Скачать ГОСТ Р 56843-2015 Информатизация здоровья. Информационное взаимодействие с персональными медицинскими приборами. Часть 10201. Информационная модель предметной областиДата актуализации: 01.01.2021
|
| Обозначение: | ГОСТ Р 56843-2015 |
| Обозначение англ: | GOST R 56843-2015 |
| Статус: | введен впервые |
| Название рус.: | Информатизация здоровья. Информационное взаимодействие с персональными медицинскими приборами. Часть 10201. Информационная модель предметной области |
| Название англ.: | Health informatics. Point-of-care medical device communication. Part 10201. Domain information model |
| Дата добавления в базу: | 01.02.2017 |
| Дата актуализации: | 01.01.2021 |
| Дата введения: | 01.11.2016 |
| Область применения: | В общем контексте комплекса стандартов ИСО/ИИЭР 11073 задачей настоящего стандарта является определение и структуризация информации, которая непосредственно используется или хотя бы упоминается в процессе коммуникации между сущностями, относящимися к данной предметной области (предметными сущностями, прикладными сущностями). |
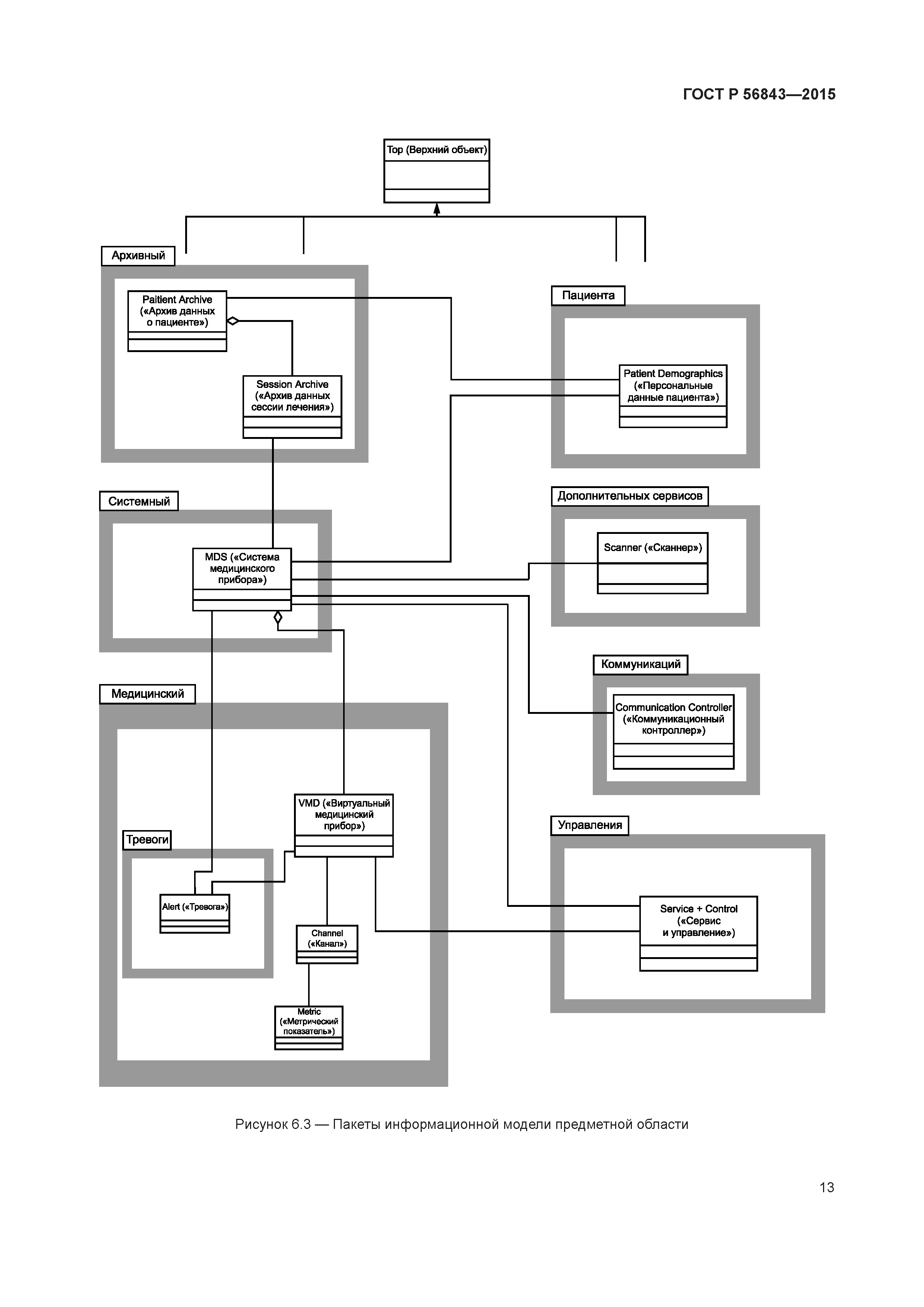
| Оглавление: | 1 Область применения 2 Нормативные ссылки 3 Термины и определения 4 Сокращения 5 Общие требования 6 Информационная модель предметной области (DIM) 6.1 Общие положения 6.2 Диаграмма пакетов. Краткий обзор 6.3 Модель Медицинского пакета 6.4 Модель Пакета тревоги 6.5 Модель Пакета системы 6.6 Модель Пакета управления 6.7 Модель Пакета дополнительных сервисов 6.8 Модель Пакета коммуникаций 6.9 Модель Архивного пакета 6.10 Модель Пакета пациента 6.11 Информационная модель предметной области (DIM). Динамическая модель 7 Определения объектов DIM 7.1 Общие положения 7.2 Главный объект (базовый класс) 7.3 Объекты в Медицинском пакете 7.4 Объекты в Пакете тревоги 7.5 Объекты в Пакете система 7.6 Объекты в Пакете управления 7.7 Объекты в Расширенном пакете сервисов 7.8 Объекты в Пакете коммуникаций 7.9 Объекты в Архивном пакете 7.10 Объекты в Пакете пациента 8 Модель сервисов коммуникационных систем 8.1 Общие положения 8.2 Коммуникационные системы 8.3 Общая модель сервисов 8.4 Общее определение сервисов для работы с управляемыми медицинскими объектами 9 Номенклатура MDIB 10 Модель соответствия 10.1 Применимость 10.2 Спецификация соответствия 10.3 Декларации соответствия реализации (ICS) Приложение ДА (справочное) Сведения о соответствии ссылочных международных стандартов и документов национальным стандартам Российской Федерации |
| Разработан: | ООО Корпоративные электронные системы ФГБУ ЦНИИОИЗ Минздрава |
| Утверждён: | 28.12.2015 Федеральное агентство по техническому регулированию и метрологии (2231-ст) |
| Издан: | Стандартинформ (2016 г. ) |
| Нормативные ссылки: |
|



















































































































































































