Скачать ГОСТ IEC/TR 61000-1-6-2014 Электромагнитная совместимость (ЭМС). Часть 1-6. Общие положения. Руководство по оценке неопределенности измеренийДата актуализации: 01.01.2021
|
| Обозначение: | ГОСТ IEC/TR 61000-1-6-2014 |
| Обозначение англ: | 61000-1-6-2014 |
| Статус: | введен впервые |
| Название рус.: | Электромагнитная совместимость (ЭМС). Часть 1-6. Общие положения. Руководство по оценке неопределенности измерений |
| Название англ.: | Electromagnetic compatibility (EMC). Part 1-6. General. Guide to assessment of measurement uncertainty |
| Дата добавления в базу: | 21.05.2015 |
| Дата актуализации: | 01.01.2021 |
| Дата введения: | 01.03.2015 |
| Область применения: | Стандарт содержит методы и общую информацию для оценки неопределенности измерений и представляет собой руководство для понимания общих положений неопределенности измерений в серии стандартов IEC 61000. Целью стандарта является: предоставление рекомендаций техническим комитетам, в том числе, разрабатывающим стандарты на продукцию, и органам по оценке соответствия по вопросам формирования бюджетов неопределенности измерений; предоставление возможности сравнивать эти бюджеты в лабораториях, имеющих сходные свойства влияющих величин; согласование обработки неопределенности измерений в комитетах ЭМС МЭК. |
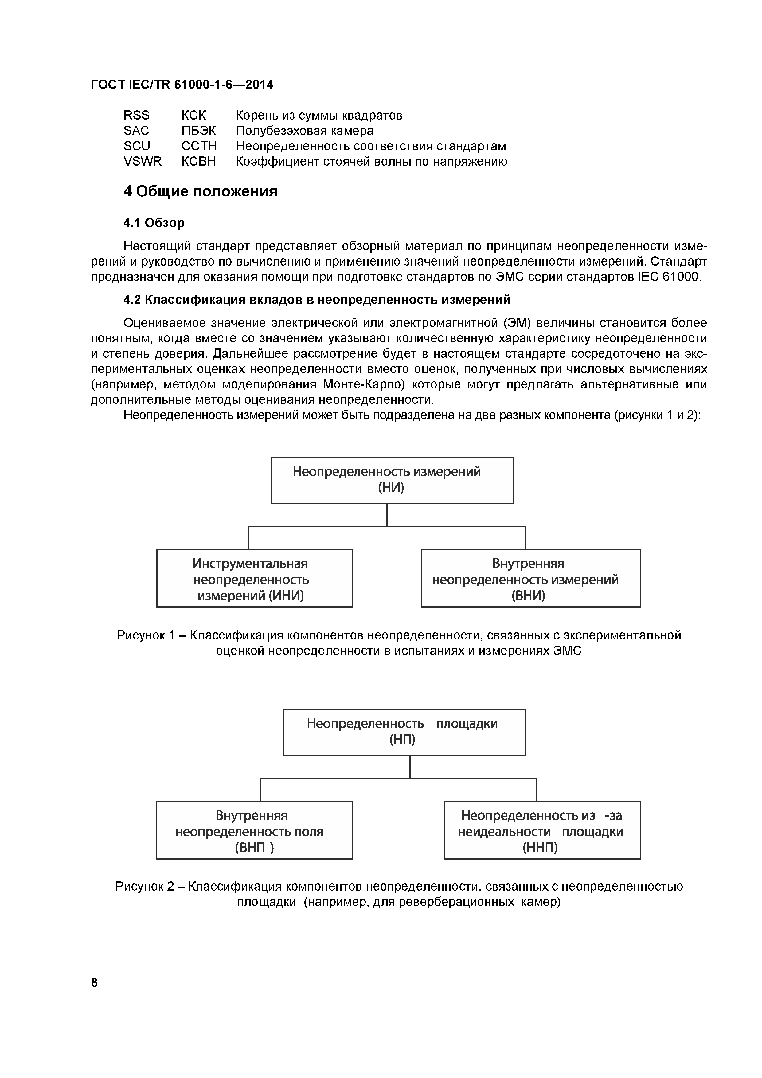
| Оглавление: | 1 Область применения 2 Нормативные ссылки 3 Термины, определения, обозначения и сокращения 3.1 Термины и определения 3.2 Обозначения 3.3 Сокращения 4 Общие положения 4.1 Обзор 4.2 Классификация вкладов в неопределенность измерений 4.3 Ограничения Руководства по выражению неопределенности измерений 4.4 Принципы 5 Формирование бюджета неопределенности измерений 5.1 Основные шаги 5.2 Функции плотности вероятности 5.3 Понятие оцениваний неопределенности типов А и В 5.4 Статистики выборок 5.5 Преобразование из линейных величин в децибелы и наоборот 6 Применение неопределенности измерений 7 Документирование вычисления неопределенности измерений Приложение А (справочное) Примеры оценки неопределенности измерений при измерении эмиссии Приложение В (справочное) Пример оценки неопределенности измерений при установке уровня испытания на помехоустойчивость Библиография Приложение ДА (справочное) Сведения о соответствии межгосударственных стандартов ссылочным международным стандартам |
| Разработан: | ЗАО НИЦ САМТЭС ТК 30 Электромагнитная совместимость технических средств |
| Утверждён: | 14.11.2014 Межгосударственный Совет по стандартизации, метрологии и сертификации (Inter-Governmental Council on Standardization, Metrology, and Certification 72-П) 24.11.2014 Федеральное агентство по техническому регулированию и метрологии (1708-ст) |
| Издан: | Стандартинформ (2015 г. ) |
| Нормативные ссылки: |
|





































































