Скачать ГОСТ 33677-2015 Машины и орудия для междурядной и рядной обработки почвы. Методы испытаний

Дата актуализации: 01.01.2021

ГОСТ 33677-2015

Машины и орудия для междурядной и рядной обработки почвы. Методы испытаний

Обозначение: ГОСТ 33677-2015
Обозначение англ: GOST 33677-2015
Статус:введен впервые
Название рус.:Машины и орудия для междурядной и рядной обработки почвы. Методы испытаний
Название англ.:Machines and instruments for inter-row and row tillage. Test methods
Дата добавления в базу:01.02.2017
Дата актуализации:01.01.2021
Дата введения:01.07.2017
Область применения:Стандарт распространяется на следующие машины и орудия для междурядной и рядной обработки почвы (далее - машины): - культиваторы с пассивными и активными рабочими органами; - культиваторы-растениепитатели и сменные рабочие органы к ним; - окучники; - бороны прополочные, бороздорезы; - приспособления подкормочные; - прореживатели всходов, прореживатели вдольрядные (механические и электронные); - ботвоотводы. Настоящий стандарт устанавливает методы испытаний вышеперечисленных типов машин.
Оглавление:1 Область применения
2 Нормативные ссылки
3 Термины и определения
4 Общие положения
5 Подготовка к испытаниям
6 Методы оценки технических параметров
7 Методы агротехнической оценки
   7.1 Номенклатура определяемых показателей
   7.2 Требования к фонам и условиям испытаний
   7.3 Определение показателей условий испытаний
   7.4 Требования к режимам испытаний
   7.5 Определение показателей качества выполнения технологического процесса
   7.6 Средства измерений и оборудование, применяемые при определении показателей агротехнической оценки
