Скачать Нормативы градостроительного проектирования Московской областиДата актуализации: 01.01.2021 |
| Статус: | утратил силу |
| Название рус.: | Нормативы градостроительного проектирования Московской области |
| Дата добавления в базу: | 01.10.2014 |
| Дата актуализации: | 01.01.2021 |
| Дата введения: | 24.07.2014 |
| Дата окончания срока действия: | 17.09.2015 |
| Область применения: | Нормативы содержат расчетные количественные показатели и качественные характеристики обеспечения благоприятных условий жизнедеятельности населения Московской области. Нормативы устанавливают обязательные требования для всех субъектов градостроительных отношений при строительстве и реконструкции объектов капитального строительства в Московской области. Нормативы применяются при подготовке документов территориального планирования Московской области, документов территориального планирования муниципальных образований Московской области, документации по планировке территории. |
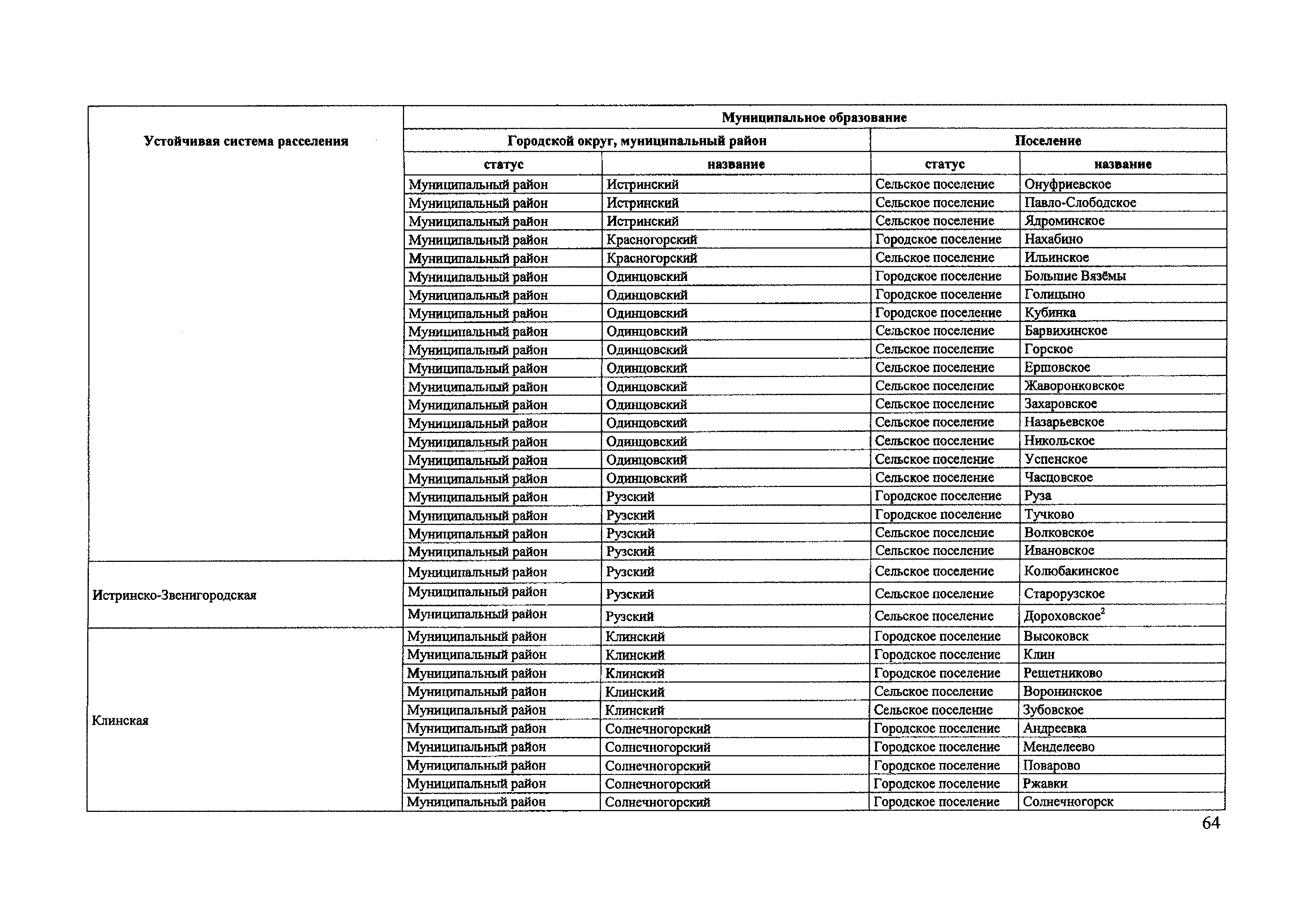
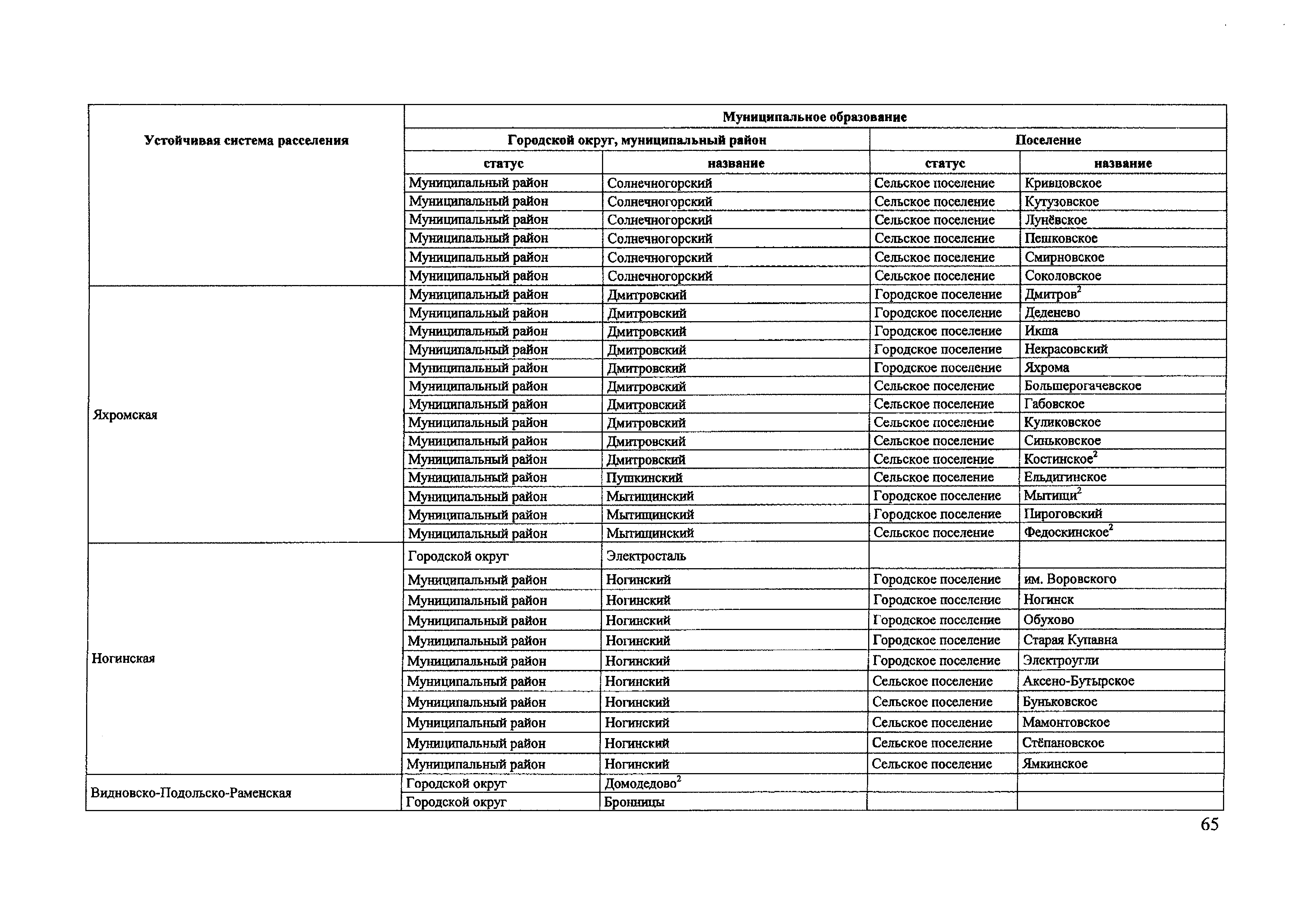
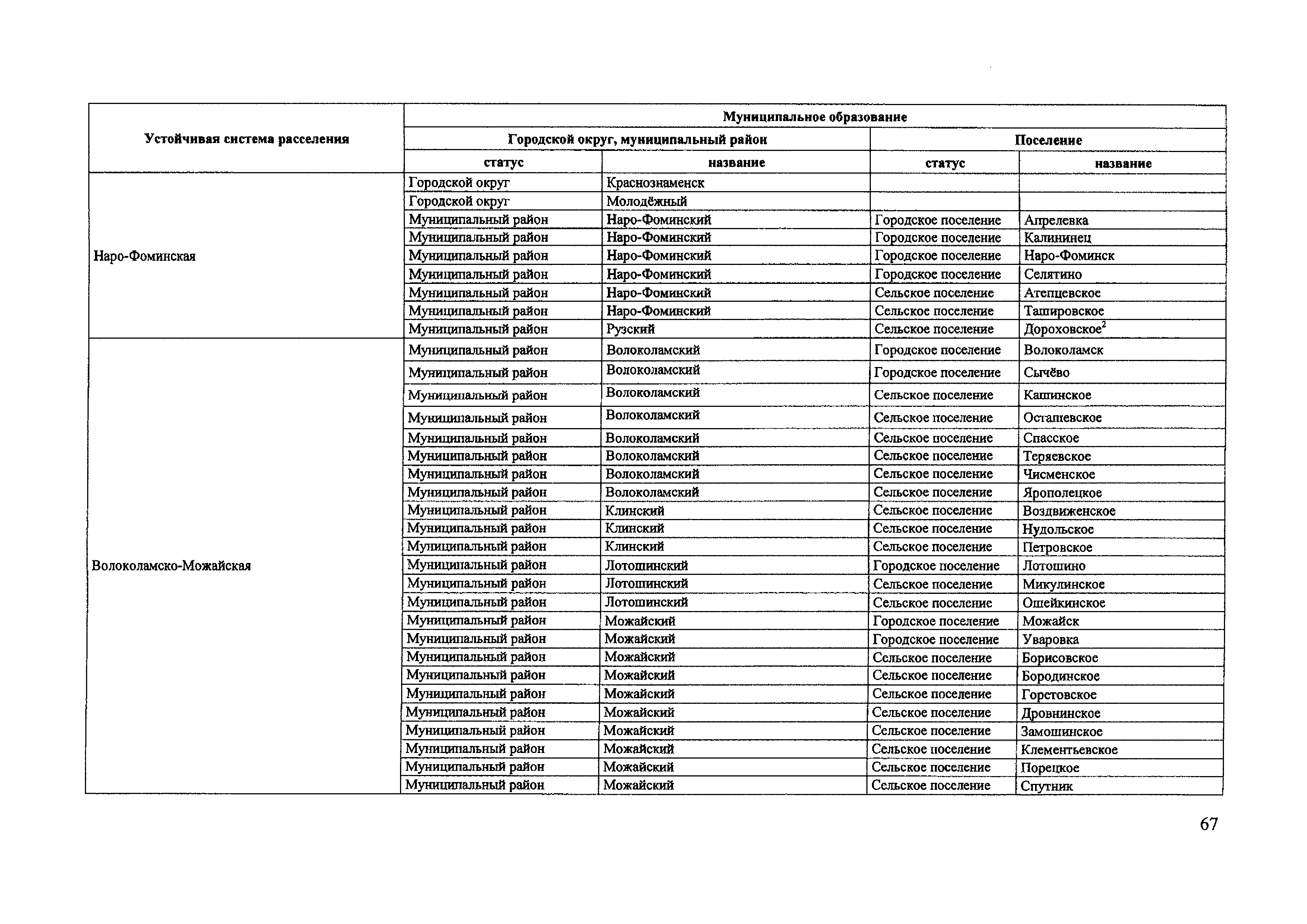
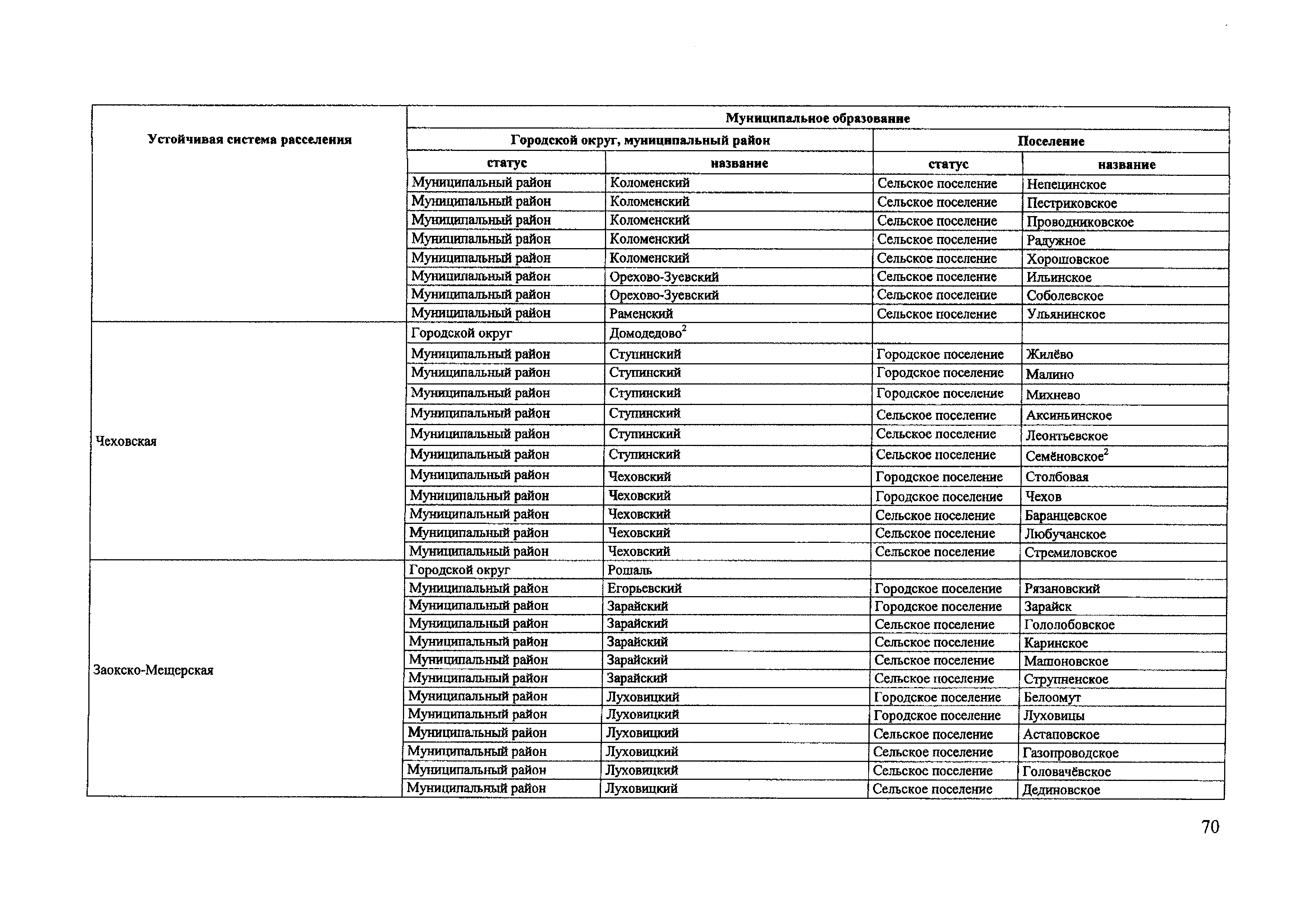
| Оглавление: | Общие положения Раздел I. Расчетные показатели интенсивности использования жилых территорий в населенных пунктах и плотности населения на жилых территориях при различных показателях жилищной обеспеченности и при различных типах застройки Раздел II. Расчетные показатели интенсивности использования производственных территорий в населенных пунктах Раздел III. Расчетные показатели плотности сети автомобильных дорог общего пользования Раздел IV. Расчетные показатели плотности сети общественного пассажирского