Скачать Административный регламент Федеральной службы государственной регистрации, кадастра и картографии по исполнению Федеральной службой государственной регистрации, кадастра и картографии государственной функции по осуществлению государственного земельного надзораДата актуализации: 01.01.2021 |
| Статус: | утратил силу |
| Название рус.: | Административный регламент Федеральной службы государственной регистрации, кадастра и картографии по исполнению Федеральной службой государственной регистрации, кадастра и картографии государственной функции по осуществлению государственного земельного надзора |
| Дата добавления в базу: | 12.02.2016 |
| Дата актуализации: | 01.01.2021 |
| Дата введения: | 06.12.2015 |
| Дата окончания срока действия: | 18.11.2019 |
| Область применения: | Административный регламент Федеральной службы государственной регистрации, кадастра и картографии по исполнению Федеральной службой государственной регистрации, кадастра и картографии государственной функции по осуществлению государственного земельного надзора определяет сроки и последовательность административных процедур (действий) Федеральной службы государственной регистрации, кадастра и картографии при исполнении государственной функции по осуществлению государственного земельного надзора |
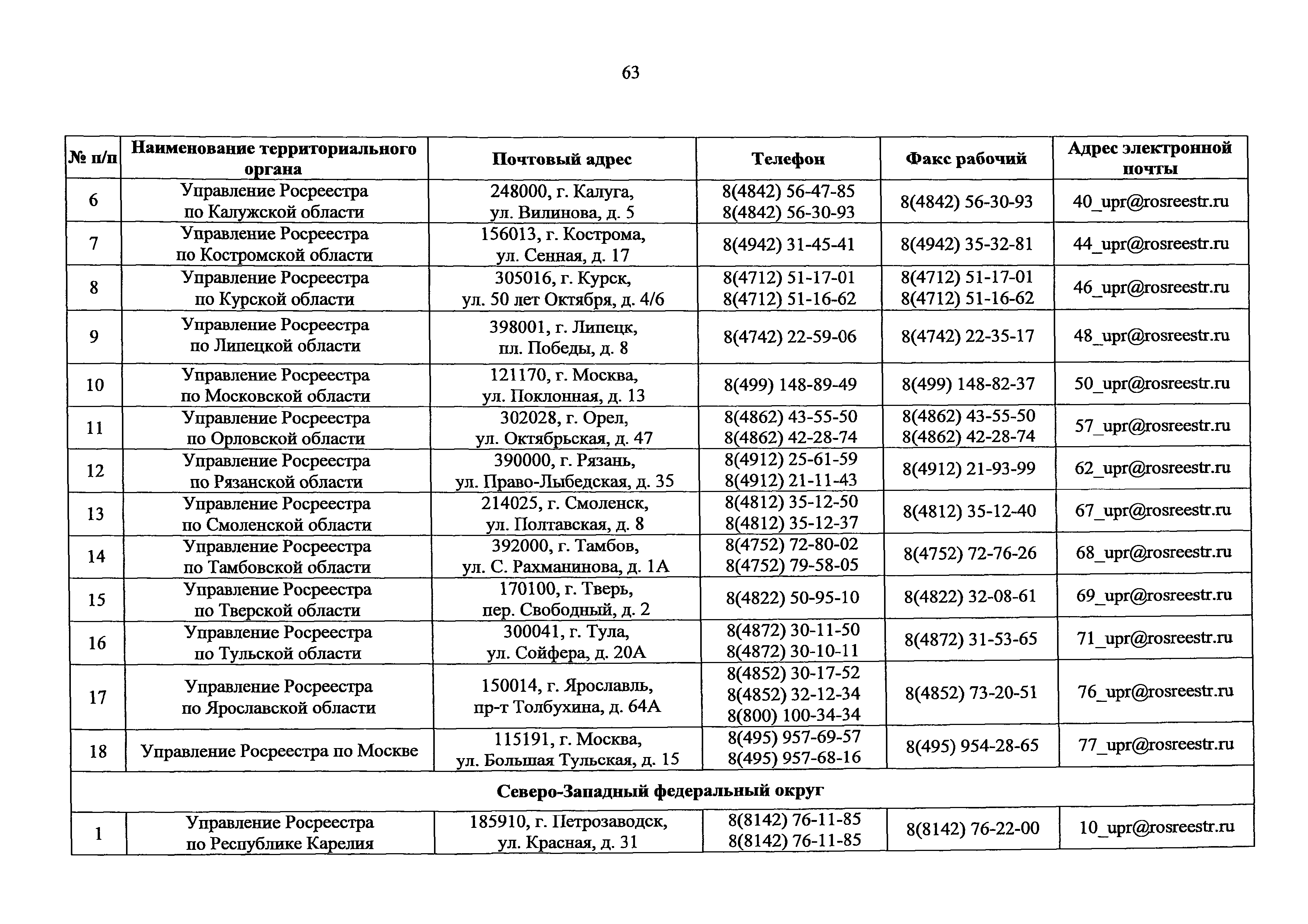
| Оглавление: | I. Общие положения II. Требования к порядку исполнения государственной функции III. Состав, последовательность и сроки выполнения административных процедур, требования к порядку их выполнения, в том числе особенности выполнения административных процедур в электронной форме IV. Порядок и формы контроля за исполнением государственной функции V. Досудебный (внесудебный) порядок обжалования решений и действий (бездействия) Росреестра (территориальных органов) при исполнении государственной функции Приложение № 1. Сведения о территориальных органах Федеральной службы государственной регистрации, кадастра и картографии, исполняющих государственную функцию по осуществлению государственного земельного надзора Приложение № 2. Блок-схемы последовательности административных процедур при исполнении Федеральной службы государственной регистрации, кадастра и картографии государственной функции по осуществлению государственного земельного надзора |
| Утверждён: | 20.07.2015 Министерство экономического развития РФ (486) |
| Издан: | Официальный интернет-портал правовой информации (www.pravo.gov.ru) (от 25.11.2015 г. Номер опубликования: 0001201511250008) |
| Список изменений: |
|
| Нормативные ссылки: |
|










































































Текстовое изменение № 1 от 13.05.2017
















