Скачать НД 2-020101-040 Часть III. Техническое наблюдение за изготовлением материалов (редакция 2013 года)Дата актуализации: 01.01.2021
|
| Обозначение: | НД 2-020101-040 |
| Обозначение англ: | ND 2-020101-040 |
| Статус: | заменен |
| Название рус.: | Часть III. Техническое наблюдение за изготовлением материалов (редакция 2013 года) |
| Дата добавления в базу: | 01.09.2013 |
| Дата актуализации: | 01.01.2021 |
| Дата введения: | 01.07.2013 |
| Дата окончания срока действия: | 01.07.2014 |
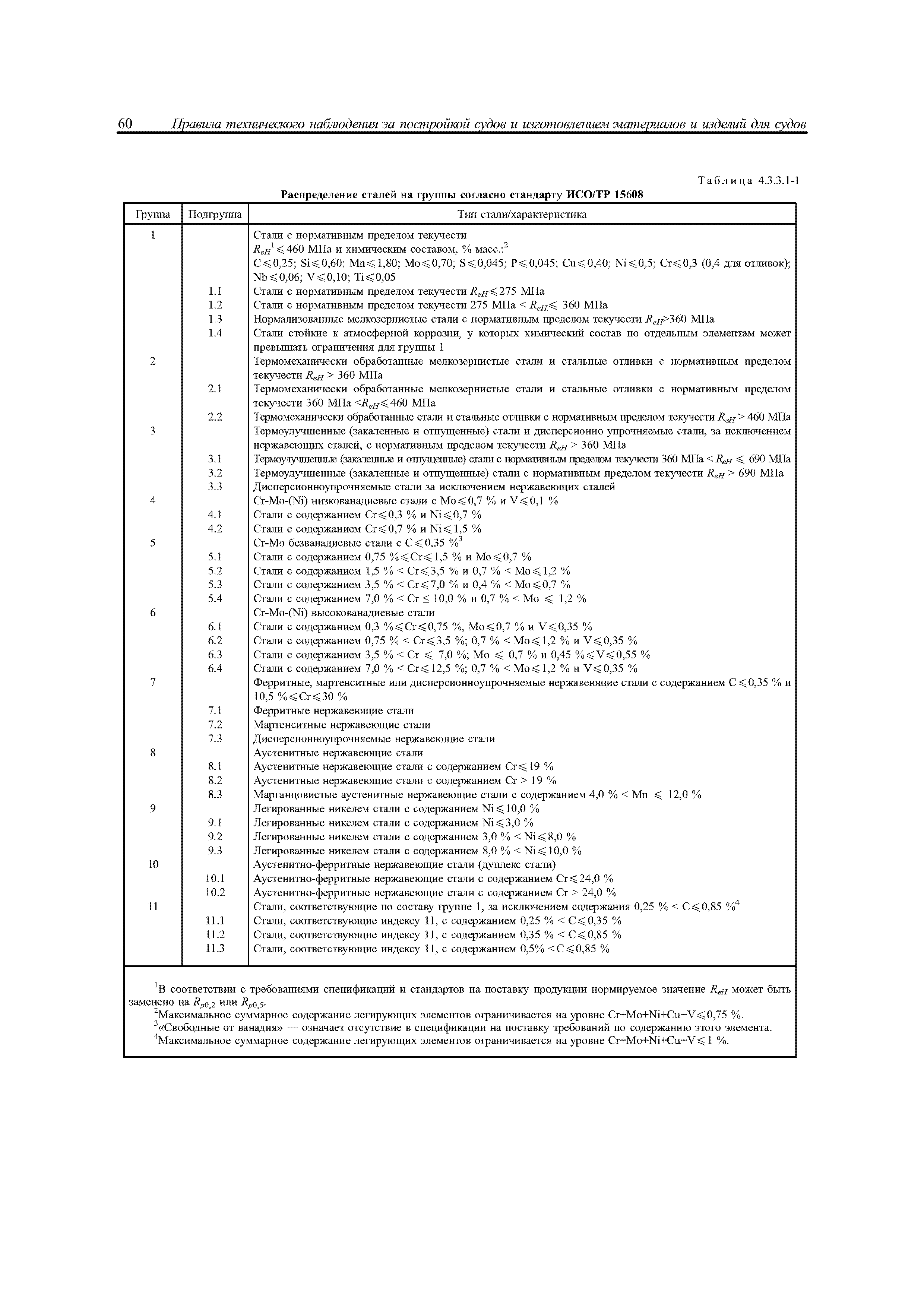
| Оглавление: | Часть III. Техническое наблюдение за изготовлением материалов 1 Общие положения 2 Металлические материалы 3 Неметаллические материалы 4 Сварка. Правила аттестации сварщиков Приложение 1. Типы проб сварных соединений, применяемые при практических испытаниях по допуску сварщиков Приложение 2. Унифицированные пространственные положения сварки согласно Стандарту ИСО 6947 Приложение 3. Протокол заседания аттестационной комиссии Приложение 4. Практические рекомендации по заполнению формы 7.1.30 «Свидетельство о допуске сварщика» Приложение 5. Положение о центрах по аттестации сварщиков (аттестационных центрах) Приложение 6. Разделы и вопросы для проведения экзамена по проверке профессиональных знаний сварщика Приложение 7. Описание типов наполнителя порошковой сварочной проволоки 5 Сварочные материалы. Требования к качеству изготовления, проведению испытаний и процедуре одобрения 6 Одобрение технологических процессов сварки стальных конструкций и изделий 7 Одобрение технологических процессов сварки алюминиевых сплавов 8 Одобрение технологических процессов сварки титановых сплавов Алфавитно-предметный указатель |
| Разработан: | Российский морской регистр судоходства |
| Утверждён: | 27.06.2013 Российский морской регистр судоходства |
| Издан: | Российский морской регистр судоходства (2013 г. ) |





























































































































































































