Скачать ГОСТ Р 56213.5-2014 Системы промышленной автоматизации и интеграция. Обмен данными характеристик. Часть 5. Схема идентификацииДата актуализации: 01.01.2021
|
| Обозначение: | ГОСТ Р 56213.5-2014 |
| Обозначение англ: | GOST R 56213.5-2014 |
| Статус: | введен впервые |
| Название рус.: | Системы промышленной автоматизации и интеграция. Обмен данными характеристик. Часть 5. Схема идентификации |
| Название англ.: | Industrial automation systems and integration. Exchange of characteristic data. Part 5. Identification scheme |
| Дата добавления в базу: | 12.02.2016 |
| Дата актуализации: | 01.01.2021 |
| Дата введения: | 01.07.2015 |
| Область применения: | Стандарт устанавливает формат идентификаторов, относящихся к элементам словаря концепций. Спецификация формата - это конкретная синтаксическая структура, отвечающая общим техническим требованиям международного идентификатора регистрационных данных (IRDI), определенного в ИСО /МЭК 11179-5. Стандарт распространяется на: - элементы данных для идентификации элементов словаря концепций, включая сами концепции и связанные с ними информационные элементы концепций; - синтаксическую структуру идентификатора элементов словаря концепций; - правила совместимости ограниченных схем с настоящим стандартом. Стандарт не распространяется на правила, характерные для стандартов, в которых имеются ссылки на стандарт. |
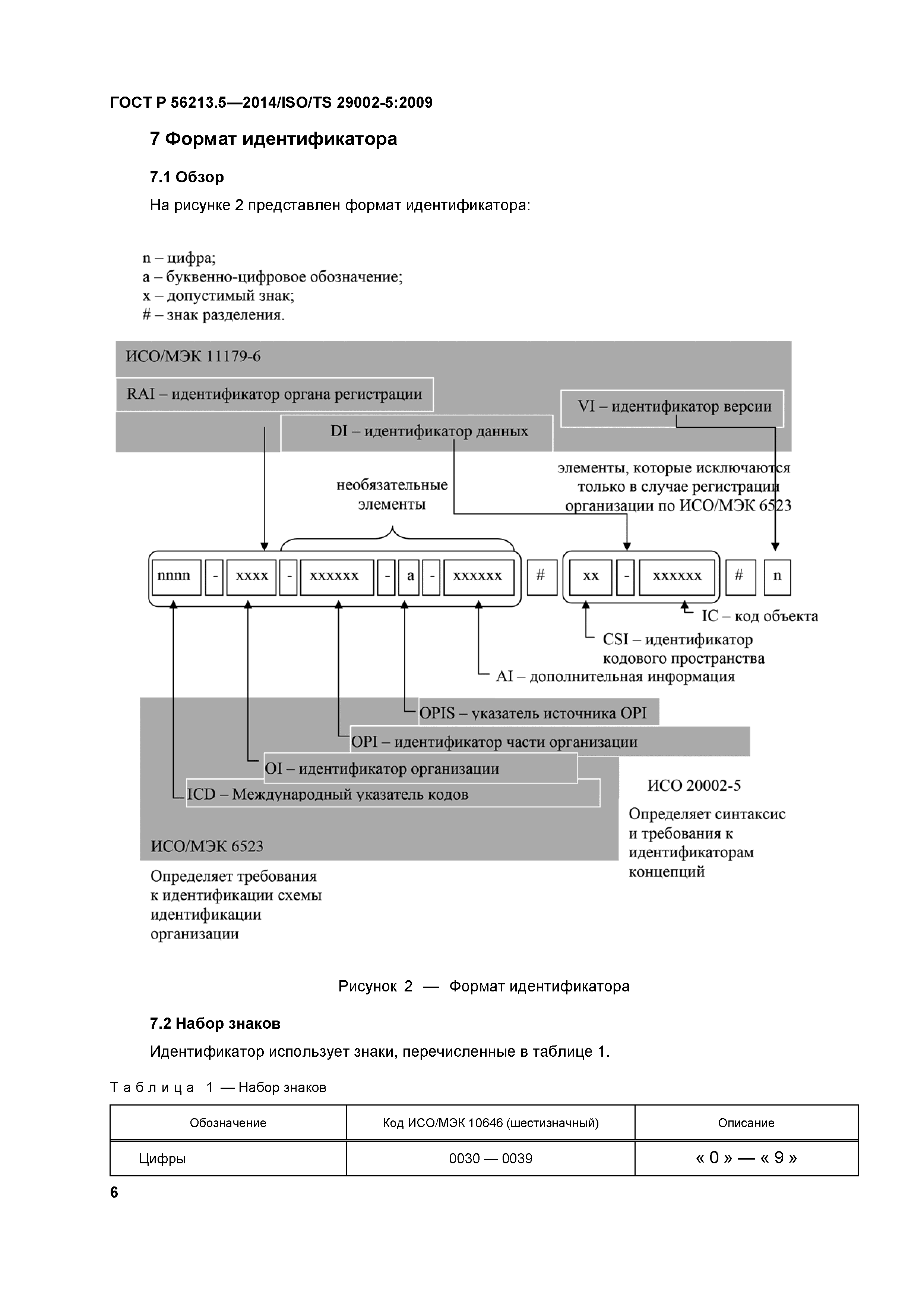
| Оглавление: | 1 Область применения 2 Нормативные ссылки 3 Термины и определения 4 Сокращения 5 Базовые элементы идентификации 6 Таксономия управляемых элементов 7 Формат идентификатора 7.1 Обзор 7.2 Набор знаков 7.3 Минимальная длина атрибутов 7.4 Максимальная длина идентификатора 8 Элементы идентификатора 8.1 Структуры идентификатора 8.2 Идентификатор органа регистрации (RAI) 8.3 Идентификатор данных (DI) 8.4 Идентификатор версии (VI) 9 Синтаксис идентификатора 9.1 Идентификатор объекта, зарегистрированного в словаре концепций 9.2 Идентификатор организации, зарегистрированной в соответствии с ИСО/МЭК 6523 Приложение А (обязательное) Идентификация документа Приложение В (обязательное) Схема XML Приложение С (справочное) Применение настоящего стандарта в качестве ресурса Приложение D (справочное) дополнительная информация по реализации Приложение Е (справочное) Аналогия с другими стандартами Приложение ДА (справочное) Сведения о соответствии ссылочных международных стандартов национальным стандартам Российской Федерации Библиография |
| Разработан: | ФБУ ФЦК |
| Утверждён: | 11.11.2014 Росстандарт (1513-ст) |
| Издан: | Стандартинформ (2015 г. ) |
| Нормативные ссылки: |
|























