Скачать ГОСТ Р 56215-2014 Качество данных. Часть 150. Основные данные. Структура управления качествомДата актуализации: 01.01.2021
|
| Обозначение: | ГОСТ Р 56215-2014 |
| Обозначение англ: | GOST R 56215-2014 |
| Статус: | введен впервые |
| Название рус.: | Качество данных. Часть 150. Основные данные. Структура управления качеством |
| Название англ.: | Data quality. Part 150: Master data. Quality management framework |
| Дата добавления в базу: | 21.05.2015 |
| Дата актуализации: | 01.01.2021 |
| Дата введения: | 01.07.2015 |
| Область применения: | Стандарт определяет основные принципы целевого подхода к управлению качеством основных данных, а также анализирует требования, применяемые организацией для осуществления управления качеством основных данных. Документ включает в себя также описание информационной структуры идентификации процессов управления качеством данных. Стандарт распространяется: - на основные принципы управления качеством основных данных; - требования к: - реализации; - обмену данными; - источнику информации; - структуру управления качеством основных данных: - процессы высокого и низкого уровней; - роли (объектов). Стандарт не распространяется на: - методы оценки и сертификации качества данных; - таксономию данных; - модель завершенности качества данных. |
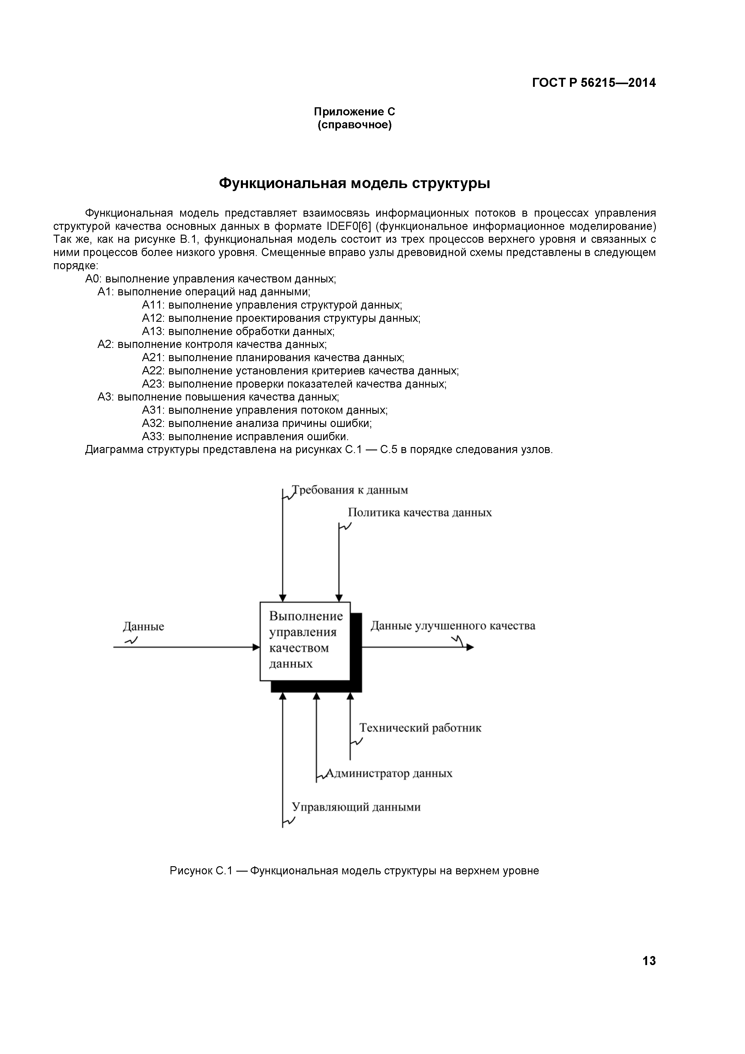
| Оглавление: | 1 Область применения 2 Нормативные ссылки 3 Термины, определения и сокращения 4 Основные принципы управления качеством основных данных 5 Требования 5.1 Требования к реализации 5.2 Требования к обмену данными 5.3 Требования к происхождению и развитию данных 6 Соответствие Приложение А (обязательное) Идентификация документа Приложение В (справочное) Структура управления качеством основных данных Приложение С (справочное) Функциональная модель структуры Приложение D (справочное) Бизнес-сценарий с примерами, характерными для структуры Приложение ДА (справочное) Сведения о соответствии ссылочных международных стандартов и документов национальным стандартам Российской Федерации Библиография |
| Разработан: | ФБУ ФЦК |
| Утверждён: | 11.11.2014 Росстандарт (1519-ст) |
| Издан: | Стандартинформ (2014 г. ) |
| Нормативные ссылки: |
|

























