Скачать НД 2-020101-040 Часть III.Техническое наблюдение за изготовлением материалов (редакция 2014 года)Дата актуализации: 01.01.2021
|
| Обозначение: | НД 2-020101-040 |
| Обозначение англ: | ND 2-020101-040 |
| Статус: | не действует |
| Название рус.: | Часть III.Техническое наблюдение за изготовлением материалов (редакция 2014 года) |
| Дата добавления в базу: | 21.05.2015 |
| Дата актуализации: | 01.01.2021 |
| Дата введения: | 01.07.2014 |
| Дата окончания срока действия: | 01.07.2015 |
| Область применения: | Положения части Правил технического наблюдения за постройкой судов и изготовлением материалов и изделий для судов применяются при осуществлении технического наблюдения Российским морским регистром судоходства за изготовлением и применением материалов для судов. |
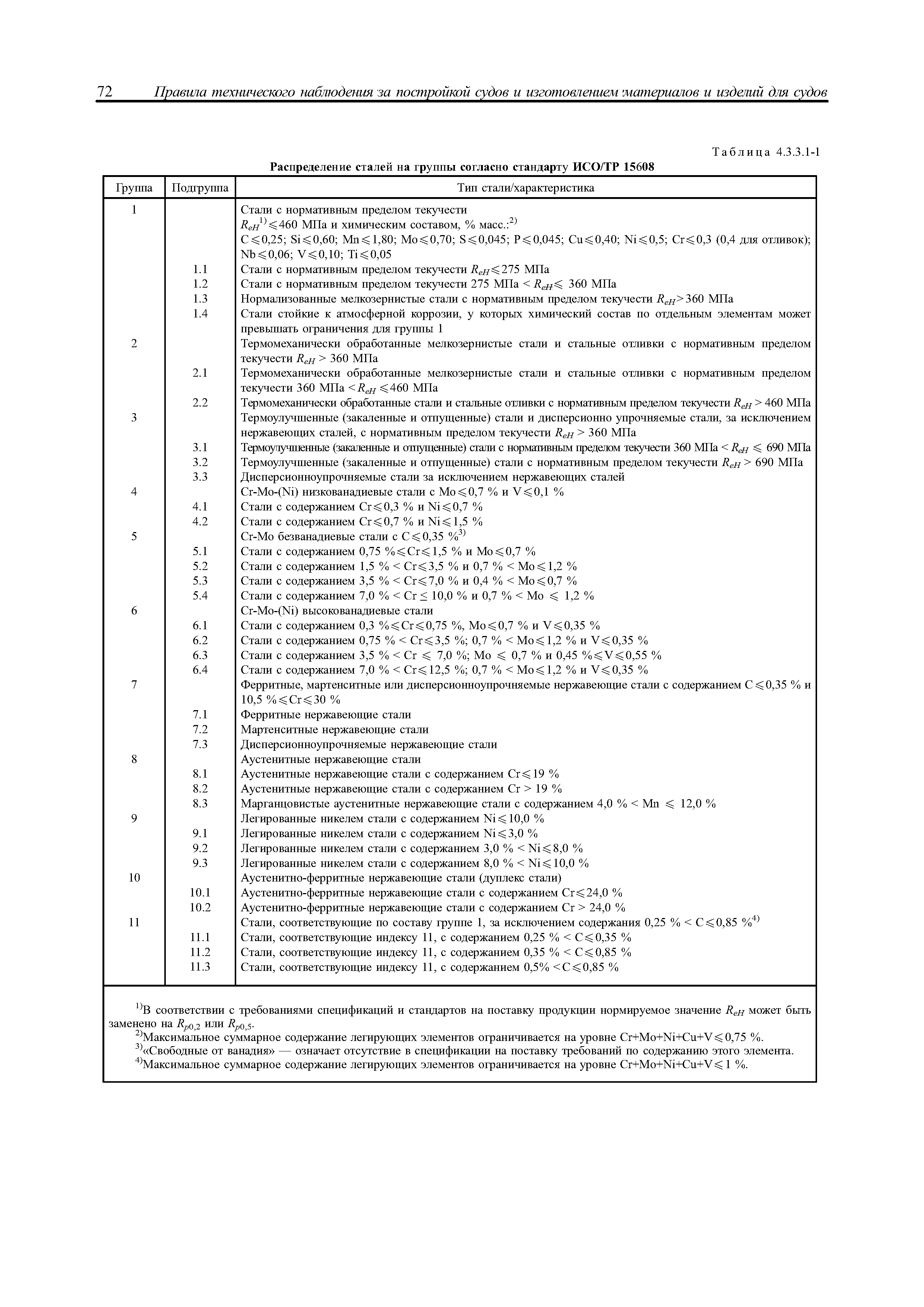
| Оглавление: | 1 Общие положения 1.1 Область распространения 1.2 Термины, определения и пояснения 1.3 Техническое наблюдение 2 Металлические материалы 2.1 Свидетельство о признании изготовителя (СПИ) 2.2 Схемы признания изготовителей 2.3 Перечень признанных изготовителей материалов 2.4 Осуществление технического наблюдения при изготовлении материалов 2.5 Неразрушающий контроль стальных поковок и отливок деталей корпуса и механизмов 2.6 Процедура применения стандарта качества альтернативных средств защиты от коррозии грузовых танков нефтеналивных судов, перевозящих сырую нефть, в соответствии с правилом II-1/3-11 СОЛАС-74 (резолюция ИМО МSС.289(87) 3 Неметаллические материалы 3.1 Процедура одобрения защитных покрытий конструкций корпуса 3.2 Процедура применения стандарта качества защитных покрытий, специально предназначенных для забортной воды балластных танков на судах всех типов и помещений двойного борта на навалочных судах, в соответствии с правилом 11-1/3-2 СОЛАС-74 (резолюция ИМО МSС.215(82)) 3.3 Процедура применения Стандарта качества защитных покрытий грузовых танков нефтеналивных судов, перевозящих сырую нефть, в соответствии с правилом П-1/3-и СОЛАС-74 (резолюция ИМО МSС.288(87)) 3.4 Процедура применения Стандарта качества защитных покрытий пустых помещений навалочных судов и нефтеналивных судов (резолюция ИМО МSС.244(83)) 3.5 Ледостойкие покрытия 4 Сварка. Правила аттестации сварщиков. 