Скачать ГОСТ Р ИСО 15745-1-2014 Системы промышленной автоматизации и интеграция. Прикладная интеграционная среда открытых систем. Часть 1. Общее эталонное описаниеДата актуализации: 01.01.2021
|
| Обозначение: | ГОСТ Р ИСО 15745-1-2014 |
| Обозначение англ: | GOST R ISO 15745-1-2014 |
| Статус: | взамен |
| Название рус.: | Системы промышленной автоматизации и интеграция. Прикладная интеграционная среда открытых систем. Часть 1. Общее эталонное описание |
| Название англ.: | Industrial automation systems and integration. Open systems application integration framework. Part 1. Generic reference description |
| Дата добавления в базу: | 12.02.2016 |
| Дата актуализации: | 01.01.2021 |
| Дата введения: | 01.01.2016 |
| Область применения: | Стандарт распространяется на прикладную интеграционную среду - набор элементов и правил описания интеграционных моделей и профилей интероперабельности прикладных систем. Стандарт устанавливает общие элементы и правила описания интеграционных моделей и профилей интероперабельности прикладных систем вместе с профилями их компонентов, включающими профили процессов, обмена информацией и ресурсов. Стандарт распространяется на системы промышленной автоматизации, процесс сборки электронной аппаратуры, изготовление полупроводников и транспортирование материалов. Его следует использовать также в случае других работ по автоматизации и управления, таких как автоматизация коммунальных предприятий, сельского хозяйства, внедорожных транспортных средств, медицинских учреждений и лабораторий, а также системы общественного транспорта. |