8 Методы энергетической оценки
9 Методы оценки безопасности и эргономичности конструкции
10 Методы оценки надежности
11 Методы эксплуатационно-технологической оценки
12 Методы экономической оценки
13 Обработка и анализ результатов испытаний
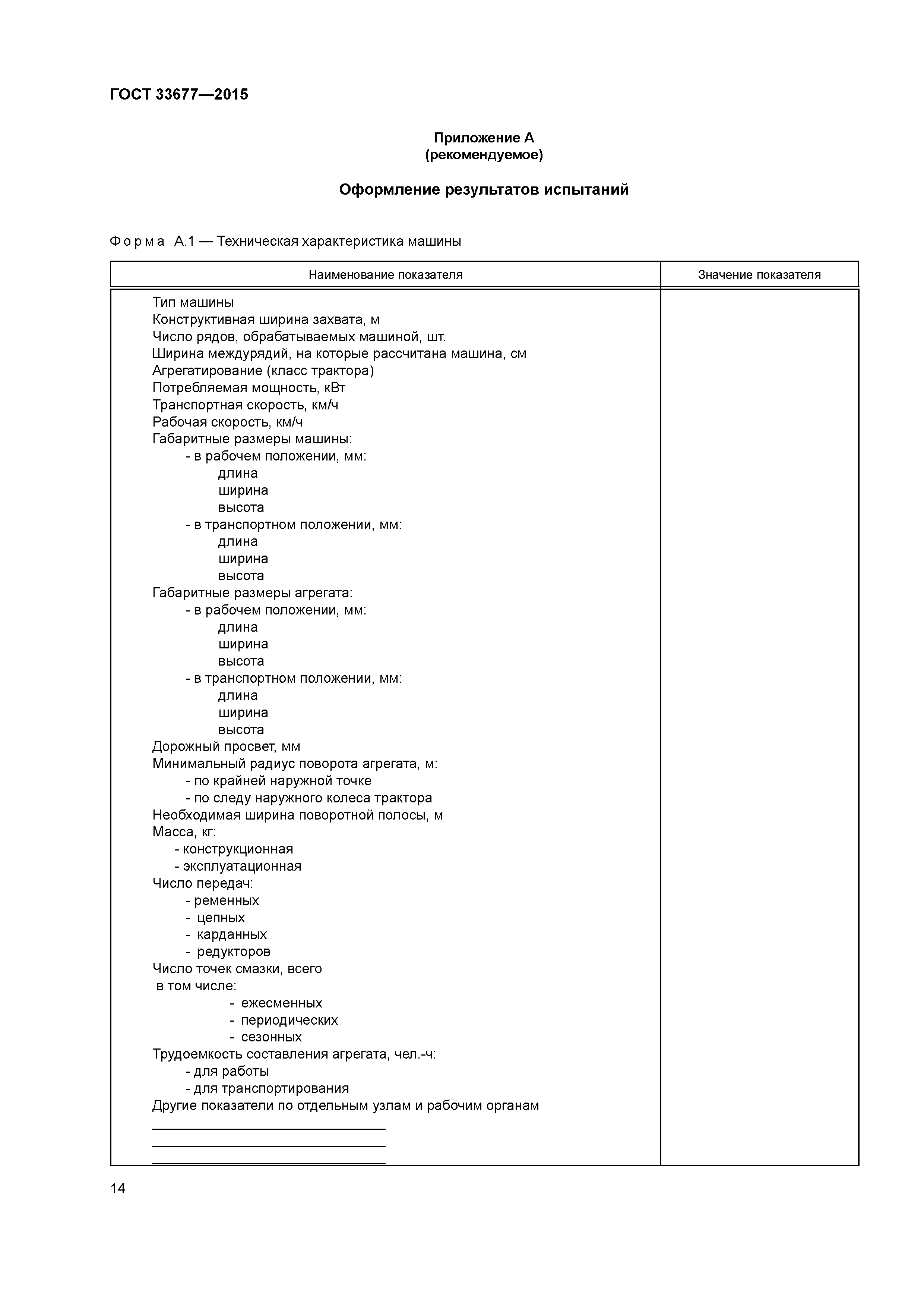
Приложение А (рекомендуемое) Оформление результатов испытаний
Приложение Б (рекомендуемое) Формы рабочих ведомостей результатов испытаний
Приложение В (рекомендуемое) Перечень средств измерений и оборудования, применяемых при определении показателей агротехнической оценки
Библиография
Разработан: КубНИИТиМ
Утверждён:12.11.2015 Межгосударственный Совет по стандартизации, метрологии и сертификации (Inter-Governmental Council on Standardization, Metrology, and Certification 82-П)
12.07.2016 Федеральное агентство по техническому регулированию и метрологии (827-ст)
Издан: Стандартинформ (2016 г. )
Нормативные ссылки:
ГОСТ 33677-2015ГОСТ 33677-2015ГОСТ 33677-2015ГОСТ 33677-2015ГОСТ 33677-2015ГОСТ 33677-2015ГОСТ 33677-2015ГОСТ 33677-2015ГОСТ 33677-2015ГОСТ 33677-2015ГОСТ 33677-2015ГОСТ 33677-2015ГОСТ 33677-2015ГОСТ 33677-2015ГОСТ 33677-2015ГОСТ 33677-2015ГОСТ 33677-2015ГОСТ 33677-2015ГОСТ 33677-2015ГОСТ 33677-2015ГОСТ 33677-2015ГОСТ 33677-2015ГОСТ 33677-2015ГОСТ 33677-2015ГОСТ 33677-2015ГОСТ 33677-2015ГОСТ 33677-2015ГОСТ 33677-2015ГОСТ 33677-2015ГОСТ 33677-2015ГОСТ 33677-2015ГОСТ 33677-2015ГОСТ 33677-2015ГОСТ 33677-2015ГОСТ 33677-2015ГОСТ 33677-2015ГОСТ 33677-2015ГОСТ 33677-2015ГОСТ 33677-2015ГОСТ 33677-2015ГОСТ 33677-2015ГОСТ 33677-2015ГОСТ 33677-2015ГОСТ 33677-2015ГОСТ 33677-2015ГОСТ 33677-2015ГОСТ 33677-2015