Скачать ГОСТ Р МЭК 60688-2015 Преобразователи электрические измерительные для преобразования электрических параметров переменного и постоянного тока в аналоговые и цифровые сигналыДата актуализации: 01.01.2021
|
| Обозначение: | ГОСТ Р МЭК 60688-2015 |
| Обозначение англ: | GOST R IEC 60688-2015 |
| Статус: | введен впервые |
| Название рус.: | Преобразователи электрические измерительные для преобразования электрических параметров переменного и постоянного тока в аналоговые и цифровые сигналы |
| Название англ.: | Electrical measuring transducers for converting a.c. and d.c. electrical quantities to analogue or digital signals |
| Дата добавления в базу: | 12.02.2016 |
| Дата актуализации: | 01.01.2021 |
| Дата введения: | 01.01.2016 |
| Область применения: | Стандарт распространяется на преобразователи с электрическими входами и выходами для проведения измерений электрических величин переменного и постоянного тока. |
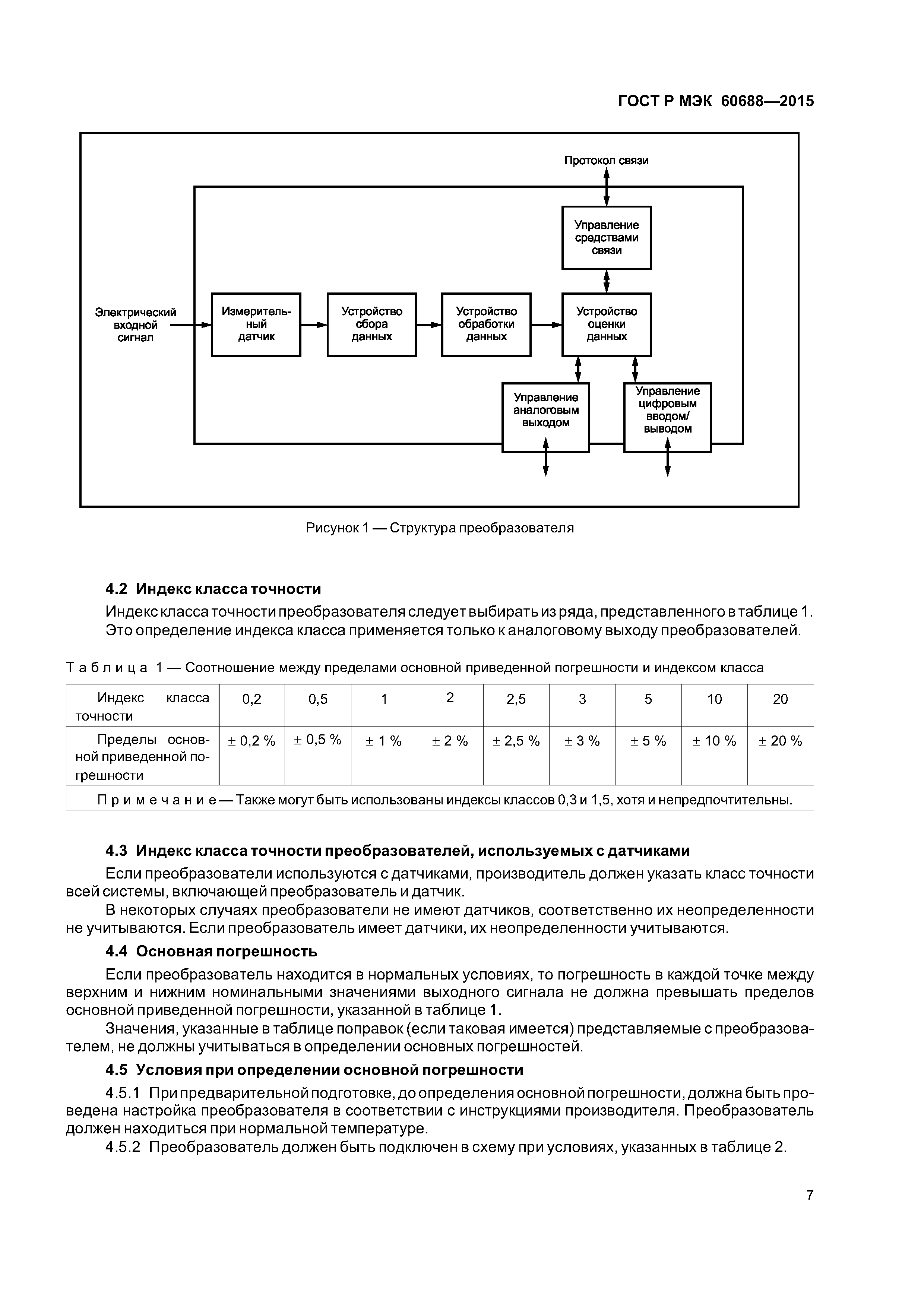
| Оглавление: | 1 Область применения 2 Нормативные ссылки 3 Термины и определения 3.1 Основные термины 3.2 Классификация преобразователей по измеряемой величине 3.3 Классификация преобразователей по типу выходной нагрузки 3.4 Номинальные значения 3.5 Пользовательская корректировка (настройка) 3.6 Влияющие величины и нормальные условия 3.7 Погрешности и отклонения 3.8 Точность, класс точности, индекс класса точности 4 Индекс класса точности, допустимые пределы основной погрешности, питание и нормальные условия 4.1 Общепринятая структура преобразователя 4.2 Индекс класса точности 4.3 Индекс класса точности преобразователей, используемых с датчиками 4.4 Основная погрешность 4.5 Условия при определении основной погрешности 4.6 Электропитание 4.7 Нормы техники безопасности: безопасное расстояние и длина пути тока утечки 5 Требования 5.1 Входные значения 5.2 Аналоговые выходы 5.3 Выходная передаточная функция 5.4 Цифровые выходные сигналы 5.5 Пульсации (для аналоговых выходов) 5.6 Время отклика 5.7 Дополнительная погрешность, обусловленная превышением диапазона измеряемой величины 5.8 Ограничение выходного сигнала 5.9 Ограничение условий эксплуатации 5.10 Пределы диапазона измерения 5.11 Условия хранения