транспорта Раздел V. Расчетные показатели потребности в территориях различного назначения Раздел VI. Расчетные показатели допустимой пешеходной и транспортной доступности объектов социального и культурного обслуживания Раздел VII. Расчетные показатели при различных планировочных условиях минимально и максимально допустимых расстояний между проектируемыми: улицами, проездами, разъездными площадками применительно к различным элементам планировочной структуры территории; зданиями, строениями и сооружениями различных типов Раздел VIII. Расчетные показатели обеспеченности жителей Московской области основными видами инженерного обеспечения (энерго-, тепло-, газоснабжение, водоснабжение, водоотведение) в целом по Московской области и дифференцированные по отдельным территориям Московской области Раздел IX. Допустимые соотношения застроенных, лесных и сельскохозяйственных территорий по Московской области в целом и дифференцированные по отдельным территориям Московской области Приложение № 1. Типология устойчивых систем расселения Московской области Приложение № 2. Состав устойчивых систем расселения Московской области Приложение № 3. Дифференциация городов Московской области по численности населения Приложение № 4. Дифференциация поселков городского типа Московской области по численности населения Приложение № 5. Примерный состав объектов различного назначения, размещаемых в границах квартала, жилого района и населенного пункта |
| Утверждён: | 24.06.2014 Правительство Московской области (Government of the Moscow Region 491/20) |
| Заменяет собой: | |
| Нормативные ссылки: |
|














































