4.1 Общие положения 4.2 Требования к порядку проведения и организации аттестации сварщиков 4.3 Термины, определения и условные обозначения, применяемые при допуске сварщиков 4.4 Процедура испытаний по допуску сварщиков 4.5 Область одобрения по результатам испытаний 4.6 Оформление, условия действия и продления СДС Приложение 1. Типы проб сварных соединений, применяемые при практических испытаниях по допуску сварщиков Приложение 2. Унифицированные пространственные положения сварки согласно стандарту ИСО 6947 Приложение 3. Протокол заседания аттестационной комиссии Приложение 4. Практические рекомендации по заполнению формы 7.1.30 "Свидетельство о допуске сварщика" Приложение 5. Положение о центрах по аттестации сварщиков (аттестационных центров) Приложение 6. Разделы и вопросы для проведения экзамена по проверке профессиональных знаний сварщика Приложение 7. Описание типов наполнителя порошковой сварочной проволоки 5 Сварочные материалы. Требования к качеству изготовления, проведению испытаний и процедуре одобрения 5.1 Требования к системе качества изготовителей сварочных материалов 5.2 Освидетельствование изготовителей сварочных материалов 5.3 Технические требования к качеству изготовления и поставки сварочных материалов при их одобрении Регистром 5.4 Порядок проверки и испытаний сварочных материалов при их одобрении 6 Одобрение технологических процессов сварки стальных конструкций и изделий 6.1 Общие положения 6.2 Определения, термины и условные обозначения 6.3 Типы проб сварных соединений и требования к их изготовлению 6.4 Требования по контролю проб, изготовлению образцов и критериям оценки результатов испытаний 6.5 Требования к проведению повторных испытаний 6.6 Область одобрения технологического процесса сварки по результатам квалификационных испытаний 6.7 Оформление и условия действия. Свидетельства об одобрении технологического процесса сварки 7 Одобрение технологических процессов сварки алюминиевых сплавов 7.1 Общие положения 7.2 Определения, термины и условные обозначения 7.3 Типы проб сварных соединений и методы испытаний 7.4 Требования по контролю проб, изготовлению образцов и критериям оценки результатов испытаний 7.5 Область одобрения технологического процесса сварки по результатам квалификационных испытаний 8 Одобрение технологических процессов сварки титановых сплавов 8.1 Общие положения 8.2 Типы проб сварных соединений и методы испытаний 8.3 Требования по контролю проб, изготовлению образцов и критериям оценки результатов испытаний 8.4 Требования к проведению повторных испытаний 8.5 Область одобрения технологического процесса сварки по результатам квалификационных испытаний |
| Разработан: | Российский морской регистр судоходства |
| Утверждён: | 25.06.2014 Российский морской регистр судоходства |
| Издан: | Российский морской регистр судоходства (2014 г. ) |
| Заменяет собой: |




























































































































































































