Скачать Нормативы градостроительного проектирования Московской областиДата актуализации: 01.01.2021 |
| Статус: | действует |
| Название рус.: | Нормативы градостроительного проектирования Московской области |
| Дата добавления в базу: | 01.02.2017 |
| Дата актуализации: | 01.01.2021 |
| Дата введения: | 17.09.2015 |
| Область применения: | Нормативы содержат расчетные количественные показатели и качественные характеристики обеспечения благоприятных условий жизнедеятельности населения Московской области. Нормативы устанавливают обязательные требования для всех субъектов градостроительных отношений при строительстве и реконструкции объектов капитального строительства в Московской области. |
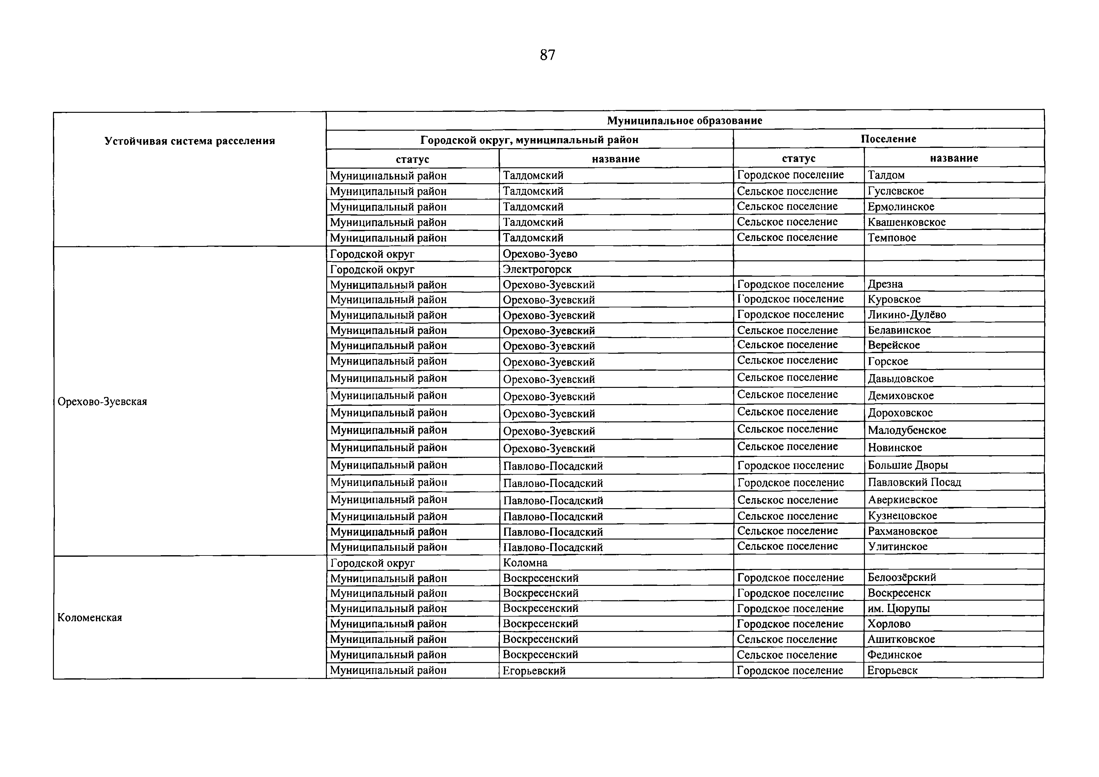
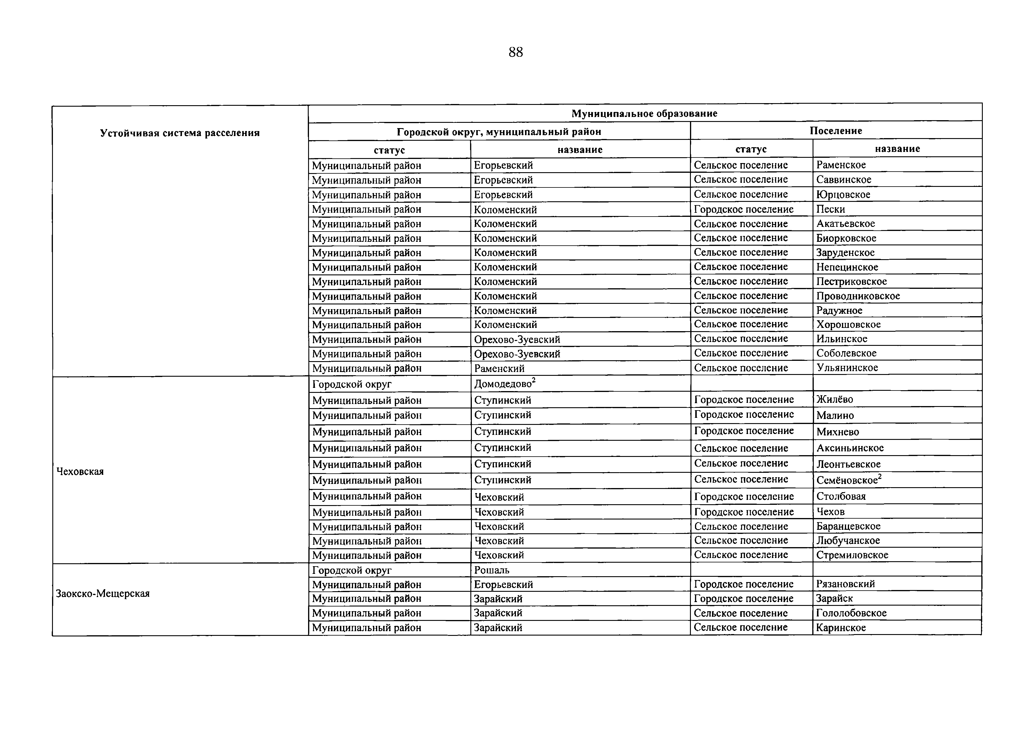
| Оглавление: | Общие положения Раздел 1. Основная часть (расчетные показатели) 1. Расчетные показатели интенсивности использования жилых территорий в населенных пунктах и плотности населения на жилых территориях при различных показателях жилищной обеспеченности и при различных типах застройки 2. Расчетные показатели интенсивности использования производственных территорий в населённых пунктах 3. Расчетные показатели плотности сети автомобильных дорог общего пользования 4. Расчетные показатели плотности сети общественного пассажирского транспорта 5. Расчетные показатели потребности в территориях различного назначения 6. Расчетные показатели допустимой пешеходной и транспортной доступности объектов социального и культурного обслуживания 7. Расчетные показатели при различных планировочных условиях минимально и максимально допустимых расстояний между проектируемыми: улицами, проездами, разъездными площадками применительно к различным элементам планировочной структуры территории; зданиями, строениями и сооружениями различных типов 8. Расчетные показатели обеспеченности жителей Московской области основными видами инженерного обеспечения (энерго-, тепло-, газоснабжение, водоснабжение, водоотведение, услуги связи) в целом по Московской области и дифференцированные по отдельным территориям Московской области 9. Допустимые соотношения застроенных, лесных и сельскохозяйственных территорий по Московской области в целом и дифференцированные по отдельным