Скачать ГОСТ Р 56844-2015 Информатизация здоровья. Информационное взаимодействие с персональными медицинскими приборами. Часть 20101. Прикладные профили. Базовый стандартДата актуализации: 01.01.2021
|
| Обозначение: | ГОСТ Р 56844-2015 |
| Обозначение англ: | GOST R 56844-2015 |
| Статус: | введен впервые |
| Название рус.: | Информатизация здоровья. Информационное взаимодействие с персональными медицинскими приборами. Часть 20101. Прикладные профили. Базовый стандарт |
| Название англ.: | Health informatics. Point-of-care medical device communication. Part 20101. Application profiles. Base standard |
| Дата добавления в базу: | 01.02.2017 |
| Дата актуализации: | 01.01.2021 |
| Дата введения: | 01.11.2016 |
| Область применения: | Область применения стандарта распространяется на сервисы и протоколы верхнего уровня (т.е. уровень приложения, уровень представления и сеансовый уровень взаимодействия открытых систем по ИСО), используемые для обмена информацией в соответствии со стандартами ИСО/ИИЭР 11073, регламентирующими коммуникации медицинских приборов (MDC). Стандарт является базовым стандартом ИСО/ИИЭР 11073-20000 для прикладных профилей медицинских приборов (MDAP), что было согласовано с Европейским комитетом по стандартизации (ЕКС) и ИСО. |
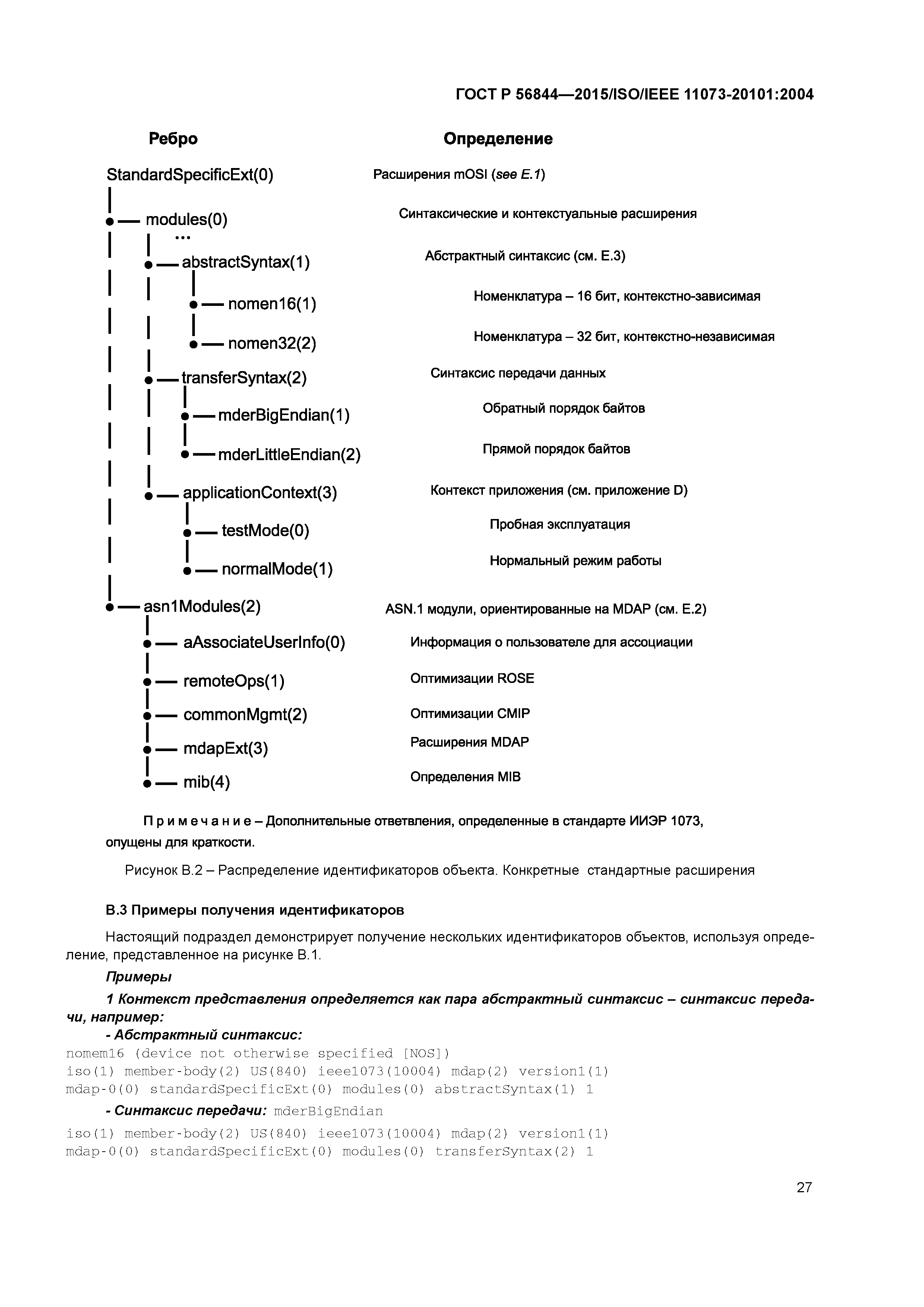
| Оглавление: | 1 Обзор 1.1 Область применения 1.2 Назначение 1.3 Цели 1.4 Пользователи стандарта 2 Нормативные ссылки 3 Термины, определения и сокращения 3.1 Термины и определения 3.2 Сокращения 4 Условные обозначения 5 Обоснование 5.1 Коммуникационная модель 5.2 Информационная модель 6 Коммуникационная модель 6.1 Общие положения 6.2 Сервисный элемент управления ассоциацией (ACSE) 6.3 Протокол сеансового уровня 6.4 Протокол уровня представления 6.5 Протокол ROSE 6.6 Протокол CMDISE (CMDIP) 7 Информационная модель 7.1 Модель объекта 7.2 Модель формата 8 Соответствие 8.1 Область применения 8.2 Администрирование идентификатора объекта 8.3 Соответствие подмножества MDAP 8.4 Соответствие реализации Приложение А (обязательное) Правила кодирования медицинских приборов (MDER) Приложение В (обязательное) Распределение идентификаторов Приложение С (справочное) Временная синхронизация Приложение D (справочное) динамическая модель Приложение Е (обязательное) Абстрактный синтаксис Приложение F (справочное) Примеры блоков PDU Приложение G (справочное) Специализация ASN.1 Приложение Н (справочное) Вопросы совместимости Приложение ДА (справочное) Сведения о соответствии ссылочных международных стандартов и документов национальным стандартам Российской Федерации Библиография |
| Разработан: | ООО Корпоративные электронные системы ФГБУ ЦНИИОИЗ Минздрава |
| Утверждён: | 28.12.2015 Федеральное агентство по техническому регулированию и метрологии (2232-ст) |
| Издан: | Стандартинформ (2016 г. ) |
| Нормативные ссылки: |
|













































































