной оценке механической надежности действующих воздушных линий напряжением 0,38…10 кВ при гололедно-ветровых нагрузкахДата актуализации: 01.01.2021
|
| Обозначение: | Шифр 24.0026 |
| Обозначение англ: | 24.0026 |
| Статус: | действует |
| Название рус.: | Методические указания по количественной оценке механической надежности действующих воздушных линий напряжением 0,38…10 кВ при гололедно-ветровых нагрузках |
| Дата добавления в базу: | 01.10.2014 |
| Дата актуализации: | 01.01.2021 |
| Область применения: | Методические указания предназначены для определения надежности действующих и вновь проектируемых ВЛ |
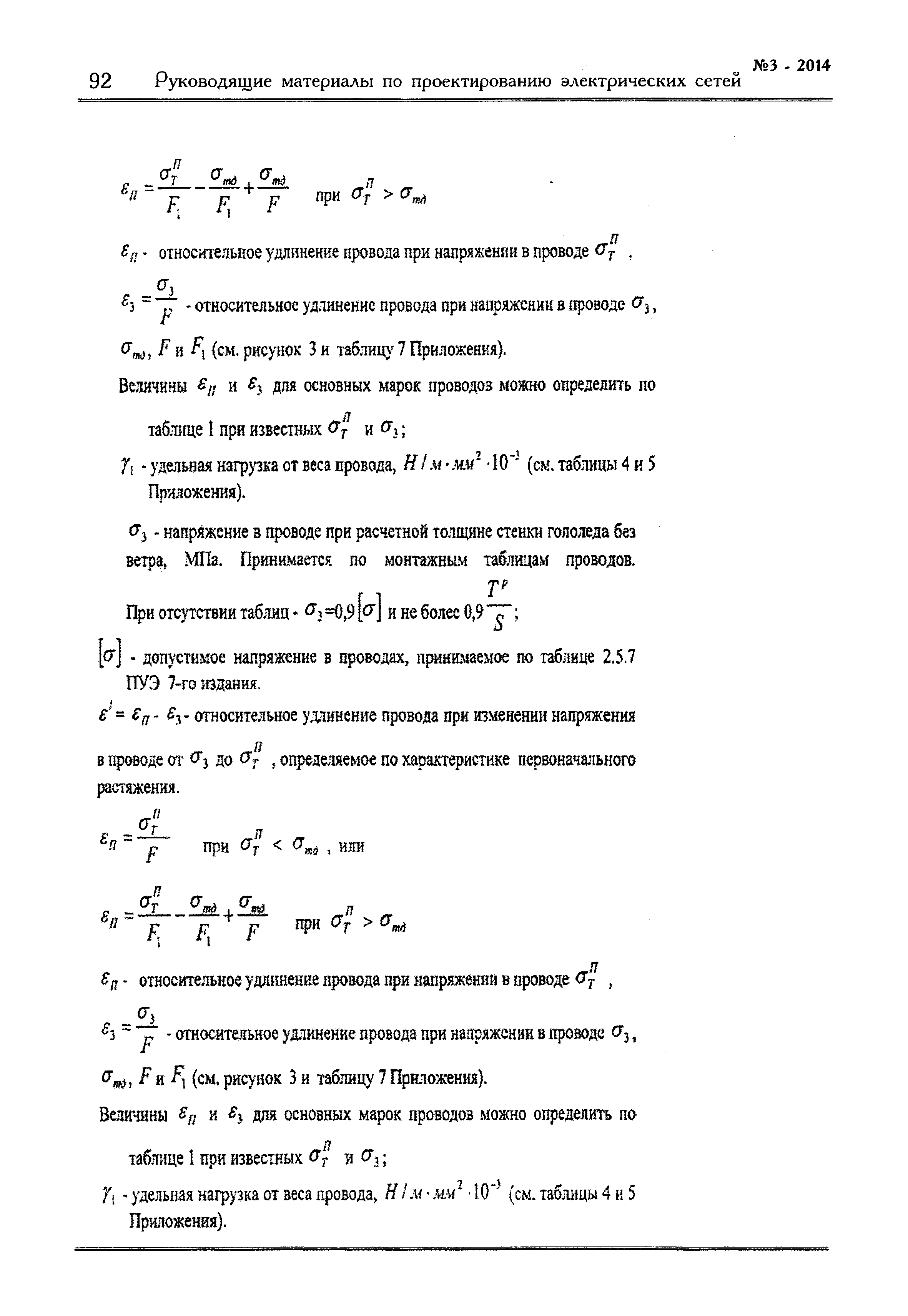
