Скачать ГОСТ 33539-2015 Карантин растений. Методы выявления и идентификации вируса Т картофеля

Дата актуализации: 01.01.2021

ГОСТ 33539-2015

Карантин растений. Методы выявления и идентификации вируса Т картофеля

Обозначение: ГОСТ 33539-2015
Обозначение англ: GOST 33539-2015
Статус:введен впервые
Название рус.:Карантин растений. Методы выявления и идентификации вируса Т картофеля
Название англ.:Plant quarantine. Methods of detection and identification of Potato virus T
Дата добавления в базу:01.02.2017
Дата актуализации:01.01.2021
Дата введения:01.01.2017
Область применения:Стандарт распространяется на растения картофеля Solanum tuberosum Linnaeus и устанавливает методы выявления и идентификации вируса Т картофеля Potato virus T.
Оглавление:1 Область применения
2 Нормативные ссылки
3 Термины, определения и сокращения
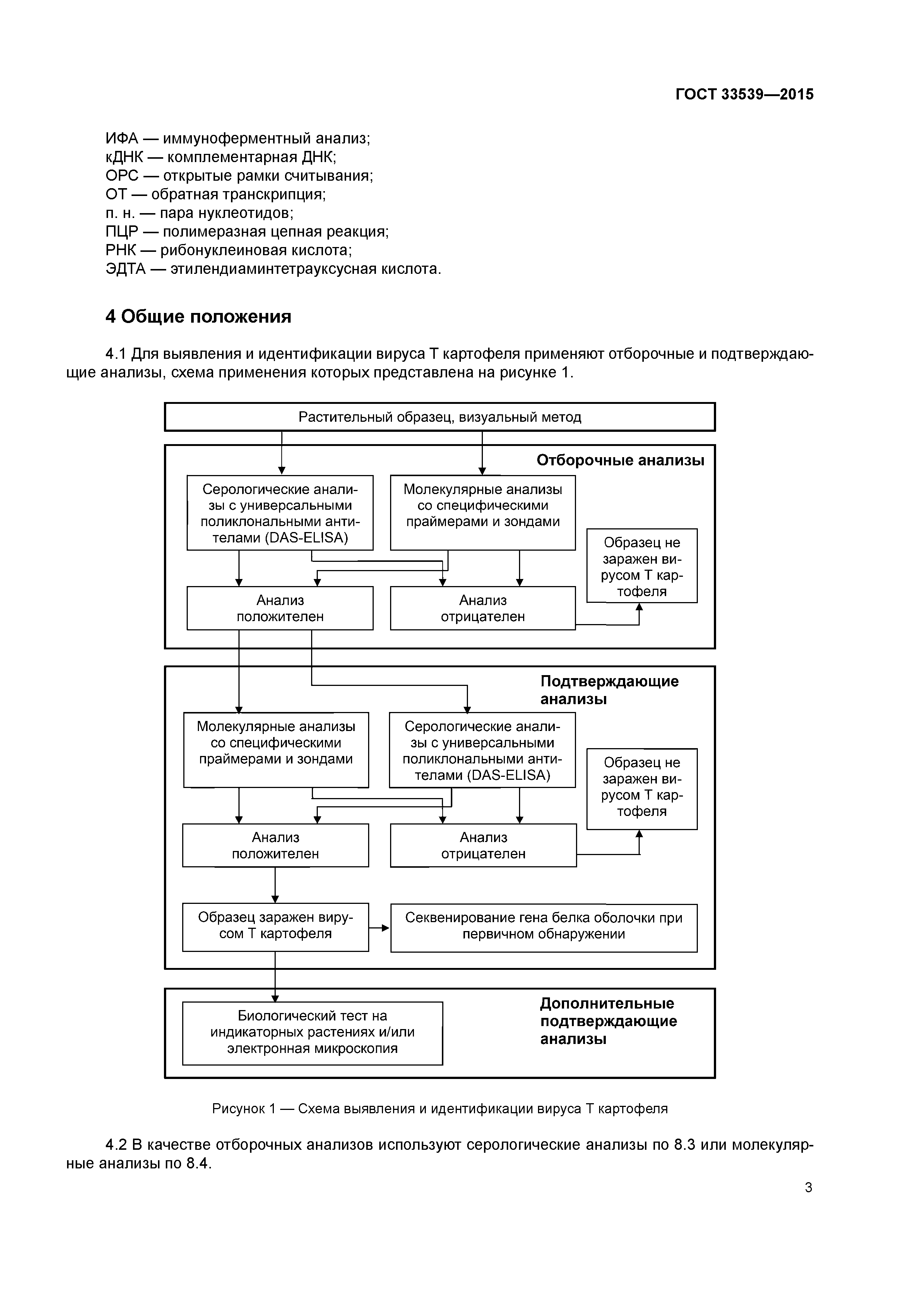
4 Общие положения
5 Общие требования
   5.1 Требования безопасности
   5.2 Требования к лаборатории
   5.3 Требования к персоналу
6 Средства измерений, аппаратура, реактивы, посуда и материалы
7 Подготовка к исследованиям
   7.1 Приготовление растворов
   7.2 Отбор и хранение проб и образцов
8 Методы выявления и идентификации вируса Т картофеля
   8.1 Общие положения
   8.2 Визуальный метод выявления
   8.3 Серологический метод выявления и идентификации
   8.4 Молекулярный метод выявления и идентификации
   8.5 Биологический метод идентификации
9 Требования к протоколу исследования
Приложение А (справочное) Общие сведения о вирусе Т картофеля
Приложение Б (справочное) Симптомы поражения вирусом Т картофеля
Разработан: ФГБУ ВНИИКР
Утверждён:29.09.2015 Межгосударственный Совет по стандартизации, метрологии и сертификации (Inter-Governmental Council on Standardization, Metrology, and Certification 80-П)
23.10.2015 Федеральное агентство по техническому регулированию и метрологии (1625-ст)
Издан: Стандартинформ (2016 г. )
Стандартинформ (2019 г. )
Список изменений:
Нормативные ссылки:
ГОСТ 33539-2015ГОСТ 33539-2015ГОСТ 33539-2015ГОСТ 33539-2015ГОСТ 33539-2015ГОСТ 33539-2015ГОСТ 33539-2015ГОСТ 33539-2015ГОСТ 33539-2015ГОСТ 33539-2015ГОСТ 33539-2015ГОСТ 33539-2015ГОСТ 33539-2015ГОСТ 33539-2015ГОСТ 33539-2015ГОСТ 33539-2015ГОСТ 33539-2015ГОСТ 33539-2015ГОСТ 33539-2015ГОСТ 33539-2015ГОСТ 33539-2015ГОСТ 33539-2015ГОСТ 33539-2015ГОСТ 33539-2015

Текстовое изменение Поправка от 12.08.2019

Поправка