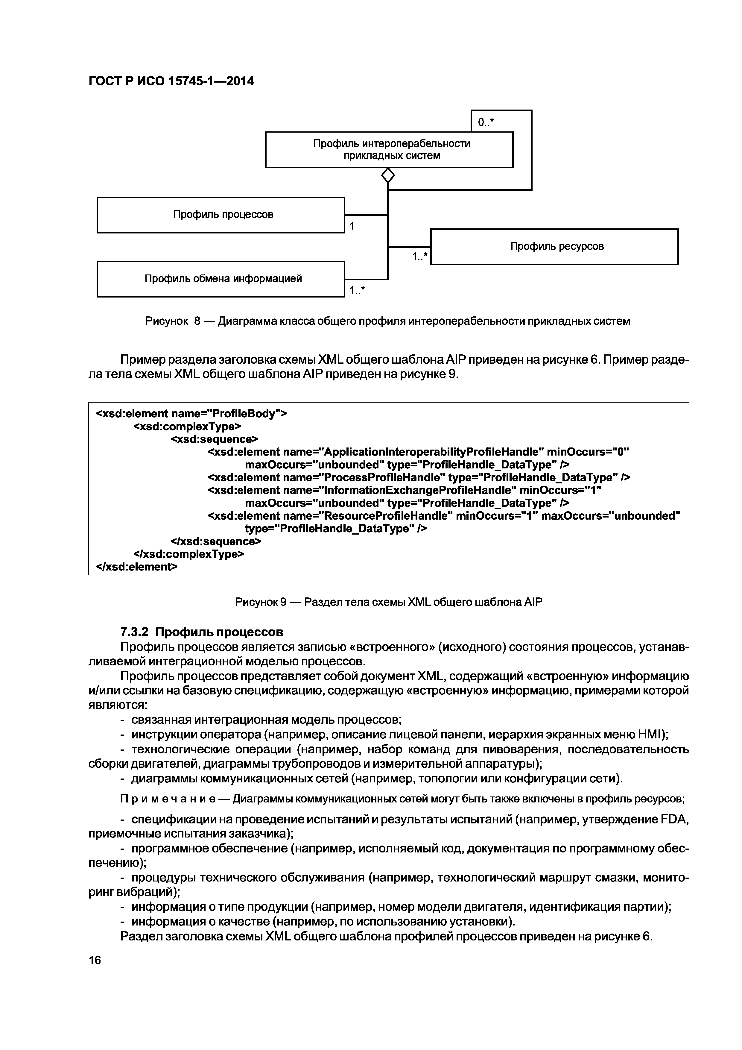
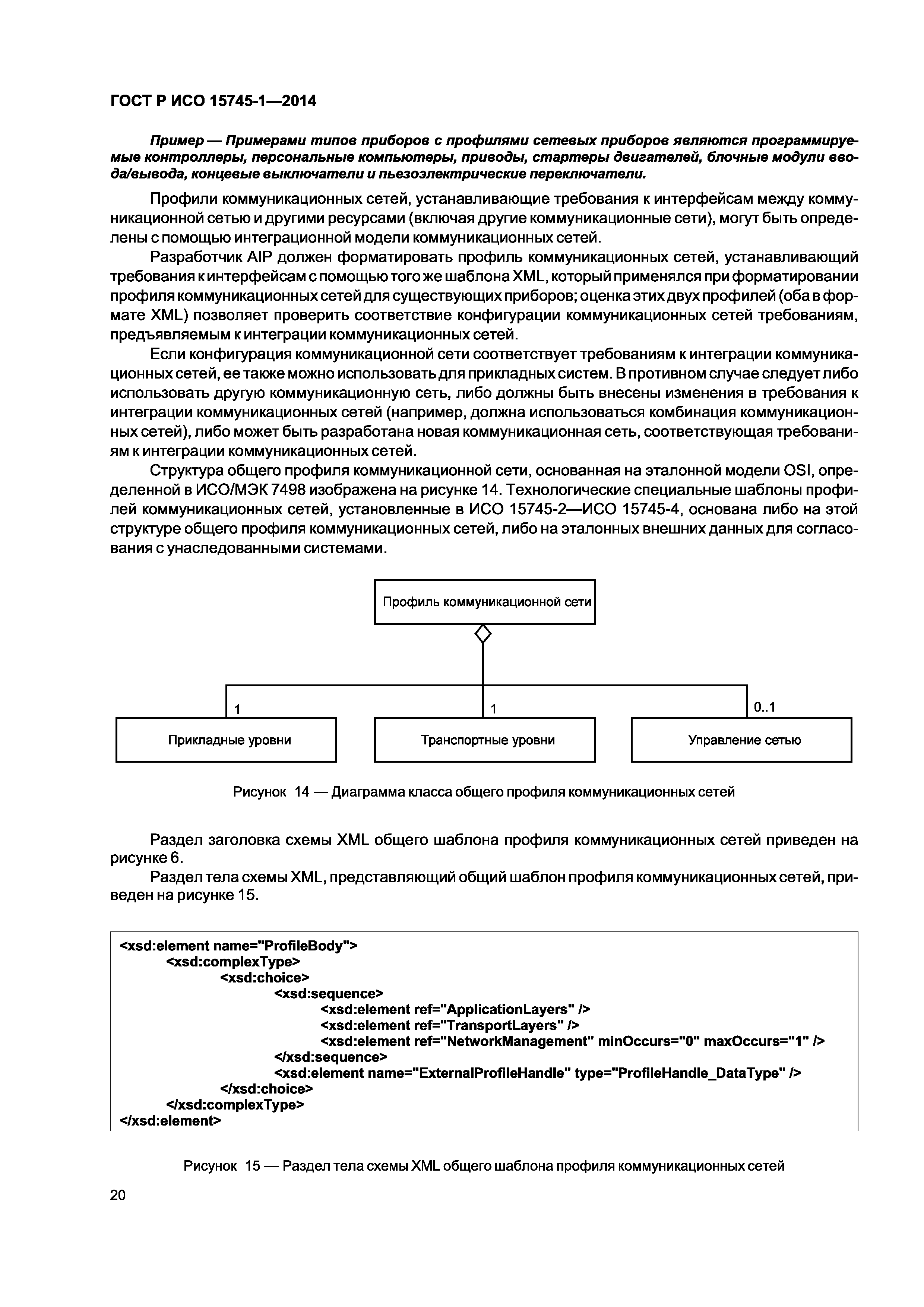
| Оглавление: | 1 Область применения 2 Нормативные ссылки 3 Термины и определения 4 Сокращения 4.1 Общие сокращения 4.2 Типы интерфейсов промышленных автоматизированных систем 5 Концепция прикладной интеграционной среды 5.1 Элементы и правила 5.2 Использование прикладной интеграционной среды для разработки профиля интероперабельности прикладной системы 6 Типы интеграционных моделей 6.1 Интеграционная модель процессов 6.2 Интеграционная модель обмена информацией 6.3 Интеграционная модель ресурсов 7 Шаблоны и типы профилей 7.1 Взаимосвязи шаблонов профилей 7.2 Основной шаблон профилей 7.3 Общие шаблоны профилей 7.4 Контейнер с профилями 8 Соответствие Приложение А (справочное) Терминология и нотация UML Приложение В (справочное) Типы интерфейсов промышленных автоматизированных систем Приложение ДА (справочное) Сведения о соответствии ссылочных международных стандартов национальным стандартам Российской Федерации Библиография |
| Разработан: | ООО НИИ Интерэкомс |
| Утверждён: | 26.11.2014 Росстандарт (1870-ст) |
| Издан: | Стандартинформ (2015 г. ) |
| Заменяет собой: | |
| Нормативные ссылки: |
|





