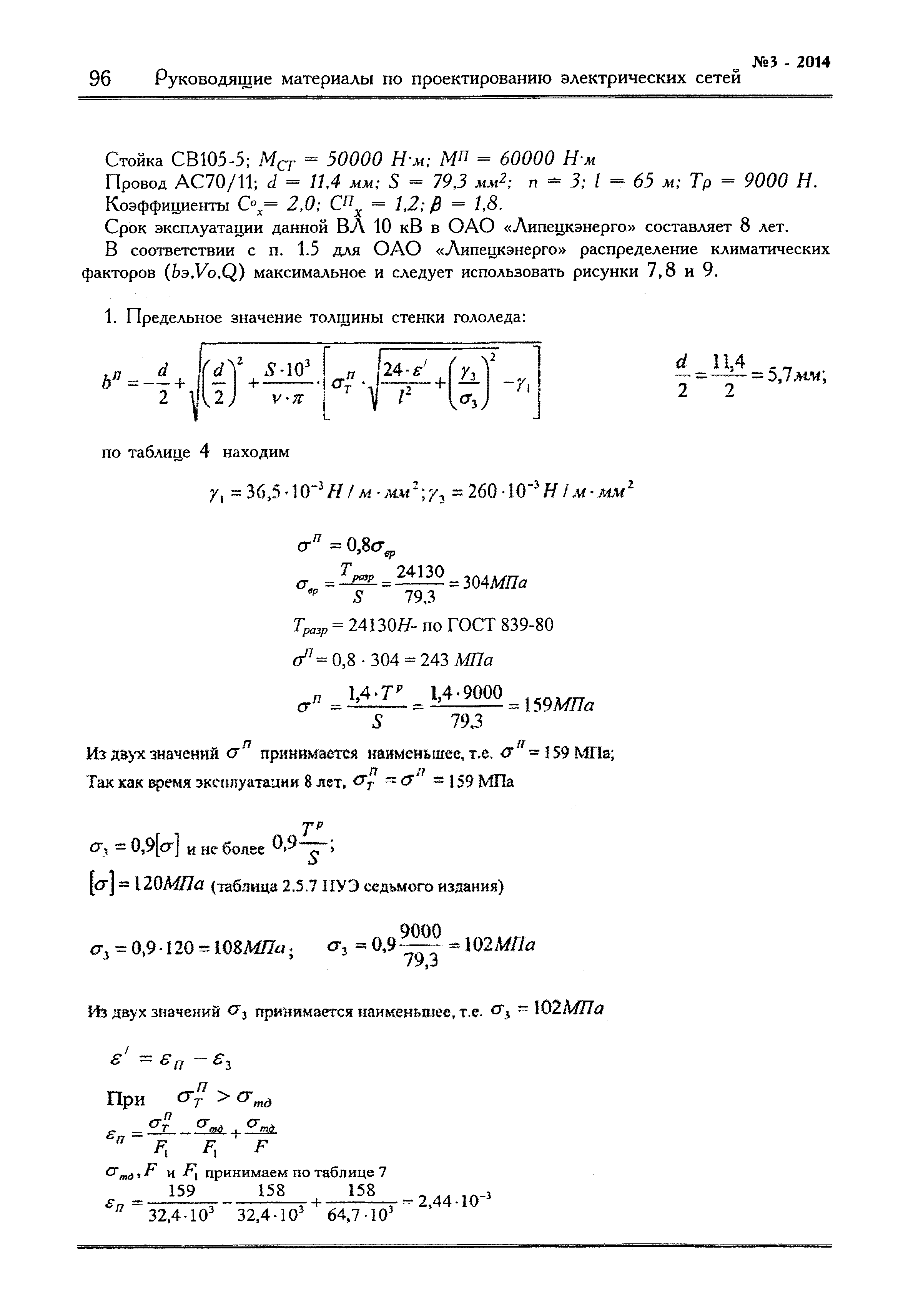
| Оглавление: | Введение 1. Основные положения по расчету надежности механической части ВЛ 2. Формулы для расчета надежности механической части ВЛ 3. Параметры, приведенные в формулах (1) - (10) 4. Пример 1 расчета надежности механической части ВЛ 10 кВ 5. Пример 2 расчета надежности механической части ВЛИ 0,38 кВ Приложение А. Вспомогательные материалы Приложение Б. Перечень документов, на которые даны ссылки в Методических указаниях |
| Разработан: | ОАО РОСЭП |
| Утверждён: | 02.03.2005 ОАО ФСК ЕЭС |
| Издан: | РУМ (Руководящие материалы по проектированию электрических сетей) (2014 г. (3(557))) |
| Нормативные ссылки: |



