территориям Московской области Раздел II. Материалы по обоснованию расчетных показателей 1. Материалы по обоснованию расчетных показателей интенсивности использования жилых территорий в населенных пунктах и плотности населения на жилых территориях 2. Материалы по обоснованию расчетных показателей интенсивности использования производственных территорий в населенных пунктах 3. Материалы по обоснованию расчетных показателей плотности сети автомобильных дорог общего пользования 4. Материалы по обоснованию расчетных показателей плотности сети общественного пассажирского транспорта 5. Материалы по обоснованию расчетных показателей потребности в территориях различного назначения 6. Материалы по обоснованию расчетных показателей допустимой пешеходной и транспортной доступности объектов социального и культурного обслуживания 7. Материалы по обоснованию расчетных показателей обеспеченности жителей Московской области основными видами инженерного обеспечения (энерго-, тепло-, газоснабжение, водоснабжение, водоотведение, услуги связи) 8. Материалы по обоснованию допустимых соотношений застроенных, лесных и сельскохозяйственных территорий Раздел III. Правила и область применения расчетных показателей Приложение № 1. Типология устойчивых систем расселения Московской области Приложение № 2. Состав устойчивых систем расселения Московской области Приложение № 3. Дифференциация городов Московской области по численности населения Приложение № 4. Дифференциация поселков городского типа (рабочих и дачных поселков) Московской области по численности населения Приложение № 5. Примерный состав объектов различного назначения, размещаемых в границах квартала, жилого района и населенного пункта Приложение № 6. Перечень документов, использованных в материалах по обоснованию расчетных показателей Приложение № 7. Правила применения расчетных показателей на демонстрационных примерах |
| Утверждён: | 17.08.2015 Правительство Московской области (Government of the Moscow Region 713/30) |
| Список изменений: |
|
| Заменяет собой: | |
| Нормативные ссылки: |
|






































































































Текстовое изменение № от 16.09.2017


Текстовое изменение № от 21.03.2017