и транспортировки 5.12 Пломбирование 5.13 Стабильность 6 Испытания 6.1 Общее 6.2 Дополнительная погрешность, обусловленная изменением напряжения питания 6.3 Дополнительная погрешность, обусловленная изменением частоты источника питания переменного тока 6.4 Дополнительная погрешность, обусловленная изменением температуры окружающего воздуха 6.5 Дополнительная погрешность, обусловленная изменением частоты входной величины (величин) 6.6 Дополнительная погрешность, обусловленная изменением входного напряжения 6.7 Дополнительная погрешность, обусловленная изменением входного тока 6.8 Дополнительная погрешность, обусловленная изменением коэффициента мощности 6.9 Дополнительная погрешность, обусловленная изменением выходной нагрузки 6.10 Дополнительная погрешность, обусловленная искажением входной величины (величин) 6.11 Дополнительная погрешность, обусловленная наличием магнитного поля источника 6.12 Дополнительная погрешность, обусловленная наличием несбалансированных токов 6.13 Дополнительная погрешность, обусловленная взаимным влиянием измерительных элементов 6.14 Дополнительная погрешность, обусловленная самонагревом 6.15 Дополнительная погрешность, обусловленная непрерывным режимом (работы) 6.16 Дополнительная погрешность, обусловленная наличием синфазных помех 6.17 Дополнительная погрешность, обусловленная наличием аддитивных помех 6.18 Испытания повышенным напряжением, испытания прочности изоляции и другие нормы техники безопасности 6.19 Испытания импульсным напряжением 6.20 Испытание на высокочастотные помехи 6.21 Испытание на перегрев 6.22 Другие испытания 7 Маркировка и информация 7.1 Маркировка корпуса 7.2 Маркировка нормальных условий и рабочих областей значений для преобразователей 7.3 Обозначение соединений и клемм 7.4 Информация, указываемая в отдельном документе Приложение ДА (справочное) Сведения о соответствии ссылочных международных стандартов ссылочным национальным стандартам Российской Федерации Библиография |
| Разработан: | ФГУП ВНИИМС |
| Утверждён: | 27.03.2015 Федеральное агентство по техническому регулированию и метрологии (193-ст) |
| Издан: | Стандартинформ (2015 г. ) |
| Нормативные ссылки: |
|

































