Скачать ГОСТ Р 56807-2015 Композиты полимерные. Внесение результатов испытаний механических свойств полимерных композитов в электронные базы данных. Общие требованияДата актуализации: 01.01.2021
|
| Обозначение: | ГОСТ Р 56807-2015 |
| Обозначение англ: | GOST R 56807-2015 |
| Статус: | введен впервые |
| Название рус.: | Композиты полимерные. Внесение результатов испытаний механических свойств полимерных композитов в электронные базы данных. Общие требования |
| Название англ.: | Polymer composites. Recording of mechanical test data of polymer composites in electronic databases. General requirements |
| Дата добавления в базу: | 01.02.2017 |
| Дата актуализации: | 01.01.2021 |
| Дата введения: | 01.01.2017 |
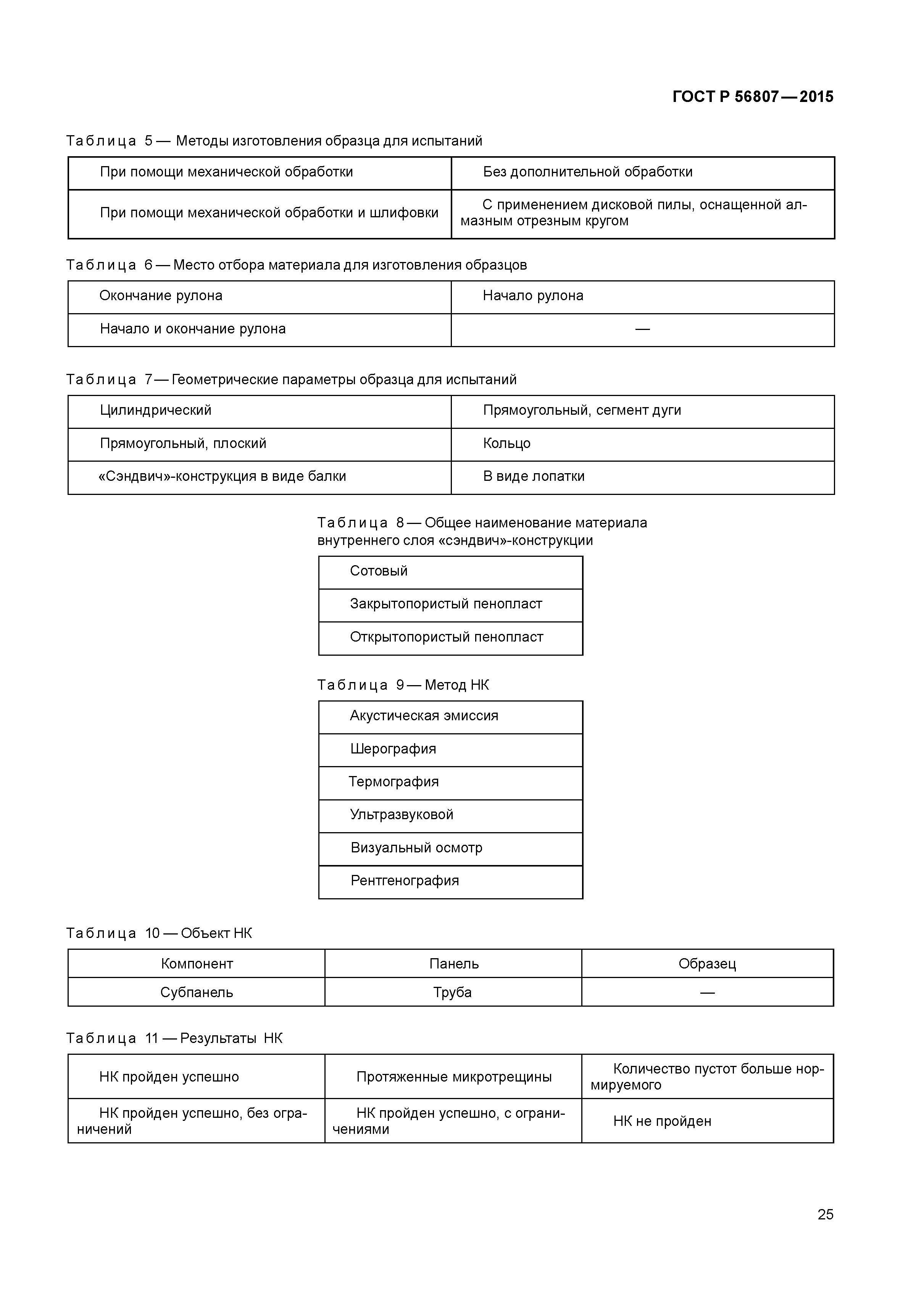
| Область применения: | Стандарт распространяется на полимерные композиты, армированные волокном, и устанавливает требования к внесению результатов испытаний механических свойств композитов в электронные базы данных. |
| Оглавление: | 1 Область применения 2 Нормативные ссылки 3 Термины и определения 4 Регистрация данных Приложение ДА (справочное) Оригинальный текст невключенных структурных элементов Приложение ДБ (справочное) Оригинальный текст модифицированных структурных элементов Приложение ДВ (справочное) Сведения о соответствии ссылочных национальных и межгосударственных стандартов стандартам, использованным в качестве ссылочных в примененном стандарте АСТМ Приложение ДГ (справочное) Сопоставление структуры настоящего стандарта со структурой примененного в нем стандарта АСТМ Библиография |
| Разработан: | Объединение юридических лиц Союз производителей композитов ОАО НПО Стеклопластик ООО Центр исследований и разработок Инновации будущего |
| Утверждён: | 27.11.2015 Федеральное агентство по техническому регулированию и метрологии (2064-ст) |
| Издан: | Стандартинформ (2016 г. ) |
| Нормативные ссылки: |
|




















































